Чтение онлайн

ЖАНРЫ

Общая теория статистики: конспект лекции
Шрифт:

Часто приходится прибегать к средним показателям динамики и потому, что уровни многих явлений сильно колеблются от периода к периоду, например от года к году, то повышаясь, то понижаясь. Особенно это относится ко многим показателям сельского хозяйства, где год на год не приходится. Поэтому при анализе развития сельского хозяйства чаще оперируют не годовыми показателями, а более типичными и устойчивыми среднегодовыми показателями за несколько лет.

При исчислении средних показателей динамики необходимо иметь в виду, что к этим средним полностью относятся общие положения теории средних. Это означает прежде всего, что динамическая средняя будет типичной, если она характеризует период с однородными, более или менее стабильными условиями развития явления. Выделение таких периодов – этапов развития – в определенном отношении аналогично группировке. Если же динамическая

средняя исчислена за период, в течение которого условия развития явления существенно менялись, т. е. период, охватывающий разные этапы развития явления, то такой средней нужно пользоваться с большой осторожностью, дополняя ее средними за отдельные этапы.

Средние показатели динамики должны также удовлетворять логико-математическому требованию, согласно которому при замене средней величиной тех фактических величин, из которых исчислена средняя, не должна изменяться величина определяющего показателя, т. е. некоторого обобщающего показателя, связанного с осредняемым показателем.

Метод расчета среднего уровня ряда динамики зависит прежде всего от характера показателя, лежащего в основе ряда, т. е. от вида временного ряда.

Наиболее просто исчисляется средний уровень интервального ряда динамики абсолютных величин с равностоящими уровнями. Расчет производится по формуле простой средней арифметической:

где n – число фактических уровней за последовательные равные отрезки времени.

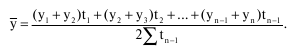
Сложнее обстоит дело с исчислением среднего уровня мо-ментного ряда динамики абсолютных величин. Моментный показатель может изменяться почти непрерывно. Поэтому очевидно, что, чем более подробными и исчерпывающими данными о его изменении мы располагаем, тем более точно можно исчислить средний уровень. Более того, сам метод расчета зависит от того, насколько подробны имеющиеся данные. Здесь возможны различные случаи.

При наличии исчерпывающих данных об изменении момент-ного показателя его средний уровень исчисляется по формуле средней арифметической взвешенной для интервального ряда с разностоящими уровнями:

где t – число периодов времени, в течение которых уровень не изменялся.

Если промежутки времени между соседними датами равны друг другу, т. е. когда мы имеем дело с равными (или примерно равными) интервалами между датами (например, когда известны уровни на начало каждого месяца или квартала, года), тогда для моментального ряда с равностоящими уровнями расчет среднего уровня ряда производим по формуле средней хронологической:

Для моментального ряда с разностоящими уровнями расчет среднего уровня ряда производится по формуле:

Выше шла речь о среднем уровне рядов динамики абсолютных величин. Для рядов динамики средних и относительных величин средний уровень нужно исчислять исходя из содержания и смысла этих средних и относительных показателей.

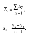
Средний абсолютный прирост показывает, на сколько единиц увеличивался или уменьшался уровень по сравнению с предыдущим в среднем за единицу времени (в среднем ежемесячно, ежегодно и т. д.). Средний абсолютный прирост характеризует среднюю абсолютную скорость роста (или снижения) уровня и всегда является интервальным показателем. Он вычисляется путем деления общего прироста за весь период на длину этого периода в тех или иных единицах времени:

где – цепные абсолютные приросты за последовательные промежутки времени;

n – число цепных приростов;

у0 – уровень базисного периода.

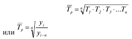
В качестве основы и критерия правильности исчисления среднего темпа роста (как и среднего абсолютного прироста) можно использовать в роли определяющего показателя произведение цепных темпов роста, которое равно темпу роста за весь рассматриваемый период.

Таким образом, перемножив n цепных темпов роста, получается темп роста за весь период:

Должно соблюдаться равенство:

Данное равенство представляет формулу простой средней геометрической

Из этого равенства следует:

где n – число уровней ряда динамики;

Т1, Т2, Тп – цепные темпы роста.

Средний темп роста, выраженный в форме коэффициента, показывает, во сколько раз увеличивался уровень по сравнению с предыдущим в среднем за единицу времени (в среднем ежегодно, ежемесячно и т. п.).

Для средних темпов роста и прироста сохраняет силу та же взаимосвязь, которая имеет место между обычными темпами роста и прироста:

Средний темп прироста (или снижения), выраженный в процентах, показывает, на сколько процентов увеличивался (или снижался) уровень по сравнению с предыдущим в среднем за единицу времени (в среднем ежегодно, ежемесячно и т. п.). Средний темп прироста характеризует среднюю интенсивность роста, т. е. среднюю относительную скорость изменения уровня.

Из двух видов формулы среднего темпа роста чаще используется вторая, так как она не требует вычисления всех цепных темпов роста. По первой формуле расчет целесообразно производить лишь в тех случаях, когда не известны ни уровни ряда динамики, ни темп роста за весь период, а известны только цепные темпы роста (или прироста).

4. Выявление и характеристика основной тенденции развития

Одной из задач, возникающих при анализе рядов динамики, является установление закономерности изменения уровней изучаемого показателя во времени. Для этого необходимо выделить такие периоды (этапы) развития, которые достаточно однородны в отношении взаимосвязи данного явления с другими и в отношении условий его развития.

Выделение этапов развития – это задача, находящаяся на стыке науки, изучающей данное явление (экономики, социологии и т. п.), и статистики. Решение этой задачи осуществляется не только и даже не столько с помощью статистических методов (хотя и они могут принести определенную пользу), сколько на базе содержательного анализа сущности, природы явления и общих законов его развития.

Для каждого этапа развития нужно выявить и численно охарактеризовать основную тенденцию изменения уровня явления. Под тенденцией понимается общее направление к росту, снижению или стабилизации уровня явления с течением времени. Если уровень непрерывно растет или непрерывно снижается, то тенденция к росту или снижению является явной и отчетливой: она легко обнаруживается визуально по графику временного ряда. Следует, однако, иметь в виду, что и рост, и снижение уровня могут происходить по-разному: либо равномерно, либо ускоренно, либо замедленно. Под равномерным ростом (или снижением) здесь понимается рост (снижение) с постоянной абсолютной скоростью, когда цепные абсолютные приросты (4) одинаковы. При ускоренном росте или снижении цепные приросты систематически увеличиваются по абсолютной величине, а при замедленном росте или снижении – уменьшаются (тоже по модулю). Практически уровни ряда динамики очень редко растут (или снижаются) строго равномерно. Нечасто встречается и систематическое – без единого отклонения – увеличение или снижение цепных приростов.

Такие отклонения объясняются либо изменением с течением времени всего комплекса основных причин и факторов, от которых зависит уровень явления, либо изменением направления и силы действия второстепенных (в том числе случайных) обстоятельств и факторов. Поэтому при анализе динамики речь идет не просто о тенденции развития, а об основной тенденции, достаточно стабильной (устойчивой) на протяжении данного этапа развития. В некоторых случаях эта закономерность, общая тенденция развития объекта вполне ясно отображается уровнями динамического ряда.

Поделиться с друзьями: