Чтение онлайн

ЖАНРЫ

Астероидно-кометная опасность: вчера, сегодня, завтра
Шрифт:

Диаметры нескольких десятков астероидов были оценены с высокой точностью на основе наблюдений покрытий звезд этими астероидами [Millis and Dunham, 1989].

В январе 1983 г. на орбиту вокруг Земли был выведен спутник IRAS (In-frared Astronomical Satellite). Основной целью его запуска был обзор неба в четырех полосах инфракрасной области спектра в окрестности длин волн 12, 25, 60 и 100 микрометров. Результаты наблюдений IRAS, касающиеся астероидов, явились наиболее полным набором данных о диаметрах и альбедо этих тел [Matson et al., 1989; Veeder and Tedesco, 1992], хотя они не свободны от систематических ошибок [Лупишко, 1998]. Более поздняя версия обработки данных IRAS содержится в работе [Tedesco et al., 2002].

Данные IRAS охватывают диаметры и альбедо двух тысяч астероидов,

причем каждое значение сопровождается оценкой точности найденной величины. Точность определения диаметров колеблется на уровне от 1 % до 10 %.

Рис. 3.17. Распределение альбедо астероидов крупнее 40 км [Veeder and Tedesco, 1992]

Данные IRAS, прежде всего, подтвердили известный ранее результат, что распределение альбедо астероидов является бимодальным.

Как видно из рис. 3.17, имеется два максимума распределения альбедо: один — в окрестности альбедо, равного 0,05, другой — в окрестности значения 0,2. В области больших диаметров (больших 40 км) очень мало астероидов с альбедо около 0,1, но в области малых диаметров бимодальность не наблюдается. В области больших диаметров число астероидов с альбедо менее 0,1 почти в три раза превышает число астероидов с альбедо более 0,1. О распределении альбедо у АСЗ будет сказано в дальнейшем.

Бимодальность распределения альбедо указывает на то, что в поясе астероидов имеется по крайней мере две группы астероидов с резко отличными оптическими свойствами поверхностных слоев. Астероиды с альбедо меньше 0,03 отражают столь мало света, что единственным подходящим веществом, обеспечивающим столь сильное поглощение, оказывается углерод. Эти соображения дают основание для выделения обширного класса астероидов, получивших название углистых, или С-астероидов. Другой обширный класс астероидов с высокими альбедо получил наименование каменных, или S-астероидов (см. раздел 3.14).

3.9. Массы и плотности астероидов

Поскольку энергия, выделяющаяся при столкновении тела с Землей, пропорциональна массе тела, получение оценки массы является необходимым элементом оценивания угрозы со стороны каждого потенциально опасного тела.

Масса m, объем v и средняя плотность связаны соотношением

m = v.

Если предположить, что астероид имеет сферическую форму, то

m = (/6)D3, (3.8)

где D — диаметр астероида.

На практике три величины m, D и могут определяться как независимо друг от друга, так и с привлечением данных о двух других параметрах. Сравнение по-разному найденных значений позволяет контролировать различные методы и полученные оценки и определять для каждого астероида согласованный набор этих параметров.

Методы получения оценки массы астероидов можно условно разделить на динамический и астрофизический (или физический).

Динамический метод основан на анализе отклонений, вызываемых притягивающей массой тела в движении других небесных тел (больших или малых планет, космических аппаратов). Эти отклонения могут быть найдены либо из позиционных оптических или радиолокационных наблюдений возмущаемых тел, либо из радиотехнических измерений движения космических аппаратов, проходящих в непосредственной близости от возмущающей массы. Чтобы получить надежную оценку массы, наблюдения должны быть достаточно точными, а оцениваемая масса должна вызывать отклонения в движении тел, заметным образом превосходящие точность наблюдений. Как показывает опыт последних десятилетий, массы только самых крупных астероидов (в лучшем случае нескольких десятков) могут быть найдены из анализа современных позиционных наблюдений. Массы наименьших из этих астероидов оцениваются с ошибками, лишь немного меньшими самих оцениваемых величин.

Сближения космических аппаратов с астероидами представляют прекрасную возможность для определения их масс, но они пока редки и не могут

обеспечить точные значения масс для большого числа тел. Этим путем были получены оценки масс астероидов Главного пояса (253) Mathilde и (433) Eros.

К динамическому способу определения массы для двойных астероидов следует отнести также использование третьего закона Кеплера, который в применении к спутниковой системе записывается в виде:

a3n2 = k2(m0 + m),

где a — большая полуось орбиты спутника относительно главного компонента, выраженная в а.е., n — среднее движение спутника в радианах в сутки, m0 и m — соответственно масса главного компонента и масса спутника, выраженные в долях массы Солнца, k — постоянная Гаусса.

Эта формула может быть применена для определения массы двойного астероида, если известны большая полуось орбиты спутника и период его обращения вокруг главного компонента. Таким путем была оценена, например, масса астероида (243) Ida.

Большая полуось и период обращения спутника могут быть получены из анализа световых кривых двойных астероидов. Например, для АСЗ 1996 F G3 были найдены значения суммарной массы, диаметров компонентов и, в результате, значение общей средней плотности компонентов, которая оказалась равной 1,005 ± 0,008 г/см3 [Железнов, 2002]. Тело с такой средней плотностью может быть фрагментом кометного ядра или же представлять собой «rubble pile» — рыхлое тело, сложенное из отдельных фрагментов с многочисленными пустотами между ними, возникшее в результате фрагментации и последующей аккреции.

Физический способ получения оценки массы астероидов состоит в вычислении массы по формуле (3.8) на основе знания его средней плотности и диаметра. Самые первые оценки масс астероидов были сделаны в предположении, что их плотность близка к средней плотности Земли или же к средней плотности метеоритного вещества, а в качестве диаметров использовались результаты микрометрических измерений. В дальнейшем появилась возможность использовать более точные значения диаметров, определенные поляриметрическим или радиометрическим методом, а при определении средней плотности астероида использовать его таксономический класс (см. раздел 3.14) и плотности предполагаемых метеоритных аналогов.

3.10. Вращение астероидов

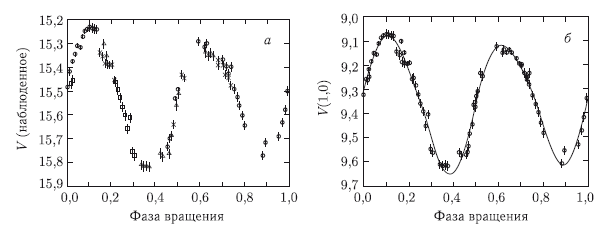
Помимо вариации блеска, связанной с изменением расстояний от Солнца, Земли и угла фазы, все астероиды обнаруживают колебания блеска большей или меньшей амплитуды, в большинстве случаев с периодами от нескольких часов до одних суток. Соответствующий график изменения блеска называется световой кривой или кривой блеска (рис. 3.18)

Рис. 3.18. а) Изменения видимого блеска астероида (1173) Anchises. Наблюдения, выполненные 2–3 июля, 3–4 июля, 4–5 июля и 9–10 июля 1986 г., обозначены разными символами. Вертикальными черточками различной длины показаны вероятные ошибки наблюдений. б) Световая кривая (1173) Anchises, приведенная к единичным расстояниям от Солнца и Земли и нулевому углу фазы [French, 1987]

Обычно невозможно пронаблюдать весь цикл изменения блеска астероида в течение одной ночи, но в этом нет необходимости. На график наносятся точки, полученные в разные ночи, и по ним строится световая кривая. Если при этом периоды наблюдений разделены достаточно продолжительными интервалами времени, то при построении световой кривой учитывается изменение блеска, связанное с вариацией взаимных расстояний и взаимных положений Солнца, Земли и астероида за время между сериями наблюдений [Harris and Lupishko, 1989]. Световая кривая, полученная таким образом, называется композиционной (рис. 3.18 б) [French, 1987].

Поделиться с друзьями: