Чтение онлайн

ЖАНРЫ

Шрифт:

– Знаете ли вы, что впервые сдвоенный резец применил Петр Первый?

– Знаете ли вы, что английский премьер-министр Черчилль любил в свободное время поработать на токарном станке?

– Знаете ли вы, что есть оборудование, позволяющее работать под микроскопом?

– Что вода на висячие сады Семирамиды поднималась при помощи винта Архимеда? И если бы не было этого винта, воду надо было бы поднимать с помощью ста пятидесяти верблюдов. Сейчас винт Архимеда используется в каждой мясорубке.

И так далее, и тому подобное. Все жутко интересно, а вспомнить потом, что он говорил, практически невозможно.

Потом Дмитриев Бычкова представил. Вернее, просто показал:

– Это наш ГЛАВНЫЙ РАБОЧИЙ МЕХАНИК. Рабочий шестого разряда. А

с ним даже членкоры советуются. В теории он ничего не понимает и формул не знает. И не мудрено. Там каждая формула длиной с полкилометра будет. Но все он чувствует и на любой вопрос ответить может. Он единственный на заводе, кому НИИ, поставляющий расчеты, разрешает чертежи менять. Они ему больше, чем себе, доверяют. Одних рацпредложений он четыре в месяц подает. Одно хитрее другого. А наше опытное производство для умного человека просто Клондайк. Что хочешь придумывай и предлагай. Лишь бы это прибыль давало. И один Бычков дал нам больше прибыли, чем весь электроремонтный цех. Говорить он не любит и, кажется, вообще не умеет. Поэтому вы просто на него посмотрите. Ты, Бычков, иди и просто постой на трибуне.

Бычков постоял. Я захлопал, и все вокруг зааплодировали.

Потом Дмитриев меня представил. Рассказал историю про меня и про спальный матрас. И закончил ее своим удивлением по поводу того, что лучшим сборщиком я оказался, а не какой-нибудь другой серьезный и достойный человек. С хорошим обликом и биографией. Я говорю:

– Серьезность, ребята, это еще не достоинство. Индюк тоже серьезный. А особенно баран. Но только был у нас на заводе такой случай. В механическом цехе. Вбивали в бетонную стенку костыли. Специальным таким пистолетом-молотком. Вкладывается в ствол костыль и пороховой патрон. Подносят пистолет к стенке – бабах – половина костыля в стене, половина персонала в обмороке. Цех огромный. Эхо от взрыва полчаса перекатывается. Вот пару раз пистолетчик бабахнул и третий раз приготовился. А тут по цеху идет комиссия. Нарядные такие, важные, в белых рубашках. Представили себе?

– Представили.

– Видим ясно…

– И вдруг как трахнет! Мы-то люди тренированные, привычные. Уже два выстрела пережили, и то у нас инструменты из рук попадали. А им-то, новичкам, каково? И тут кто-то как крикнет: «Ложись!» Ну и рухнули они, как подкошенные, в ужасе! Лежат, в себя приходят, потери подсчитывают. Одного, самого молодого, под руки увели. Да еще один наш электрик в обморок шлепнулся. Он в это время рубильник включил для точила. Он включил, и как бабахнет! Ему в голову пришло, что он завод взорвал. А за это спасибо не скажут. Потом наше начальство несколько суток рабочих допрашивало: «Кто крикнул?! Признавайтесь, а то хуже будет. Признавайтесь, добром просим». Но кричальщик не признался и, по-моему, правильно сделал. Из-за него всем начальникам в цехе так шею намяли, что они волей-неволей беднягу бы слопали. Механически. Где бы премии не дали, где бы в квартире отказали, где бы в самый дождь на картошку отправили. К чему я это говорю? А к тому, что в тот день производительность труда в цехе была самая высокая. Рабочие хохотали, мастера посмеивались, а начальник цеха сквозь зубы, но все-таки улыбался. Это и сказалось на выработке.

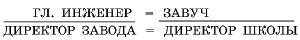
Или вот. Сейчас в сборочном цехе разрешили включать несерьезную музыку. И никто в приборах ничего не путает. И производительность у нас улучшается. Но самое главное вот что. Сколько бы вам про завод ни рассказывали, сколько бы экскурсий у вас ни было, ничего вы не узнаете про свою будущую работу. И выбрать место себе не сумеете. Я предлагаю организовать курсы для поступающих на наше предприятие. Или наоборот, для желающих бежать от него как можно дальше. И готов руководить этими курсами, потому что хорошо знаю завод. Объясняю я все очень толково. Вот пример. Что такое главный инженер? Каков его статус на заводе? Отвечаю формулой, пропорцией:

Отсюда:

На

этом все кончилось. На обратном пути Дмитриев у меня спросил:

– Это кто же у нас комиссию на пол положил? Почему я ничего не знаю?

– Потому что до вашего сведения, Виктор Павлович, не все доводят. Уж больно вы человек крутой. Неожиданный и суровый. Неизвестно, чем этот доклад кончится. Это раз. А во-вторых, это я уложил. Так что учтите, Виктор Павлович. И когда вас в главк переведут, о чем слухи упорные ходят, делегаций по цехам не водите.

– А пошел бы ты! – сказал Дмитриев.

ГЛАВА N + 6

(Истоки источности и причины причинности)

– Дорогая бабушка и дорогой товарищ мой Топилин! Вот смотрите вы на меня и меня судите. И не за тем, чтобы самим сделать выводы и чему-нибудь научиться, а затем, чтобы меня изменить. Сохранить вы меня хотите и улучшить. А того не понимаете, что все это бесполезно. Потому что я в жизни не просто двигаюсь, а бегу перед паровозом, пытаясь спиной его остановить. А вагоны его гружены чугунными отливками. И задерживать меня бессмысленно. Я прошибу любое препятствие. Или расшибусь сам.

– На любой паровоз есть свой стрелочник! – сказала бабушка.

– И зря ты думаешь, что поезд столь неповоротлив, – заметил Топилин. – На нем и направо можно отправиться, и налево. И, между прочим, в обратную сторону. И никого еще не радовало, что машинист – дурачок.

– Во-первых, я и не машинист даже. А во-вторых, я далеко не дурачок.

– Ты у нас, конечно, светоч. Ну, просто маяк разума. Со знаком качества! Ну, да ладно, выкладывай свои выговоры и благодарности.

На очереди был:

ВЫГОВОР
за организацию дебоша при поездке на сбор картофеля.

Как-то получается, что начальство всегда от меня избавиться хочет. Больно много я приношу ему забот. Когда люди требуются на картошку или на склад овощи перебирать, моя фамилия первой называется. А на этих складах или картошке у меня опять приключения.

Тогда я был уже инженером. И вытурили меня на сбор картошки под Можайск сырой осенью.

Подогнали к проходной машины. Смотрю я, что за народ в них садится, и ужасаюсь. Или дети совсем – ученики, или довольно мрачного вида оболтусы. Дети трезвые, а оболтусы успели где-то под забором глотнуть, и в рюкзаках у них что-то звенит.

Время горячее. Каждый хороший работник на счету. Кого мастер отправит в подшефное село? Или учеников-малолеток, или разгильдяев-прогульщиков. Из инженеров никого. Только я да Майка Гаврилова из лаборатории гироскопов. Я у Майки спрашиваю:

– Ты чего это собралась? Видишь, какая здесь публика?

Она в ответ:

– Вижу. Когда мы в институте на картошку ездили, очень весело было. И здесь, думала, будет так же. Хотела от завода отдохнуть. Да, видно, не наотдыхаешься.

Приехали. Поселили нас в школе. Спросили:

– Кто умеет варить? Вышел один дядя мрачный.

– Я кухарничал.

Отвели его на кухню, показали, где котлы, где дрова. Но продуктов не дали.

– Завтра дадим, к обеду. Мы ваше начальство предупреждали, чтобы на первый день еду брали с собой. Сначала сами кормитесь, а уж потом за наш счет поправляться будете.

Пошли мы с Майкой грибы собирать… Возвращаемся к школе, а там дым коромыслом – в спортзале драка идет. Два здоровенных парня повара ухайдакивают. Оба пьяные, и дело у них не очень ладится. Один парень в тельняшке, а другой в гимнастерке на босу грудь в сапогах. А повар просто в трусах до колен. И лавки у них в ход идут, и ведра, и мотает их по матрасам от стенки к стенке. И окно они лавкой выколотили.

Поделиться с друзьями: