Чтение онлайн

ЖАНРЫ

Шрифт:
...

Почему-то принято считать, что лживы именно женщины. Действительно, мы легко говорим неправду, однако это очень несущественная ложь. Мы опаздываем на свидание и придумываем на ходу достоверные объяснения, что сломался поезд метро и его долго чинили. Мы изобретаем правдивые истории, почему именно сегодня не можем пойти в театр с Петей, поскольку, если честно, уже договорились пойти на концерт с Пашей. Мы часто приукрашиваем правду, рассказывая об отношении к нам мужчин, о наших профессиональных победах. А еще мы говорим мужьям, что эта кофточка стоила всего пятьсот рублей, в то время как она обошлась нам в две с половиной тысячи. Короче, женщина лжет часто и охотно, но по мелочи. С целью сберечь мужские нервы.

Мужчина же в состоянии придумать себе «легенду» не хуже Штирлица. В ней будут родители-аристократы, Оксфорд, первый заработанный миллион, внезапное предательство друга, банкротство, алчная бывшая супруга, которой он оставил особняк и машину, а также многое другое. Я сама неоднократно сталкивалась с подобными гражданами и каждый раз крайне удивлялась, когда все оказывалось лишь плодом их воображения. Мне казалось, что так вдохновенно лгать нормальный человек не способен в принципе…

Увы, для многих представителей сильного пола ложь – это своеобразный

уход от безотрадной действительности. Возможность показать себя в выгодном свете. Они придумывают свой воображаемый мир, и единственным их благодарным слушателем оказывается женщина. Как говорил австрийский писатель Карл Краус: «Я долго остаюсь под впечатлением, которое я произвел на женщину…». Бывает, мужчины лгут, что называется, «из любви к искусству», а бывает, под этим кроются очень коварные цели.

Серова Е., 2001, с. 104–105.

Макиавеллизм. В ряде исследований показано, что макиавеллизм (пренебрежение моральными принципами ради достижения цели) выражен в большей степени у мужчин. Это подтвердилось и в исследовании Д. Б. Катунина (2005) на выборке в 525 человек. Однако данная закономерность проявилась только до 45 лет. Начиная с этого возраста женщины не менее охотно, чем мужчины, разделяют макиавеллиевские установки на взаимоотношения людей.

10.2. Агрессивность мужчин и женщин

Прежде всего нужно отметить, что агрессивность как свойство личности и агрессивное поведение (форма проявления агрессии) – разные вещи, хотя часто в психологической литературе их отождествляют. Агрессивность – это склонность к агрессивному реагированию при возникновении фрустрирующей и конфликтной ситуации. Агрессия же – это поведение человека в этих ситуациях. В данном параграфе речь пойдет только об агрессивности как свойстве личности. Агрессивное поведение лиц мужского и женского пола рассматривается дальше в параграфе 10.8.

По данным О. С. Баранник (1999), уже с дошкольного возраста наблюдаются половые различия в агрессивности. У мальчиков больше выражены враждебность, конфликтность; у девочек же этого возраста – тревожность и незащищенность.

...

Половые различия в агрессивности не являются достоверными до 2,5–3 лет, т. е. до возраста, к которому процесс половой типизации уже вполне успевает направить мальчиков и девочек по различным жизненным путям (Fagot, Leinbach, O,Boyle, 1992).

Какие социальные факторы могут быть задействованы в процессе, делающем мальчиков более агрессивными, чем девочки? Один из них – склонность родителей играть с мальчиками более грубо, чем с девочками, и энергичнее порицать агрессивные действия последних (Mills, Rubin, 1990; Parcke, Slaby, 1983). Кроме того, револьверы, танки, ракеты и другие символические орудия уничтожения, часто получаемые мальчиками, на законной основе вносят элементы агрессии в повседневную жизнь и способствуют развитию агрессивного поведения (Feshbach, 1956; Watson, Peng, 1992). В течение дошкольного возраста дети, следуя гендерным схемам, начинают рассматривать агрессивность как маскулинную характеристику, и к среднему детству мальчики в большей степени, чем девочки, ожидают, что агрессивные действия принесут им выгоду, и в меньшей степени ждут неодобрения за акты агрессии со стороны родителей или сверстников (Hertzberger, Hall, 1993; Perry, Perry, Weiss, 1989). Таким образом, хотя биологические факторы и могут иметь определенное значение, очевидно, что половые различия в агрессивности в значительной степени зависят от половой типизации и обусловленных половой принадлежностью различий в социальном научении.

Шэффер Д., 2003, с. 727.

П. А. Ковалев, подробно изучивший этот вопрос, выявил, что склонность к агрессии (агрессивность, конфликтность) во всех возрастных группах школьников и студентов (кроме VII класса) выше у лиц мужского пола по сравнению с лицами женского пола. Наблюдаются два пика повышения агрессивности: у мальчиков в 12 лет и 14–15 лет, у девочек – в 11 лет и 13 лет.

Тот факт, что агрессивность мужчин выше, чем у женщин, установлен во многих исследованиях, хотя некоторыми авторами это, казалось бы очевидное, положение оспаривается. Так, Т. Тигер (Tieger, 1980) на основе обстоятельного анализа данных заключает, что до 6 лет различий в агрессивности между мальчиками и девочками нет, и что появляющиеся в дальнейшем различия обусловлены полоролевым воспитанием. А. Фроди и Дж. Маколей (Frodi, Macaulay, 1977) тоже считают неверным мнение о большей агрессивности мужчин. Так, они пишут, что женщины, обладая более выраженной эмпатией, тревожностью и чувством вины, подавляют у себя открытое проявление агрессивности там, где мужчины ее проявляют. На самом деле женщины не менее склонны к агрессии, если расценивают свои действия как справедливые или чувствуют себя свободными от ответственности.

А. И. Винокуров (1996) тоже отмечает большую агрессивность и напористость женщин.

Из данных диссертационного исследования Е. И. Бережковой (2003) следует, что мальчики младшего школьного возраста более агрессовозбудимы, чем девочки. При предъявлении видеопродукции агрессивного содержания агрессивность мальчиков статистически достоверно возрастает, у девочек же это возрастание незначимо. При предъявлении стимульного материала у девочек эмоциональных изменений не наблюдалось, у мальчиков демонстрация кинопродукции агрессивного содержания вызывала внешнеобвинительные протестные реакции, эмоциональную напряженность вплоть до тревоги, которую они пытаются скрыть демонстративностью поведения, готовностью к агрессии.

Отношение мальчиков и девочек к предъявлявшейся кинопродукции агрессивного содержания было тоже разным. Большинству мальчиков (61 %) она нравилась, «потому что там дерутся». Большинство же девочек (56,6 %) относились к этим фрагментам кинопродукции отрицательно. Негативная оценка у мальчиков объяснялась ими так: «страшно», а положительное отношение девочек – «смешно», «интересно».

Очевидно, что решение вопроса о том, кто более агрессивен – мужчины или женщины, во многом определяется видом агрессивности и тем, на кого она направлена. Например, Е. В. Козыревой (2002) показано, что в среднем склонность к аутоагрессии (направленной на себя) несколько больше выражена у женщин, чем у мужчин, а склонность к гетероагрессии (направленной на других) несколько больше у мужчин, чем у женщин. По данным М. К. Отомаровой (2002), у девушек установка на самообвинение выражена больше, чем у юношей, что подтверждает результаты исследования Е. В. Козыревой.

По данным Н. Ю. Жарновецкой (2007), лица мужского пола, как правило, воспринимают себя и воспринимаются окружающими обоего пола более агрессивными, чем лица женского пола. Лица мужского пола и окружающим приписывают большую агрессивность, чем женщины.

Конфликтность, включающая

в себя подозрительность, вспыльчивость и обидчивость, выше оценивается у себя лицами женского пола.

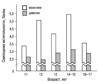
Мстительность – это склонность человека к агрессии в отплату за причиненное зло. Изучение мстительности П. А. Ковалевым у школьников V–XI классов показало, что, во-первых, во всех возрастах мстительность у мальчиков выражена больше, чем у девочек, и, во-вторых, наибольшая мстительность у мальчиков наблюдается в возрасте 12 и 14–15 лет (рис. 10.1). У девочек существенной возрастной динамики мстительности не выявлено.

Рис. 10.1.

Возрастная динамика мстительности

Девочки более склонны к проявлению скрытых форм враждебности, что выражается в пренебрежительном обращении с вызывающим антипатию человеком, в его игнорировании или в обесценивании его социального статуса или взаимоотношений с ним (Crick et al., 1997; Crick, Grotpetr, 1995).

10.3. Половые различия в конформности

В ряде работ показано, что конформность (готовность соглашаться с мнением других) у женщин выше, чем у мужчин (Сопиков А. П., 1969; Hartup W., 1958; Fagot B., 1978; Osman L., 1982). Это имеет следствием и различия в типе мотивации. В исследовании Л. Османа это было выявлено при наблюдении за тем, как мужчины и женщины переходят улицу на красный цвет светофора. Мужчины идут первыми чаще, чем женщины, однако женщины чаще нарушают правила вслед за более решительным нарушителем. Автор делает вывод, что женщины более податливы к требованиям, запрещающим нарушение правил, но одновременно более конформны к групповому давлению.

Даже в работах Игли (Eagly, Carly, 1981), на которые ссылается Ш. Берн, отрицая большую конформность женщин, половые различия в подверженности внешнему влиянию, хотя и небольшие (но на статистически значимую величину), были обнаружены.

Мне кажется, что когда психологи-женщины пытаются отрицать реальные факты, они подсознательно имеют в виду, что наблюдаемые различия не предопределены природой, т. е. врожденных различий нет. Отсюда и противоречивость позиций в отношении половых различий. С одной стороны, их вроде бы нет, а с другой стороны, все же дается объяснение различиям, которые, как оказывается, все-таки есть. Это отчетливо проявилось у Ш. Берн при обсуждении вопроса о конформности. Вопреки первоначальному утверждению об отсутствии различий в конформности между мужчинами и женщинами, Ш. Берн далее дает объяснения имеющимся различиям и прямо пишет о меньшей конформности мужчин: «Этот факт может объясняться тем, что женщины – более “общественные” создания и, следовательно, стараются сохранить гармонию в группе и добрые чувства ее членов друг к другу (Eagly, 1978; Eagly and Wood, 1985). Другой причиной может быть то, что мужчины менее конформны из-за социальных норм, которые предписывают им быть независимыми и не поддаваться влиянию со стороны. Было обнаружено, что мужчины менее конформны в ситуации, когда они считают, что члены группы знают их мнение, чем тогда, когда они уверены, что другим их мнение неизвестно. На конформность женщин этот фактор не оказывал никакого влияния (Eagly et al., 1981)» (2001, с. 113). Игли склонна объяснять выявляемые различия в конформности мужчин и женщин их статусными различиями: в повседневной жизни мужчины стремятся достичь положения с высоким статусом и широкими полномочиями. Поэтому часто можно видеть, что мужчины оказывают влияние, а женщины поддаются. Это объясняет, по мнению Игли, тот факт, что в реальной жизни складывается впечатление о гораздо большем различии в степени повседневного конформизма полов, нежели выявляется в научных исследованиях, в которых мужчинам и женщинам отводится одинаковая роль.

В ряде работ западных психологов выявлено, что когда затрагивались женские темы, мужчины были более склонны к конформному поведению, чем женщины, и наоборот. Отмечается, что 79 % исследований, в которых были обнаружены половые различия в пользу большей внушаемости женщин, осуществлялись мужчинами, а также то, что исследователи-мужчины обнаруживали более значительные различия, чем их коллеги женского пола, исходя из чего Игли и Карли сделали вывод, что ученые склонны излагать результаты своих исследований в таком виде, который бы польстил тому полу, к которому они сами принадлежат. Но если это и так, разве не может тот же упрек быть адресован и исследователям-женщинам?

Другое дело, что если эти различия обусловлены только социальными факторами, то при изменении последних могут исчезнуть и наблюдавшиеся различия. Так, Игли отмечает, что в исследованиях конформности, опубликованных до 1970 г., 32 % указывают на большую подверженность влиянию у женщин, тогда как из 40 исследований, выполненных позже, лишь 8 % обнаружили такие различия.

...

Уважайте и оберегайте женщин, носите их на руках, а на голову они и сами сядут!

А. Абу-Бакар, современный даргинский писатель

10.4. Половые различия в социальной активности

Е. Маккоби и К. Джеклин (Maccoby, Jacklin, 1974), проанализировав исследования о степени активности мальчиков и девочек, о стремлении их к достижениям и доминантности, отрицают наличие различий по этим параметрам и утверждают, что девочки не менее активны мальчиков, но сфера их активности иная.

Между тем, по данным Н. В. Боровской (2009), независимо от способа выявления ленивых людей (самооценка, экспертная оценка, рисуночный тест), их оказалось больше среди юношей, чем среди девушек (70,3, 70,3 и 76 % – среди юношей и 55,4,35,4 и 34,5 % – среди девушек).

Д. В. Колесов и Н. Б. Северова (1978) по поводу различного характера активности мальчиков и девочек пишут следующее: «Половые различия хорошо видны при анализе совместной со взрослыми деятельности детей разного пола. Предположим, отец выполняет какую-либо домашнюю работу технического характера. Дети разного пола и одинакового возраста, допустим 3–5 лет, в равной степени готовы помочь ему, но эта помощь и содействие будут выражаться по-разному. Дочь готова что-то принести, подать, подержать, ей достаточно участия в общем полезном деле. Сына же это не удовлетворит. Он обязательно будет стремиться схватить тот же инструмент и сам выполнить работу, подражая отцу в конкретных манипуляциях» (с. 26–27).

Таким образом, авторы подчеркивают, что дело не столько в количественных характеристиках активности мальчиков и девочек, сколько в качественных.

Это качественное различие в проявлении мужской и женской активности обнаруживается и у взрослых, особенно когда дело касается общественной и политической активности (см. параграф 13.3).

По данным Г. В. Залевского (1993), женщины более социабельны, чем мужчины. Они более готовы к сотрудничеству, компромиссам, перевоплощению, переключению полоролевых установок, они более податливы. Однако женщины больше, чем мужчины, опасаются нового, каких-либо перемен, т. е. чаще проявляют неофобические черты.

Поделиться с друзьями: