Чтение онлайн

ЖАНРЫ

Шрифт:

Для ресурсов групп СХ, СY и СZ применяются упрощенные методы планирования, а функции управления ими, как правило, передаются низшим звеньям производственной цепочки.

6. 8. Определение оптимального размера заказа

Оптимальный размер партии поставляемых товаров и соответственно оптимальная частота завоза зависят от следующих факторов:

^ объема спроса (оборота);

^ транспортно-заготовительных

расходов;

^ расходов на хранение.

В качестве критерия оптимальности выбирают минимум суммы транспортно-заготовительных расходов и расходов на хранение.

Транспортно-заготовительные расходы при увеличении размера заказа уменьшаются, так как закупки и перевозки товаров осуществляются более крупными партиями и, следовательно, реже.

Расходы на хранение растут прямо пропорционально размеру заказа. Для решения этой задачи необходимо минимизировать функцию, представляющую сумму транспортно-заготовительных расходов и расходов на хранение, т.е. определить условия, при которых

Собщ=Схран+Странсп

где Собщ – общие затраты на транспортировку и хранение;

Схран – затраты на хранение запаса;

Странсп – транспортно-заготовительные расходы.

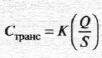
Предположим, что за определенный период времени величина оборота составляет Q. Размер одной заказываемой партии – S. Допустим, что новая партия завозится после того, как предыдущая полностью закончилась. Тогда средняя величина запаса составит S/2.

Введем размер тарифа (M) за хранение товара. Он измеряется долей, которую составляют издержки по хранению за период Т в стоимости среднего запаса за тот же период. Стоимость хранения товаров за период T можно рассчитать по формуле

Размер транспортно-заготовительных расходов за период Т определяется по формуле

Эта формула, позволяющая рассчитать оптимальный размер заказа, в теории управления запасами известна как формула Уилсона.

6. 9. Методы нормирования запасов

Под нормой запаса понимается расчетное минимальное количество предметов труда, которое должно находиться у производственных или торговых предприятий для обеспечения бесперебойного снабжения производства продукции или реализации товаров. При определении норм товарных запасов используют три группы методов:

1) эвристические, предполагающие использование опыта специалистов, которые

изучают отчетность за предыдущий период, анализируют состояние рынка и принимают решение о минимально необходимых запасах;

2) технико-экономических расчетов, заключаемых в расчленении совокупного запаса в зависимости от целевого назначения на отдельные группы. Далее для выделенных групп отдельно рассчитываются страховой, текущий и сезонный запасы. Этот метод также позволяет достаточно точно определить необходимый размер запасов, однако трудоемкость его велика;

3) экономико-математические. Спрос на товары чаще всего представляет собой случайный процесс, который может быть описан методами математической статистики. Одним из наиболее простых экономико-математических методов определения размера запаса является метод экстраполяции, который позволяет перенести темпы, сложившиеся в образовании запасов в прошлом, в будущее.

Тема 7. Логистика складирования

7. 1. Функции и задачи складского хозяйства в логистической системе

Современный крупный склад – это сложное техническое сооружение, состоящее из многочисленных взаимосвязанных элементов, имеющее определенную структуру и выполняющее ряд функций по преобразованию материальных потоков, а также накоплению, переработке и распределению грузов между потребителями.

Учитывая это, склад можно представить как сложную систему. В то же время сам склад является всего лишь элементом системы более высокого уровня – логистической цепи, которая и формирует основные требования к складской системе, устанавливает цели и критерии ее оптимального функционирования.

Основное назначение склада – концентрация запасов, их хранение и обеспечение бесперебойного и ритмичного выполнения заказов потребителей. Основные функции склада:

• преобразование производственного ассортимента в потребительский в соответствии со спросом. Особое значение эта функция приобретает в распределительной логистике, где торговый ассортимент включает большой перечень товаров различных производителей;

• складирование и хранение, позволяющие выравнивать временную разницу между выпуском продукции и ее потреблением, а также осуществлять непрерывное производство и снабжение. Хранение товаров также необходимо в связи с сезонным потреблением некоторых из них;

• консолидация и транспортировка грузов. Многие потребители заказывают со складов партии «меньше, чем вагон» или «меньше, чем контейнер», что увеличивает издержки по доставке таких грузов. Для сокращения транспортных расходов склад может осуществлять функцию объединения небольших партий грузов для нескольких клиентов до полной загрузки транспортного средства;

• предоставление различных услуг: подготовка товаров для продажи; проверка количества и качества товаров; транспортно экспедиционные услуги и др. Оказание клиентам дополнительных услуг обеспечивает высокий уровень обслуживания склада.

7. 2. Операции, выполняемые на складе

Функции складов реализуются в процессе осуществления отдельных логистических операций. Комплекс складских операций на различных складах неодинаков. Состав операций, выполняемых на складах предприятий оптовой торговли, представляет последовательность: разгрузка транспорта; приемка товаров; размещение на хранение (укладка в стеллажи, штабели); отборка товаров из мест хранения; комплектование и упаковка; погрузка; внутрискладское перемещение грузов.

Поделиться с друзьями: