Чтение онлайн

ЖАНРЫ

Десять великих идей науки. Как устроен наш мир.
Шрифт:

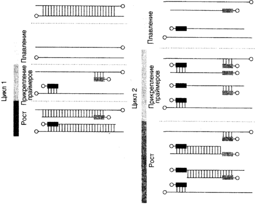
Рис. 2.16.Последовательность диаграмм, показывающих, как действует полимеразная цепная реакция (ПЦР). Вверху слева мы видим представление двойной спирали ДНК-мишени. На первом шагу (слева ниже) нити разделяются, и к каждой из них прикрепляются праймеры. Ферменты выращивают комплементарную нить по шаблону, предоставляемому каждой из нитей. Сдвоенные нити плавятся снова, и праймеры прикрепляются к каждой из них. Далее ферменты, как и раньше, строят комплементарные версии нитей, но теперь в смеси появляются копии ДНК, лежащие между двумя праймерами и несущие последовательность, повторяющую мишень, и после ряда повторений они начинают доминировать.

Сама техника профилирования использует полиморфизм наших генов, тот факт, что молекулы ДНК могут существенно различаться у

разных индивидов. Например, мусор в интронах нашей ДНК может содержать длинные последовательности бессмысленной ДНК, накопившиеся во время мейоза. Здесь мы сосредоточимся на изменчивом числе тандемных дупликаций(ИЧТД), как, например, переменное число фрагментов …CGATCGATCGATCGAT… в одной и той же области ДНК, накопленных разными индивидами. Поскольку эти тандемные дупликации лежат в интронных областях, они ничего не означают, и индивид, как и любой наблюдатель, совершенно неосведомлен об их существовании, если только это не вариации эксонов, например, ответственных за карий или голубой цвет глаз (последний является результатом отсутствия коричневого пигмента).

Теперь предположим, что мы пользуемся ПЦР, чтобы приумножить ту часть молекулы ДНК, которая у индивидов обладает повышенной полимофностью. Действие ограничительных ферментов, таких как АlиI, которые пропихиваются, пока не найдут последовательность AGCT, защелкнутся на ней, а затем перекусят молекулу, или EcoRI, которые прикрепляются, когда наткнутся на GAATTC и режут в этой точке, будет делить умноженные области ДНК на множество фрагментов разных размеров, зависящих от числа тандемных дупликаций у индивида. Затем образец протаскивается сквозь гель с помощью приложенного электрического тока, этот процесс называют электрофорезом. Поскольку маленькие фрагменты могут проскользнуть через лес перекрестных связей в геле легче, чем большие фрагменты, образец разделяется на ряд полос, которые выглядят немного похожими на торговый штрих-код (рис. 2.17). Картина полос является изображением спектра тандемных дупликаций в образце и, следовательно, характеристикой индивида.

Рис. 2.17.Результаты ДНК-дактилоскопии жертвы, преступника и трех подозреваемых. Профили ясно указывают на подозреваемого 1 как на виновного.

С помощью этого метода или его усовершенствованных вариантов насильники заносятся в книгу, невинность становится очевидной, цари идентифицируются, псевдо-Анастасии разоблачаются, эволюционные связи устанавливаются, разбойников ловят по единому волоску, дети воссоединяются со своими семьями (не в последнюю очередь в Аргентине, где все семьи были брутально перетасованы), а отрекающихся отцов находят, несмотря на их протестующие крики о целомудрии. Не много на свете таких молекулярных достижений — создание пенициллина и противозачаточных пилюль имели подобное же значение, которые оказали такое прямое воздействие на общество.

Одним из наиболее амбициозных проектов двадцатого века было установление всех нуклеотидных последовательностей в геноме человека. Эта задача по существу, конечно, неразрешима, поскольку каждый, кто когда-либо жил (за исключением идентичных близнецов), имеет индивидуальный геном. Однако различия в составе эксонов достаточно невелики, и «типичный геном» является разумным понятием: лишь примерно одно основание на тысячу различно у разных индивидов, так что индивиды отличаются один от другого всего тремя миллионами букв, большая часть которых бессмысленна. Возможно, в один прекрасный день мы сможем выписать свой собственный геном и отнести его своим врачам (а может быть, и в наши страховые компании), а геном ребенка будет определяться при рождении: эта информация будет пригодна для записи на DVD и будет храниться в течение всей жизни.

Масштаб такой задачи можно оценить, если подумать о размере человеческого генома. В вашем геноме около 3 миллиардов нуклеотидных оснований. Книга содержит около миллиона букв, поэтому ваш геном эквивалентен библиотеке из 3000 томов. Допустим, что вы считаете себя по-настоящему искусным химиком, способным определять порядок оснований со скоростью одна штука в час, проводя серию реакций и опознаний их продуктов с помощью стандартных лабораторных техник. Три миллиарда часов составляют 34 000 лет работы. Чтобы достичь цели за десять лет, а не за это смехотворно большое время, вам пришлось бы работать в 3400 раз быстрее, двигаясь по ДНК со скоростью одно основание в секунду, двадцать четыре часа в день, семь дней в неделю. Чтобы быть уверенным в результате, вам придется повторить эту работу несколько раз. Десять повторений могло бы дать последовательность, достойную доверия, если бы вы перебирали основания со скоростью десять штук

в секунду.

Как это ни удивительно, цель была успешно достигнута. Подобно двум предыдущим решающим шагам в генетике, первичному квантованию наследственности, проведенному Менделем, и модели ДНК Уотсона-Крика, проект «Генома человека» был переполнен столкновениями приоритетов и прав собственности. Здесь не место приводить подробности о геномных войнах, которые велись главным образом вокруг вопроса о моральности утаивания информации, касающейся генома человека, велись ради самого тонизирующего из эликсиров, личной выгоды. Этот вопрос полностью исчерпали в других публикациях его главные герои, неистовый Крейг Вентер (р. 1946) и гуманный Джон Салстон (р. 1942), не говоря уж о других важных участниках, Фрэнке Коллинзе и Эрике Ландере. Перепалка омрачила момент человеческой истории, которому предназначалось стать вершиной ее достижений; но такова жизнь, и таков, в частности, ее геном. Через несколько лет проявления враждебности будут забыты, как Франко-прусская война, а помнить мы будем лишь само достижение и пути, которые привели к нему.

Решающая процедура состояла в определении каждого нуклеотидного основания в каждой нити ДНК каждой хромосомы. Процедура основывалась на исследованиях Фредерика Сенгера, в ходе которых он после успешной расшифровки белка обратил свое внимание на ДНК и в 1977 г. определил все 5375 оснований вируса fX174. Его процедура состояла в следующем. Сначала Сенгер синтезировал новую нить ДНК, комплементарную к шаблону из одной нити таким способом, что последняя буква несла радиоактивную метку (была молекулой, в которой один атом заменен его радиоактивным изотопом). Чтобы достичь этого, он включил в обычную смесь ферментов и нуклеотидов одну модифицированную версию нуклеотида, называемого дидеоксинуклеотидом. Когда модифицированный нуклеотид вступает в дело, он останавливает копирование и выдает обрезок ДНК, завершающийся помеченным основанием. Затем он повторил процедуру с дидеоксинуклеотидами по отношению к другой тройке букв алфавита. Так как фрагменты обрывались на разных позициях молекулы шаблона, каждый шаг давал молекулы ДНК различной длины. Когда эта смесь протаскивалась сквозь запутанную чащу молекул, создаваемую гелем, молекулы разной длины разделялись и проявлялись на разных участках рентгеновского снимка. Модификация метода, применяемая в программируемых машинах-автоматах, состоит в использовании меток с разными цветами флюоресценции, где A дает красный цвет, C — зеленый и так далее. Элементы этой последовательности можно распознавать электронным способом.

Вторым решающим шагом является постановка этой процедуры на конвейерную основу и получение возможности распознавать тысячи оснований за час. Здесь существуют два основных подхода. Один состоит в работе с последовательностью известных обрезков ДНК. При другом, «пулеметном», подходе ДНК дробят на мириады кусочков, а затем исследуют состав этой смеси. В последнем случае задачей является восстановление последовательности ДНК по ее фрагментам. На этом этапе центральную роль в восстановлении начинают исполнять суперкомпьютеры. Вообще говоря, подход с известными фрагментами является более точным, а пулеметный подход более быстрым. На практике каждый из них поддерживает другой.

Первый эскиз генома человека был обнародован в 2001 г., примерно через пятьдесят лет после определения структуры ДНК и почти через сто лет после обнаружения работы Менделя и возникновения генетики.

Глава третья

Энергия

Универсализация бухгалтерии

Энергия — это вечный восторг.

Уильям Блейк
Великая идея: энергия сохраняется

Ни пульсация биосферы, возникшая из неорганической Земли, ни молекулярная активность, поддерживающая и расширяющая ее сегодня, не могли бы существовать без притока энергии от Солнца. Но что это за вещь, которую мы называем энергией? Это слово может сорваться с губ каждого, а ученый может увидеть в нем то, что связывает Вселенную в постижимую и живую целостность; но что это такое на самом деле?

Поэты, в своей неподражаемой манере, создали концепцию энергии задолго до того, как она попела в поле зрения ученых. Так сэр Филип Сидни, в своей, написанной в 1581 г., Защите поэзиипривлек внимание к «тому, что есть мощь или Energie(как называли ее греки) писателя». Он имел в виду скорее энергичность выражения, чем характеристику движения пули, вылетевшей из мушкета, которая впоследствии убила его. Греки действительно называли это, что переводится буквально как «работа», и мы можем уловить этимологический путь, приведший к понятию литературной энергичности. В наши дни широкая публика приняла такое понимание энергии близко к сердцу и уверила себя, будто точно знает, что это такое, находит это ценным, чувствует существенный вклад этого в современный мир и страшится перспективы утраты этого.

Поделиться с друзьями: