Чтение онлайн

ЖАНРЫ

Фейнмановские лекции по физике. 8. Квантовая механика I
Шрифт:

но ни один из них не пройдет ни через

ни через

Наше утверждение относительно базисных состояний означает, что есть возможность отфильтровать пучок до некоторого чис­того состояния, так что дальнейшее фильтрование идентичным прибором уже станет невозможным.

Следует еще отметить, что все, что мы говорим, до конца верно лишь в идеализированных случаях. В каждом реальном приборе Штерна — Герлаха надо подумать и о дифракции на щелях, которая может вынудить некоторые атомы перейти в состояния, отвечающие другим углам, и о том, нет ли в пучке

атомов с другой степенью возбуждения своих внутренних со­стояний и т. д. Мы идеализировали наш случай и говорим только о тех состояниях, которые расщепляются в магнитном поле; при этом мы игнорируем все, что касается местоположения, импульса, внутренних возбуждений и т. п. Вообще же следовало бы рассматривать также базисные состояния, рассортированные и по отношению ко всем перечисленным характеристикам. Но для простоты мы пользуемся только нашей совокупностью трех состояний. Этого вполне достаточно для того, чтобы точно рассмотреть идеализированный случай, в котором атомы не подвергаются в приборе плохому обращению, не разрываются и, более того, покидая его, оказываются в состоянии покоя.

Заметьте, что мы всегда начинаем наши мысленные экспери­менты с того, что берем фильтр, у которого открыт только один канал, так что начинаем всегда с определенного базисного со­стояния. Мы делаем это потому, что атомы выходят из печи в различных состояниях, случайно определенных тем, что про­изойдет в печи. (Это дает так называемый «неполяризованный» пучок.) Эта случайность предполагает вероятности «классичес­кого» толка (как при бросании монеты), которые отличаются от интересующих нас сейчас квантовомеханических вероятностей. Работа с неполяризованным пучком привела бы нас к добавоч­ным усложнениям, а их лучше избегать, пока мы не поймем поведения поляризованных пучков. Так что пока не пытайтесь размышлять о том, что случится, если первый аппарат пропустит сквозь себя больше одного пучка. (В конце главы мы расскажем вам, как нужно поступать и в таких случаях.)

А теперь вернемся назад и посмотрим, что будет, если мы перейдем от базисного состояния для одного фильтра к базис­ному состоянию для другого фильтра. Начнем опять с

Атомы, выходящие из Т, оказываются в базисном состоянии (О Т) и не помнят, что когда-то они побывали в состоянии (+S). Некоторые говорят, что при фильтровании прибором Т мы «потеряли информацию» о былом состоянии (+S), потому что «возмутили» атомы, когда разделяли их прибором Т на три пучка. Но это неверно. Прошлая информация теряется не при разделении на три пучка, а тогда, когда ставятся перегородки, в чем можно убедиться в следующем ряде опытов.

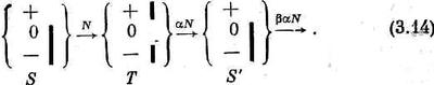
Начнем с фильтра +S и обозначим количество прошедших сквозь него атомов буквой N. Если мы вслед за этим поставим фильтр О Т, то число атомов, которое выйдет из фильтра, окажется некоторой частью от первоначального их количества, скажем aN. Если мы затем поставим второй фильтр +S, то до конца дойдет лишь часть b атомов. Это можно записать следующим образом:

Если наш третий прибор S' выделяет другое состояние, скажем (0S), то через него пройдет другая часть атомов, скажем . Мы будем иметь

Теперь предположим, что мы повторили оба эти опыта, убрав из Т все перегородки. Тогда мы получим следующий замечательный результат:

В первом случае через S' прошли все атомы, во втором — ни одного! Это один из самых великих законов квантовой механики. То, что природа действует таким образом, вовсе не самоочевид­но; результаты, которые мы привели, отвечают в нашем идеа­лизированном случае квантовомеханическому поведению, на­блюдавшемуся в бесчисленных экспериментах.

§ 5. Ннтерферирующив амплитуды

Как же это может быть, что, когда переходят от (3.15) к (3.17), т. е. когда открывается больше каналов, через фильтры начинает проходить меньше атомов? Это и есть старый, глубо­кий секрет квантовой механики — интерференция амплитуд.

С такого рода парадоксом мы впервые встретились в интерферен­ционном опыте, когда электроны проходили через две щели. Помните, мы тогда увидели, что временами кое-где получается меньше электронов, когда обе щели открыты, чем когда открыта одна. Численно это получается вот как. Можно написать ам­плитуду того, что атом пройдет в приборе (3.17) через Т и S' в виде суммы трех амплитуд — по одной для каждого из трех пучков в Т; эта сумма равна нулю:

Ни одна из трех отдельных амплитуд не равна нулю: например, квадрат модуля второй амплитуды есть ga [см. (3.15)], но их сумма есть нуль. Тот же ответ получился бы, если бы мы настро­или S’ на то, чтобы отбирать состояние (-S). Однако при рас­положении (3.16) ответ уже другой. Если обозначить амплитуду прохождения через Т и S' буквой а, то в этом случае мы будем иметь

В опыте (3.16) пучок сперва расщеплялся, а потом восста­навливался. Как мы видим, Шалтая-Болтая удалось собрать обратно. Информация о первоначальном состоянии (+ S) со­хранилась — все выглядит так, как если бы прибора Т вовсе не было. И это будет верно, что бы ни поставили за «до отказа раскрытым» прибором Т. Можно поставить за ним фильтр R — под каким-нибудь необычным углом — или что-угодно. Ответ будет всегда одинаков, как будто атомы шли в S' прямо из пер­вого фильтра S.

Итак, мы пришли к важному принципу: фильтр Т или любой другой с открытыми до отказа заслонками не приводит ни к каким изменениям. Надо только упомянуть одно добавочное условие. Открытый фильтр должен не только пропускать все три пучка, но и не вызывать в них неодинаковых возмущений. Например, в нем не должно быть сильного электрического поля близ одного из пучков, которого не было бы возле других. Причина заключается вот в чем: хотя это добавочное возмуще­ние может и не помешать всем атомам пройти сквозь фильтр, оно может привести к изменению фаз некоторых амплитуд. Тогда интерференция стала бы не такой, как была, и амплитуды (3.18) и (3.19) стали бы другими. Мы всегда будем предполагать, что таких добавочных возмущений нет.

Перепишем (3.18) и (3.19) в улучшенных обозначениях. Пусть i обозначает любое из трех состояний (+Т), (0Т)и (-Т); тогда уравнения можно написать так:

и

Точно так же в опыте, в котором S' заменяется совершенно произвольным фильтром R, мы имеем

S Т R Результаты будут всегда такими же, как если бы прибор Т убрали и осталось бы только

Или на математическом языке

Это и есть наш основной закон, и он справедлив всегда, если только i обозначает три базисных состояния любого фильтра. Заметьте, что в опыте (3.22)никакой особой связи между S, R и Т не было. Более того, рассуждения остались бы теми же независимо от того, какие состояния эти фильтры отбирают. Чтобы написать уравнение в общем виде без ссылок на какие-то особые состояния, отбираемые приборами S и R, обозначим через j состояние, приготовляемое первым прибором (в нашем частном примере +S), и через c — состояние, подвергаемое испытанию в конечном фильтре (в нашем примере +R). Тогда мы можем сформулировать наш основной закон (3.23) так:

Поделиться с друзьями: