Экономика организации (предприятия): конспект лекций

Шрифт:
Об авторе
Шевчук Денис Александрович (в крещении Дионисий).
Работал руководителем в коммерческих банках: Советник Председателя Правления, руководитель отделов, управления, дирекции, дополнительного офиса (всего работал в 10 банках из которых в 9 на руководящих должностях). Был руководителем в юридических и консалтинговых фирмах до уровня Заместителя Генерального директора, Заведующим лабораторией кафедры иностранных языков в крупном государственном вузе Москвы и Заведующим лабораторией Центра переподготовки и повышения квалификации преподавателей высших и средних специальных учебных заведений Минобразования России. Современный российский писатель. Имеет опыт деловой международной переписки на английском языке от имени крупного предприятия
1. Введение
Курс ориентирован на непосредственную связь с этапами жизненного цикла товара – последовательность действий по его зарождению, производству и использованию (эксплуатации, потреблению и утилизации). Этапы жизненного цикла товара приведены на рис.1.1.
Разработка товара
Производство
Реализация
Использование
Маркетинг
Н
И
О
К
Р
КПП
ТПП
ОПП
Освоение производства
Производство
Сбыт
Эксплуатация и потребление
Утилизация
Рис. 1.1. Этапы жизненного цикла товара
НИОКР – научно-исследовательские и опытно-конструкторские работы, завершающиеся рыночными испытаниями. КПП, ТПП, ОПП – соответственно конструкторская, технологическая и организационная подготовки производства
Важнейшими направлениями в изучении предмета являются экономическая и организационная направленность действий по управлению процессами создания, освоения и производства новой техники и товаров с целью совершенствования маркетинговой политики, а также рыночных отношений между производственными организациями и потребителями (Денис Шевчук).
К задачам настоящего курса относится изучение основных сфер деятельности производственных предприятий и подготовка специалистов к принятию решений в области маркетинга, организации и управления созданием и производством продукции на основе экономических знаний применительно к конкретным рыночным условиям. Для более быстрого и успешного освоения этого и других предметов рекомендую прочитать мою книгу: Денис Шевчук, "Скорочтение и рациональное чтение", . Книга является дополненным и обновленным изданием ранее выпущенной работы, исправлены замеченные опечатки: Экономика предприятия (организации): конспект лекций / Д. А. Шевчук. – Ростов-на-Дону : Феникс, 2007. – 312, [4] с. : ил., табл.; 20 см. – (Серия "Зачет и экзамен").; ISBN 978-5-222-11134-5
2. Организация, предприятие, фирма – ключевой компонент хозяйственного потенциала страны
Самым крупным элементом государственного хозяйства с экономической, технической и социальной точек зрения является производственный потенциал, выступающий в виде предприятий, фирм и т.д. Содержательная сторона деятельности таких организаций крайне
многообразна и оказывает существенное влияние на различные стороны жизни общества. Являясь частью этого общества, производственные организации и их члены сами подвержены процессам общественных изменений. Поэтому производственные организации и их влияние на общество можно рассматривать во многих аспектах.Сущность производственной организации и ее роль в обществе.
Сама по себе производственная организация как сложная система, выступает в виде:
– юридически (законодательно) оформленного субъектно-объектного органа;
– хозяйственного объекта;
– социального организма;
– организационной структуры;
– пространственно-технического организма.
Как целостная система, объект и субъект различных взаимоотношений производственная организация выступает в качестве юридического лица, которое имеет в собственности, хозяйственном ведении или оперативном управлении обособленное имущество, осуществляет имущественные права и отвечает по своим обязательствам этим имуществом.
Как подсистема государственного (или мирового) хозяйства производственная организация может рассматриваться как представитель определенной отрасли хозяйства, типа производства регионального или государственного уровня.
Как система со сложной внутренней структурой производственная организация может выступать в виде организационной, производственной, технической, функциональной и иного вида структур, характеризующих взаимодействие многообразных факторов и элементов организации для достижения ее целей.
Производственные организации выделяются среди других организаций целым рядом особенностей.
Во-первых, являясь генератором общественного богатства, они – основной поставщик материальных благ.
Во-вторых, именно производственные организации решили одну из ключевых задач развития человеческого общества: они осуществляют расширенное воспроизводство, что позволяет не только накапливать материальные, интеллектуальные и духовные ценности (за счет полученной прибыли), но и качественно преобразовывают их т.е. по существу предоставляют саму возможность для развития общества.
В-третьих, фирмы, осуществляя свою хозяйственную деятельность, являются основным «донором» государства, направляя в казну налоговые платежи, которые используют для решения общенациональных и региональных задач.
В-четвертых, выплачивая заработную плату своим работникам, дивиденды акционерам, выступая в качестве продавца и покупателя на рынке предприятий, они формируют покупательную способность.
В-пятых, производственные организации формируют важнейшие рынки – рабочей силы, капиталов и инвестиций, товаров и средств производства.
В то же время сами производственные предприятия являются объектом воздействия со стороны общества.
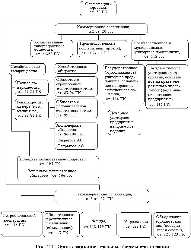
Организационно-правовые формы производственных организаций в соответствии с Гражданским кодексом РФ (ГК) приведены на рис.2.1. Характеристика коммерческих организаций по основным признакам приведена в табл. 2.1.
Таблица 2.1
Характеристика коммерческих организаций по основным признакам
Организация:
а) учредительные документы
б) участники
Уставной капитал
Риск убытков, ответственность по обязательствам
Распределение прибыли
Управление
(в том числе высший орган)
Примечание
1. Полное товарищество (ПТ):
а) учредительный договор;