Чтение онлайн

ЖАНРЫ

Шрифт:

чтобы у них не было общих делителей. Если мы, например, заявляем, что 2 = 14/10, то, безусловно, можем сократить эту дробь на множитель 2 и записать: p = 7, q = 5 вместо p = 14, q = 10. Будем далее считать, что у числителя и знаменателя сокращены все общие множители. Для выбора значений p и q y нас остается бесконечное число вариантов. Возведя в квадрат равенство 2 = p/q, получим: 2 = р 2/q 2, или после домножения обеих частей на q 2:

p 2 = 2q 2. (1)

Таким образом, р 2 представляет собой некоторое число, умноженное на 2. Однако квадрат любого нечетного числа является нечетным числом (12 = 1,32 = 9, 52 = 25, 72 = 49 и т. д.). Получается, что само число должно быть четным, то есть можно записать = 2s, где s - некоторое целое число. Подставив его в уравнение (1), находим:

p 2 = (2s )2 = 4s 2 = 2q 2.

Деление обеих частей последнего равенства на 2 дает: g 2 = 2s 2. То есть q 2 тоже является целым числом, и, опираясь на тот же аргумент, что был

использован для р , мы заключаем, что q тоже является четным. Но если числа p и q оба делятся на два, значит, они содержат несокращенный общий делитель, что противоречит нашему предположению. Reductio ad absurdum. Но в чем состояло предположение? Доказательство не может запретить нам сократить общие множители, разрешив использовать 14/10, но запретив 7/5. Поэтому ошибочным должно быть начальное предположение: p и q не могут быть целыми числами, a 2 является иррациональным числом. В действительности 2 = 1,4142135...

Насколько ошеломляющее и неожиданное заключение! Какое элегантное доказательство! Но пифагорейцы считали необходимым скрывать это великое открытие.

ПРИЛОЖЕНИЕ 2. Пять пифагоровых [242] тел

Правильный многоугольник - это двумерная фигура с определенным числом л одинаковых сторон. В случае л = 3 получается равносторонний треугольник, при = 4 - квадрат, при л = 5 - правильный пятиугольник и т. д. Многогранник - это трехмерная фигура, все стороны которой являются многоугольниками. Например, куб имеет шесть квадратных граней. Правильным называют многогранник, все грани которого представляют собой одинаковые правильные многоугольники, причем в каждой вершине сходится одинаковое число граней. Для работ пифагорейцев и Кеплера фундаментальное значение имеет факт, что существует пять, и только пять, правильных тел. Простейшее доказательство этого факта можно получить из открытого значительно позже Декартом и Леонардом Эйлером соотношения, связывающего число граней F, число ребер Е и число вершин Ив любом многограннике:

242

В русскоязычной литературе принято говорить о Платоновых телах.
Пер.

V-E+F=2. (2)

Так, у куба 6 граней (F= 6) и 8 вершин (V = 8). Отсюда получаем: 8 - + 6 = 2; 14 - Е = 2 и = 12. Уравнение (2) предсказывает, что у куба 12 ребер, и это соответствует действительности. Простое геометрическое доказательство уравнения (2) можно найти в книге Куранта и Роббинса «Что такое математика?» [243] . Пользуясь уравнением (2), легко доказать, что существует всего пять правильных тел.

243

Курант Р., Роббинс Г. Что такое математика? Элементарный очерк идей и методов. РХД, 2001.

Каждое ребро правильного многогранника является общей стороной двух прилегающих друг к другу граней. Возвращаясь к примеру с кубом: каждое ребро - это граница между двумя квадратами. Если мы подсчитаем все стороны всех граней многогранника nF, то каждое ребро окажется сосчитанным дважды, то есть

nF = 2 E (3)

Обозначим r число ребер, которые сходятся в одной вершине. Для куба r = 3. Кроме того, каждое ребро соединяет две вершины. Если мы подсчитаем концы всех ребер /V, то вновь сосчитаем каждую вершину дважды, то есть

rV = 2E (4)

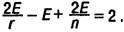
Подставляя выражения для V и F из уравнений (3) и (4) в уравнение (2), получаем:

Деление обеих частей уравнения на 2Е дает:

(5)

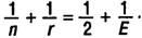
Мы знаем, что значение л не может быть меньше 3, поскольку треугольник является простейшим многоугольником. Нам также известно, что r не может быть меньше 3, поскольку в каждой вершине многогранника сходится не меньше трех граней. Если n и r одновременно будут больше 3, то с учетом того, что они являются целыми числами, левая часть уравнения (5) окажется меньше либо равна 1/2, и ни при каком

значении Е оно не будет превращаться в равенство. Таким образом, осуществив reductio ad absurdum, мы доказали, что либо n =3 и r >= 3, либо r = 3 и n >= 3.

Если n = 3, уравнение (5) принимает вид

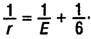
(1/3) + (1/r ) = (1/2) + (1/Е ) или

(6)В данном случае г может принимать только значения 3, 4 и 5. (При л, равном и большем 6, уравнение не имеет решений.) Значения n = 3, r = 3 соответствуют многограннику, у которого в каждой вершине сходится по три треугольника. Согласно уравнению (6) он имеет 6 ребер; согласно уравнению (3) у него 4 грани; согласно уравнению (4) - 4 вершины. Очевидно, что это пирамида, или тетраэдр. При n = 3, r = 4 получаем восьмигранник, у которого в каждой вершине сходится по четыре треугольные грани, - октаэдр. Значения n = 3, r = 5 соответствуют икосаэдру - многограннику с двадцатью треугольными гранями, в каждой вершине которого сходится по пять треугольников.

Если r = 3, уравнение (5) приобретает вид

и, повторив аналогичные рассуждения, мы получим, что л может принимать только значения 3, 4 и 5. При n = 3 вновь получается тетраэдр. Значению n = 4 соответствует многогранник, составленный из 6 квадратов, - куб, а при л = 5 результатом будет 12-гранник, состоящий из пятиугольников, - додекаэдр.

Другие сочетания целых чисел не подходят в качестве значений л и л, а значит, существует только 5 правильных многогранников [244] . Этот вывод, полученный в результате красивых абстрактных математических рассуждений, оказал, как вы уже знаете, весьма глубокое воздействие на практические дела людей.

244

Приведенные рассуждения доказывают лишь то, что правильных многогранников может быть не больше пяти. Из них еще не следует, что хоть один из многогранников, соответствующих допустимым значениям n и r , существует. То, что для всех пар n и r действительно можно построить правильный многогранник, - замечательный факт. Ведь вполне могло бы оказаться, что при каком-нибудь из сочетаний n и r грани не сходятся друг с другом. На этом факте обычно не акцентируют внимание, так как многогранники были известны с глубокой древности и никто не сомневался в их существовании.
– Пер.

КОММЕНТАРИИ К ЦВЕТНЫМ ИЛЛЮСТРАЦИЯМ

Форзац: Небольшое скопление галактик, включающее в себя крупную спиральную и эллиптическую галактики. Художник А. Шеллер

Заняв наблюдательный пост в межгалактическом пространстве, мы увидели бы россыпь бесчисленных слабых волокон света, напоминающих морскую пену на волнах Космоса. Это галактики. Некоторые из них одинокие странники, но большинство обретается в составе общин – звездных скоплений и, сбившись в кучу, бесконечно дрейфует среди величественной темноты Космоса. Перед нами Космос в самом крупном из известных масштабов. <...> Любая галактика состоит из газа, пыли и звезд – миллиардов и миллиардов звезд. И каждая звезда может быть чьим-то солнцем. Внутри галактики есть звезды, и миры, и, возможно, жизнь, разумные существа, космические цивилизации. Но издали галактики напоминают мне коллекцию любовно подобранных вещицракушек, а может быть, кораллов, творений, над которыми Природа трудилась в космическом океане целые эоны.

Оборот форзаца: Фотография кометы Веста, сделанная М. Гросманом в феврале 1976 г. в Западной Германии. Огромный хвост кометы направлен в сторону от Солнца, которое уже скрылось за горизонтом. Он образован частицами, которые выбрасываются ядром кометы и увлекаются потоком быстрых протонов и электронов солнечного ветра. Дальнейшие подступы к Солнцу заполнены гигантскими снежками из льда, камня и органических молекул, которые составляют огромный сферический рой. Это кометные ядра. Время от времени проходящая невдалеке звезда едва заметным гравитационным воздействием мягко направляет одно из них во внутренние области Солнечной системы. Там Солнце нагревает ядро, и лед испаряется, образуя красивый кометный хвост.

Кометы всегда были источниками страха и суеверного трепета. Их неожиданное появление бросало вызов представлению о неизменном и божественно упорядоченном Космосе. Казалось невероятным, что приковывающая к себе взгляд полоса молочно-белого пламени, которая каждую ночь восходит и заходит вместе со звездами, появилась безо всякой на то причины и не является каким-либо предзнаменованием. Так возникла идея, будто кометы – это предвестницы катастроф, знаки божественного гнева, что они предсказывают смерть правителей и гибель царств.

Поделиться с друзьями: