Чтение онлайн

ЖАНРЫ

Шрифт:

abcda, по коей курсирует переменный ток, так что и точки a и d составляют как бы

зажимы, ведущие к воображаемому источнику переменного тока ~.

«Так как разность потенциалов у зажимов источника тока, благодаря переменному

току, все время меняется, то постоянного равновесия между разностью потенциалов у

зажимов источника и напряжением на обкладках конденсатора быть не может.

В первый момент t1(рис.2), когда ток начинает идти от а к обкладке b, эта последняя

начинает заряжаться положительно. Когда эдс (электродвижущая сила) зажима (а) в

момент t2 достигает своего максимума,

напряжение на обкладке b конденсатора тоже

начнет от нуля достигать своего максимума. Но с этого момента (t2) потенциал зажима

а начнет уменьшаться и станет понемногу меньше потенциала обкладки b

конденсатора. С момента t3 эдс зажима (а) от нуля опять начнет возрастать, но в

обратном направлении, т.-е. будет уже не (+), а (-). В это время напряжение на

обкладке b равно было максимуму, но ток, постепенно уменьшаясь, стал идти в том же

направлении и обкладка b начнет перезаряжаться. К моменту t4 опять получиться

максимальное напряжение у зажима (а) и нулевое у обкладки (b), потом к моменту t5

напряжение зажима (а) опять начнет уменьшаться, и т.д.

Итак, в данном случае в цепи с переменным током, при наличии в ней

конденсатора, ток будет циркулировать с постоянным опережением эдс на некоторую

часть периода. При этом напряжение конденсатора по своему направлению

противоположно направлению эдс источника.

Эта особенность конденсатора не дает току достигнуть своей величины, поэтому

она является как бы добавочным сопротивлением и носит в радиотехнике название

емкостного сопротивления. Его можно исчислить по формуле, известной из

радиотелеграфии: 1/2nC

, где n – частота периодов переменного тока

в сек. C – емкость конденсатора в фарадах (F, Фара д (обозначение: Ф, F) —

единица измерения электрическойёмкости в Международной системе

единиц (СИ) (ранее называлась ара да). – ред.).

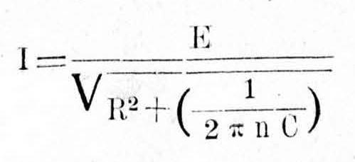
Величина действующей силы тока в таких условиях выражается формулой:

Где: E – напряжение в вольтах, R – омическое сопротивление. При этом выражение

под чертой наз. « кажущимся сопротивлением емкости».

Выше мы видели, что при конденсаторе в цепи переменного тока получается сдвиг

фаз эдс и тока, т.-е. ток опережает эдс, при чем сила тока уменьшается.

Если же мы представим себе бесконечное количество конденсаторов в н.с., то тогда

к концу какой-нибудь одной нервной нити, ток проходил бы, очевидно, слишком

слабым, если не предполагать возможности полного поглощения его на преодолевание

конденсаторных (емкостных) сопротивлений. Т.обр., придется предположить либо

незначительность роли упомянутых конденсаторов в н.с., либо искать других

факторов, ослабляющих, или даже могущих уничтожить эту отрицательную роль

дендритов-конденсаторов.

Размеры дендритов, по сравнению с длиной нейрита (нейрит – иначе аксон –

отросток нервной клетки,

проводящий импульс от этой клетки к иннервируемым

органам и другим нервным клеткам – ред. ) не всегда могут быть названы

незначительными, поэтому нередко и с конденсаторною ролью их приходится

считаться всерьез.

В поисках за факторами, уничтожающими емкостное сопротивление дендритов, нам

удалось установить возможность наличия таковых факторов в самом нейроне. Речь

идет о спиральных волокнах нейрона в некоторых нервных структурах, а также о

фибриллах (фибрилла - тончайшая нитевидная белковая структура в клетках и тканях

животного организма – ред. ), которые, в случае, если нерв не растянут, ложатся

пружинообразно.

Значание этих спиралей усматривается из дальнейшего.

Известно, что каждый проводник тока обладает самоиндукцией (Самоиндукция —

это явление возникновения ЭДС индукции в проводящем контуре при изменении

протекающего через контур тока. – ред. ). Самоиндукция стремится всегда

поддерживать существующее в проводнике состояние электричества; самоиндукция –

это как бы электрическая инерция.

Проводник тока, свернутый в спираль, представляет собою, т. наз., соленоид

( Обычно под термином «соленоид» подразумевается цилиндрическая обмотка из

провода, причём длина такой обмотки многократно превышает её диаметр. – ред. ).

Каждый виток соленоида образует вокруг себя магнитное поле, которое по

направлению своих силовых магнитных линий, совпадает и суммируется с полями,

образованными другими витками такого же соленоида. Поэтому величина

самоиндукции соленоида, по сравнению с таковою у прямых проводников, настолько

значительна, что эта последняя на практике может почти не приниматься во внимание.

При этом магнитное поле, образуемое витками соленоида, оказывается вполне

сходным с полем обыкновенного магнита. Сила Ф этого поля, как известно из физики,

зависит от силы тока I, числа витков соленоида n', магнитной проницаемости среды, заключенной между витками, диаметра d проводника и длины 1 катушки соленоида

(не вытянутой). Зависимость эта выражается формулой.

Величина эдс самоиндукции зависит от скорости изменения магнитного потока, т.е.

от:

Поделиться с друзьями: