Чтение онлайн

ЖАНРЫ

Повести и рассказы для взрослых детей
Шрифт:

– Представили.

– Видим ясно…

– И вдруг как трахнет! Мы-то люди тренированные, привычные. Уже два выстрела пережили, и то у нас инструменты из рук попадали. А им-то, новичкам, каково? И тут кто-то как крикнет: «Ложись!» Ну и рухнули они, как подкошенные, в ужасе! Лежат, в себя приходят, потери подсчитывают. Одного, самого молодого, под руки увели. Да еще один наш электрик в обморок шлепнулся. Он в это время рубильник включил для точила. Он включил, и как бабахнет! Ему в голову пришло, что он завод взорвал. А за это спасибо не скажут. Потом наше начальство несколько суток рабочих допрашивало: «Кто крикнул?! Признавайтесь, а то хуже будет. Признавайтесь, добром просим». Но кричальщик не признался

и, по-моему, правильно сделал. Из-за него всем начальникам в цехе так шею намяли, что они волей-неволей беднягу бы слопали. Механически. Где бы премии не дали, где бы в квартире отказали, где бы в самый дождь на картошку отправили. К чему я это говорю? А к тому, что в тот день производительность труда в цехе была самая высокая. Рабочие хохотали, мастера посмеивались, а начальник цеха сквозь зубы, но все-таки улыбался. Это и сказалось на выработке.

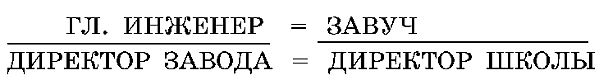
Или вот. Сейчас в сборочном цехе разрешили включать несерьезную музыку. И никто в приборах ничего не путает. И производительность у нас улучшается. Но самое главное вот что. Сколько бы вам про завод ни рассказывали, сколько бы экскурсий у вас ни было, ничего вы не узнаете про свою будущую работу. И выбрать место себе не сумеете. Я предлагаю организовать курсы для поступающих на наше предприятие. Или наоборот, для желающих бежать от него как можно дальше. И готов руководить этими курсами, потому что хорошо знаю завод. Объясняю я все очень толково. Вот пример. Что такое главный инженер? Каков его статус на заводе? Отвечаю формулой, пропорцией:

Отсюда:

На этом все кончилось. На обратном пути Дмитриев у меня спросил:

– Это кто же у нас комиссию на пол положил? Почему я ничего не знаю?

– Потому что до вашего сведения, Виктор Павлович, не все доводят. Уж больно вы человек крутой. Неожиданный и суровый. Неизвестно, чем этот доклад кончится. Это раз. А во-вторых, это я уложил. Так что учтите, Виктор Павлович. И когда вас в главк переведут, о чем слухи упорные ходят, делегаций по цехам не водите.

– А пошел бы ты! – сказал Дмитриев.

ГЛАВА N + 6

(Истоки источности и причины причинности)

– Дорогая бабушка и дорогой товарищ мой Топилин! Вот смотрите вы на меня и меня судите. И не за тем, чтобы самим сделать выводы и чему-нибудь научиться, а затем, чтобы меня изменить. Сохранить вы меня хотите и улучшить. А того не понимаете, что все это бесполезно. Потому что я в жизни не просто двигаюсь, а бегу перед паровозом, пытаясь спиной его остановить. А вагоны его гружены чугунными отливками. И задерживать меня бессмысленно. Я прошибу любое препятствие. Или расшибусь сам.

– На любой паровоз есть свой стрелочник! – сказала бабушка.

– И зря ты думаешь, что поезд столь неповоротлив, – заметил Топилин. – На нем и направо можно отправиться, и налево. И, между прочим, в обратную сторону. И никого еще не радовало, что машинист – дурачок.

– Во-первых, я и не машинист даже. А во-вторых, я далеко не дурачок.

– Ты у нас, конечно, светоч. Ну, просто маяк разума. Со знаком качества! Ну, да ладно, выкладывай свои выговоры и благодарности.

На очереди был:

ВЫГОВОР
за организацию дебоша при поездке на сбор картофеля.

Как-то получается, что начальство всегда от меня избавиться хочет. Больно много я приношу ему забот. Когда люди требуются

на картошку или на склад овощи перебирать, моя фамилия первой называется. А на этих складах или картошке у меня опять приключения.

Тогда я был уже инженером. И вытурили меня на сбор картошки под Можайск сырой осенью.

Подогнали к проходной машины. Смотрю я, что за народ в них садится, и ужасаюсь. Или дети совсем – ученики, или довольно мрачного вида оболтусы. Дети трезвые, а оболтусы успели где-то под забором глотнуть, и в рюкзаках у них что-то звенит.

Время горячее. Каждый хороший работник на счету. Кого мастер отправит в подшефное село? Или учеников-малолеток, или разгильдяев-прогульщиков. Из инженеров никого. Только я да Майка Гаврилова из лаборатории гироскопов. Я у Майки спрашиваю:

– Ты чего это собралась? Видишь, какая здесь публика?

Она в ответ:

– Вижу. Когда мы в институте на картошку ездили, очень весело было. И здесь, думала, будет так же. Хотела от завода отдохнуть. Да, видно, не наотдыхаешься.

Приехали. Поселили нас в школе. Спросили:

– Кто умеет варить? Вышел один дядя мрачный.

– Я кухарничал.

Отвели его на кухню, показали, где котлы, где дрова. Но продуктов не дали.

– Завтра дадим, к обеду. Мы ваше начальство предупреждали, чтобы на первый день еду брали с собой. Сначала сами кормитесь, а уж потом за наш счет поправляться будете.

Пошли мы с Майкой грибы собирать… Возвращаемся к школе, а там дым коромыслом – в спортзале драка идет. Два здоровенных парня повара ухайдакивают. Оба пьяные, и дело у них не очень ладится. Один парень в тельняшке, а другой в гимнастерке на босу грудь в сапогах. А повар просто в трусах до колен. И лавки у них в ход идут, и ведра, и мотает их по матрасам от стенки к стенке. И окно они лавкой выколотили.

А вокруг по углам стоят юнцы, как на физкультуре, и смотрят. Кто с испугом, кто с недоумением. Оказалось, повар у этих двоих пол-литру украл из сапога. А это для них святое.

Гляжу, тот, который в гимнастерке, лопату схватил – и на повара. Сейчас у бедного последние мозги вышибут. Я с ходу кинулся, схватил могильщика поперек спины и бросил на матрас.

Он аж ошалел от удивления! Встал на ноги и на меня. Полутолкнул-полутреснул. Я от него шаром бильярдным лечу через класс. Делаю вид, что меня такой богатырь швырнул, хоть стенку прошибай! А сам в матросика как врежусь! И рухнули мы с ним. Только я понарошку, а он, бедняга, по-настоящему.

Удачно вышло. И матросика уложил, и гимнастерочник счастлив. Вот, мол, как я их, гадов, разбрасываю! А это важно, чтобы он в драке доволен был. Чтобы в нем злость зверская не пробудилась. Иначе конец.

Но тут повар в трусах тоже ко мне направляется с кулаками. Сообразил, что я теперь враг как бы общий. И матросик оклемался. Того гляди убьют.

Слава Богу, пьяные. Руками они машут, пролетают мимо с грохотом. А я тихо-тихо так к двери. И в коридор.

Настроение неприятное. Погулял с час, полтора. Что делать? Хоть вешайся. До станции двадцать километров. И что в городе скажешь? Жаловаться, что ли, на ребят? Так не вмешивался бы. Тоже мне – дружинник. Они тебя не трогали. Может, они каждый вечер так развлекаются. Заместо домино.

Делать нечего. Иду снова в класс. Но сам ноги держу в обратную сторону. Сердце где-то в кишках запуталось. Тут ко мне направляются двое. Один – матросик в тельняшке. Второй – парень, которого я раньше не видел. Что-то есть в нем спокойное, располагающее. Чем-то он диван или шкаф напоминает.

– Ты что, – спрашивает, – бить его хотел или разнимать? – и показывает на матросика.

Хотел я сострить, что бить. Хобби у меня такое: как увижу матросика – сразу набрасываюсь и по морде! Но дело под вечер, не до шуток.

Поделиться с друзьями: