Чтение онлайн

ЖАНРЫ

Шрифт:

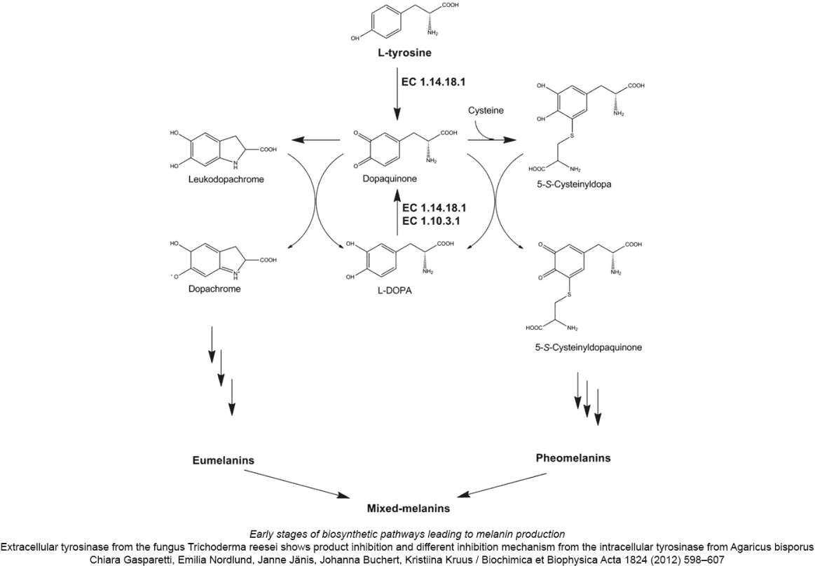
Феомеланины – это красно-жёлтые пигменты, которые наряду с азотными компонентами содержат серу и возникают в результате окислительной полимеризации цистина через 1,4-бензотиазин. Производство феомеланинов, богатых серой, происходит из-за отклонения, ранее описанного биосинтеза эумеланинов. Вместо того, чтобы образовать соединение индола, допахинон добавляет серосодержащую аминокислоту цистина с получением цистеиновых допа (Cysteinyl dopa), которые могут дополнительно подвергаться окислительной реакции с 1,4-бензотиазином (1,4-benzothiazine). Феомеланины отражают свет в красно-оранжевом, жёлто-оранжевом и оранжевом диапазоне. Мутагенные типы феомеланина называют трихохромами (до 1979 года они имели название – трихосидерин) и бывают четырёх типов: C, B, Е и F. Впервые трихохром был экстрагирован в 1878 г. из рыжих человеческих волос кипячением с соляной и серной кислотами. Профессором Найгелем Барникотом была предпринята неудавшиеся попытка сопоставить содержание трихохромов

с цветом волос, однако в результате исследований образцы тёмных волос также содержали трихохром, а часть рыжих волос вообще не имела трихохрома в составе волоса. Бытует мнение, что трихохромы имеют повышенное содержание железа и что именно эта особенность мешает осветлению рыжих волос. Но так как трихохромы могут содержаться в любых волосах или отсутствовать вовсе, мы не стали бы связывать силу осветления с данным аспектом. В процессе кератизации меланина он группируется в большие скопления, которые состоят как из феомеланинов, так и из эумеланина. Данные образования, чаще всего, имеют строение как феомеланин, обёрнутый эумеланином. Этой особенностью строения структуры пигментов и объясняется сложность удаления феомеланина из волос.

Фон осветления

При окрашивании волос первым в результате окислительных процессов удаляется эумеланин, и на волосах остаётся в основном только феомеланин, особенно при осветлении русых и светлых волос. Остаточный цвет после окрашивания принято называть Фоном Осветления. И из-за особенности его проявления чаще всего говорят о том, что за Фон Осветления отвечает феомеланин. Хотя при осветлении очень тёмных волос часто в результате остаётся не только феомеланин, но и эумеланин, образуя бурые и коричнево-красные цвета фона осветления. Эта особенность и не даёт получить красивый светлый цвет блондина на очень тёмных волосах без обесцвечивания. Условно, по этническим особенностям, волосы можно разделить на три группы:

1. Скандинавский тип.

2. Славянский тип.

3. Азиатский тип.

Это разграничение условно, и если вы будете работать в Америке, то у вас появятся другие группы, например, негроидная. Для американцев кавказский тип волос – это все славяне, кавказцы, скандинавы. У них даже итальянцы и все европейцы находятся в группе кавказского типа волос. Поэтому мы с вами будем рассматривать тот тип волос, который присущ нашей стране обитания.

В скандинавском типе волос в основном преобладает жёлто-оранжевый тип феомеланина. И светлота колеблется от 7 УГТ и выше. Поэтому для работы с данным типом волос вам надо будет использовать фиолетово-синие нейтрализаторы, чтобы создать нейтральные и холодные цвета.

В волосах славянского типа в основном преобладает оранжевый тип феомеланина, поэтому после осветления или обесцвечивания мы с вами видим ярко выраженный оранжевый фон осветления. Натуральный уровень глубины тона такого типа волос колеблется от 9 до 5. Поэтому для нейтрализации данного типа феомеланина вам понадобится в работе синий цвет нейтрализаторов. При работе с 5 УГТ вам придётся добавлять сине-зелёный к синему, а при работе с очень светлыми 8–9 базами иногда требоваться будет добавление фиолетового микстона.

У азиатского типа волос пигмент феомеланина имеет спектр цвета в оранжево-красной гамме, а, когда ещё и не удалён полностью эумеланин, может варьироваться от глубокого красно-оранжевого до бурого. Натуральный уровень глубины тона такого типа волос варьируется от 6 до 2 УГТ. Для нейтрализации такого типа пигмента и получения холодного или нейтрального цветов вам придётся использовать сине-зелёные цвета нейтрализаторов. Необходимо отметить, что мы заведомо не используем значение 1 для определения натурального чёрного, поскольку натуральный чёрный выглядит светлее, чем косметический.

Если человек родился с феомеланином оранжевого типа и у него не было в результате гормональных сбоев изменения работы меланоцитов, то после осветления вы всегда будете получать имеющийся оранжевый фон осветления, только более высветленный (точней, в меньшей концентрации). При формировании нейтрализации вы должны помнить о том, что после осветления или обесцвечивания количество меланина уменьшается, то есть вам необходима меньшая концентрация нейтрализующего цвета. Для нейтрализации вы можете использовать как тона-нейтрализаторы, так и микстоны. Выбор конкретного инструмента зависит от красителя, которым вы работаете, а также от выбранного способа окрашивания. Помните, что нейтрализовать фон осветления необходимо во всех случаях осветления, а также при окрашивании тон в тон. Вы можете закрыть глаза на нейтрализацию фона осветления при окрашивании в рыжие и красные оттенки.

При затемнении волос вы должны учитывать, что пигмента может быть недостаточно

по плотности, и у вас будет проявляться так называемый Фон Затемнения. Поэтому при затемнении необходимо искусственно создавать недостающую плотность пигмента, путём предварительных обработок или добавляя цвет в краситель.

Количество натурального пигмента

На осветление очень сильное влияние имеет количество натурального пигмента и его расположение в структуре волоса. Чем больше пигмента в волосе, тем темнее мы его воспринимаем. А значит и осветлить всё количество пигментов будет достаточно сложно. Волосы ниже 5 УГТ за одну процедуру обесцвечивания, не говоря уже об осветлении красителем, практически невозможно осветлить до чистого блонда. Когда мы видим, что волос светлый, это говорит нам о том, что пигмента в волосе очень мало и осветляться он будет быстро даже на низких процентах окислителя.

Однако не всегда внешняя аналитика цвета может дать вам точный ответ, насколько легко или плохо будет осветляться волос. В редких случаях вы можете встретить клиентов, у которых пигмент будет не равномерно распределён по структуре волоса, а сгруппирован или ближе к кортексу (наружная часть волоса), или ближе к медулле (сердцевина волоса). В первом случае, даже самый тёмный волос будет осветляться очень быстро, и у вас не будет возникать проблем с достижением очень светлых оттенков на таких волосах. Во втором же случае, достижение очень светлых цветов станет весьма сложной задачей. Даже 8 УГТ осветляя более часа, вы можете не сдвинуть далеко из-за более глубокого положения пигмента в волосе. Хорошо, что такие мутагенные случаи редки в нашей практике, и мы с вами в основном работаем с равномерно распределённым пигментом по стержню волоса.

Седина

Цвет волос так же сильно зависит от возраста. В целом, с возрастом цвет волос темнеет пока не прекратится полноценная работа меланоцитов, и волос не станет седым. При этом в седых волосах также находятся пигменты, и меланоциты не атрофируются, а продолжают свою работу, но их активность значительно падает. Судя по всему, существует некая субстанция, которая может подавлять производство тирозиназы. И когда учёные выяснят это, мы сможем предотвращать появление седины, а возможно, и более плотно воздействовать на процесс формирования меланина, изменяя родной цвет волос. По статистике, у европейцев к 50 годам у 50 % людей наблюдается седина. Это поседение происходит вне зависимости от пола, начальной плотности пигментации и цвета волос индивидуумов. С возрастом у людей отмечается понижение активности тирозиназы. То есть седина является следствием снижения синтеза меланина в фолликулах, но, к сожалению, до сих пор не изучено, какова причина этого снижения. Исследования показали, что часть седых волос содержит тирозиназу, а часть нет. При этом, в седых волосах с содержанием тирозиназы волос имеет слабую пигментацию внутри, то есть в фолликуле присутствуют в небольшом количестве активные меланоциты. Из-за отсутствия пигмента в волосах, клетки кератина волоса прилегают более плотно, в результате чего мы с вами всегда имеет более прозрачный цвет на седых волосах по отношению к натурально-пигментированному волосу.

2.2. Структура волос

К структуре волос мы с вами относим состояние кератина волоса, а также толщину волоса непосредственно. Условно густоту волос мы тоже можем отнести к структуре волос, поэтому рассмотрим её в рамках данной темы.

Пористость

Пористость – это гигроскопичность волос, и характеризуется она состоянием кутикулы. Кутикула защищает волос от внешних воздействий и удерживает влагу и протеин внутри волоса. Качество кутикулы влияет на выбор предварительной обработки. Необходимо беречь кутикулу, поскольку её разрушение неминуемо приводит к разрушению внутреннего стержня волоса. Кутикула состоит из нескольких слоёв прозрачных ороговевших пластин. Каждая пластина состоит из трёх основных слоёв – А-слой, экзокутикула и эндокутикула. Пластины соединены межмолекулярным матриксом, уничтожение которого приводит к расслоению пластин и разрушению слоя. Все компании-производители активно стремятся сохранить кутикулу во время работы их продуктов, но так или иначе неизбежное разрушение в той или иной степени ждёт любой волос при многократном окрашивании. То есть, если кутикула в хорошем состоянии, это означает, что плоские пластинообразные клетки плотно перекрывают друг друга, образуя эластичный слой, полностью покрывающий поверхность кортекса. Такая ровная поверхность отражает свет, волос блестит, и его называют «живым». Если же кутикула повреждена, то при ближайшем рассмотрении можно увидеть, что края пластинок приподняты и межклеточное вещество (CMC) в той или иной мере разрушено. Такой волос называют «пористым» или в простонародье «мёртвым». Условно выделяют пять степеней пористости, исходя из качества кутикулы и гигроскопичности волос:

Конец ознакомительного фрагмента.

12
Поделиться с друзьями: