Чтение онлайн

ЖАНРЫ

Шрифт:

Вернемся к опросу наших респондентов. Настойчивые попытки выяснить, какие именно моменты в предложенных ситуациях побудили их рассматривать ситуацию как конфликтную, дали следующий результат. Практически с одинаковым «весом» с точки зрения частоты упоминания «ядро» конфликта для «наивных испытуемых» образовали три признака.

1. Поведенческие проявления участников ситуации («борются друг с другом», «хотят добиться своего», «стремятся доказать свою правоту», «пишет жалобы», «борется за свой интерес» и т. д.).

2. Противоречие между участниками ситуации (в терминологии наших респондентов «разные интересы», «разные цели», «несовместимые позиции», «стремятся к разному», «разногласия», «разного хотят» и т. д.).

3. Аффективные проявления участников ситуации («переживает», «страдают», «испытывает нервное напряжение», «настроен враждебно» и т. д.) (рис. 6.1).

Таким образом, с точки зрения «наивных испытуемых», опирающихся на здравый смысл, конфликт – это ситуация, в которой имеет место противоречие между ее участниками, проявляющееся в их противодействии друг другу (противостоянии, противоборстве) и сопровождающееся аффективными проявлениями. На уровне «естественного» категориального знания эти признаки дифференцируют конфликт от других социальных ситуаций, образуют категорию явлений, имеющих значение «конфликтной ситуации». Данное представление совпадает с суждениями ученых, которые тем самым получают дополнительную поддержку своим взглядам.

Факторы определения ситуации как конфликтной

Чем более общие «параметры» человека мы рассматриваем, тем большего типового, схожего в его поведении, восприятии, реакции с другими мы будем находить. Так, на уровне «общечеловеческого измерения» люди могут испытывать общее чувство страха в похожих обстоятельствах и переживать его схожим образом (проявляя это в одних и тех же признаках). Каждое последующее «измерение» будет оказывать влияние и накладывать свои ограничения на наши реакции. Например, принадлежность к определенной культуре, возрастной категории, полу, профессиональной

группе делает наше восприятие и оценку тех или иных обстоятельств специфическим, особенным. Наконец, если мы обратимся к внутреннему миру человека, его психологическим особенностям, то на этом уровне восприятие людьми внешних ситуаций и событий становится еще более тонким и индивидуализированным, единичным.

Определение ситуации, с одной стороны, опирается на саму «определяемую» ситуацию, с другой – на существующие у субъекта индивидуальные когнитивные репрезентации ситуаций разного типа. Таким образом, определение ситуации детерминировано как внешней реальностью, так и внутренним субъективным миром человека, причем сила влияния обоих «источников» может различаться в зависимости от ситуации.

Чем более определенной является внешняя ситуация, тем более однотипные реакции она вызывает. В случае возникновения опасности самые разные люди, независимо от их индивидуальных особенностей, отношения к жизни, убеждений и вкусов, часто поддаются панике, спасаются бегством, переживают эмоциональные потрясения. Хотя в их поведении и можно увидеть индивидуальные особенности, ситуация, в которой они оказались, настолько однозначна, что фактически не оставляет места разным субъективным интерпретациям. Если же внешняя ситуация является менее определенной, ее восприятие в большей степени зависит от индивидуальных особенностей участников. Например, начальник устраивает своим подчиненным разнос: для одного из них это «справедливая критика», для другого – ничего не значащее «сотрясение воздуха», а третий кипит от возмущения и с трудом сдерживается, чтобы не отреагировать на неприемлемое для него поведение руководителя.

В зависимости от того, какой вклад вносит сама внешняя ситуация в возникновение конфликтов и какую роль играют в этом субъективные факторы, все конфликты можно условно расположить в некоем континууме.

На одном его полюсе (1) будут находиться конфликты, вызываемые исключительно внешними причинами: ситуация объективно оказывается столь конфликтогенна, что индивидуальные особенности людей фактически не имеют значения, и эта ситуация вызывает у них одинаковую реакцию. Теоретически можно допустить, что все 100 % людей будут воспринимать эту ситуацию как конфликтную. На противоположном полюсе (2), напротив, будут располагаться конфликтные ситуации, вызванные исключительно субъективными факторами: сами по себе они не содержат никакого конфликтогенного начала, но порождены субъективной склонностью людей видеть в этих ситуациях конфликт. Ведь, условно говоря, может существовать человек, для которого все 100 % его жизненных ситуаций – конфликтные (рис. 6.2).

Чем ближе к «ситуационному» полюсу, тем больше конфликты вызваны факторами самой ситуации (и меньшую роль играют индивидуальные особенности людей). И наоборот, чем ближе к «личностному» полюсу, тем большее значение приобретает «человеческий» фактор (и меньшее – «объективные» особенности ситуации).

Большинство конфликтных ситуаций, однако, возникают как в результате наличия «объективного» конфликтогенного начала во внешних условиях ситуации, позволяющих увидеть в ней конфликт, так и вследствие индивидуальных особенностей людей, «видящих» в ней конфликт.

«Объективные» факторы определения ситуации

Объективными мы обычно называем те обстоятельства, которые считаем независимыми от себя. В контексте нашего обсуждения в качестве объективных факторов, обусловливающих наше восприятие ситуации и ее определение, выступают особенности самой этой ситуации, которые на уровне «общечеловеческого» измерения вызывают однотипные реакции у людей.

Уже отмечалось, что чем более очевидны, выражены характеристики самой ситуации, тем меньше возможностей она оставляет для индивидуальной ее оценки, тем более типовые реакции вызывает. «Чем более субъективно значимо событие (например, за счет осознания его опасности) и чем более определенным оно является для субъекта (например, за счет интенсивности воздействия), тем больше вклад этого воздействия в актуализацию программы активного поведения» (Китаев-Смык, 1983, с. 70).

В теоретических разработках это свойство ситуации часто обозначается как «сила». «Сильные» ситуации более жестко и однозначно детерминируют поведение участников взаимодействия, «слабые» допускают большую свободу в ее интерпретации и, следовательно, избираемых стратегиях поведения. К самым «сильным» в этом смысле ситуациям относятся любые экстремальные ситуации. Достаточно вспомнить психологические описания паники или другие проявления толпы, а также, например, многочисленные данные о влиянии на агрессивность поведения людей экстремальных факторов окружающей среды.

То, что сами ситуации могут «навязывать» свое «определение», легко проиллюстрировать примерами из повседневного опыта. Несколько человек, образуя вереницу, стоят в затылок друг другу лицом по направлению к какой-то двери или окну. Что это за ситуация? Задавая этот вопрос студентам во время занятий, я ни разу не видела затруднений или ошибок в ответе – конечно, это очередь. В комнате большого размера симметрично расставлены столы, за ними сидят молодые люди лицом к одной из стен этой комнаты, на которой висит доска. Перед ней стоит человек и, обращаясь к присутствующим, что-то рассказывает. Это занятие, лекция, урок. Каким образом мы узнаем, что это за ситуация? По разнообразным признакам, в которые входят и особенности пространства, и особенности расположения в нем людей, и особенности их поведения и т. д. А теперь представьте себе – психологи легко поймут этот пример, – что в этой аудитории проводится социально-психологический тренинг, в соответствии с чем ее пространство организовано иначе: убраны столы, люди сидят либо парами или небольшими группами, либо образуют общий круг. Человеку, незнакомому со спецификой подобных занятий и случайно заглянувшему в эту аудиторию, уже трудно будет ответить на вопрос, что это за ситуация.

Общее в нашем реагировании связано с тем, что наши знания-представления о ситуациях могут быть в большей или меньшей степени типичными, совпадающими с аналогичными знаниями-представлениями о ситуациях других людей. Это «надындивидуальное» представление обычно называют «разделяемым» знанием. (Именно предположение о некотором обязательном «разделяемом» знании, общем в восприятии ситуаций, делает возможным использование психологией разнообразных методов диагностики личности через выявление индивидуальных способов восприятия ситуаций и их сопоставление с нормативными, например в клинической диагностике личностных отклонений. Многие психологические тесты, например рисуночный тест Розенцвейга, направлены на решение именно этой задачи.)

Согласно А. Шюцу, «обыденный здравый смысл несет в себе черты коллективно разделяемого опыта, у части людей создается понимание общества и той действительности, в которой мы живем, посредством общих категорий культуры. Поэтому такое понимание не только является принадлежащим отдельному индивиду, но свидетельствует о компетентном понимании у этого индивида как участника определенного культурного круга» (Бекк-Виклунд, 1992, с. 79). МакКолл предлагает различать общее знание, требующееся отдельному индивиду для участия в коммуникации, и разделяемое знание, необходимое для эффективности взаимной коммуникации (McCall, 1987, р. 71).

«Надындивидуальные» представления о ситуациях, отражающие реалии повседневной жизни людей, были проиллюстрированы в исследовании Фюрн-хама, где было показано, что ситуация сама по себе содержит определенные возможности для индивида, может быть релевантна одним и нерелевантна другим его целям. В ходе процедуры исследования субъектам было необходимо передать кому-то сообщение или, наоборот, выслушать кого-то, другими словами, осуществить коммуникацию определенного рода, например, «убедить коллегу помочь вам в важном проекте», «выслушать знакомого, который переживает разрыв дружеских отношений», «сообщить кому-то, кого вы знаете, о смерти кого-то из его родителей» и др. Для этого им предлагался набор ситуаций («позавтракать вдвоем в маленьком спокойном ресторане», «позвонить человеку из дома» и др.).

Результаты исследования показали, что люди предпочитают вполне определенные типы ситуаций для достижения той или иной цели, т. е. считают одни типы ситуаций подходящими и уместными для одних целей, а другие нет. Значит, по мнению автора, «они имеют ясную идею норм, ограничений и преимуществ определенных социальных ситуаций для получения или передачи информации» (Argyle, Furnham, Graham, 1981, p. 111–112).

Таким образом, наше представление о социальных ситуациях взаимодействия содержит общее «коллективно разделяемое» знание, позволяющее людям приходить к согласию относительно характера ситуации.

Применительно к конфликтам это означает, что представления людей о конфликтах (так же как и о любых других ситуациях) наряду с индивидуальным, личным компонентом, содержат и общее, разделяемое с другими знание. Социальная ситуация за счет своих собственных характеристик может соответствовать общим, «разделяемым» представлениям о конфликтах и, следовательно, определяться как конфликтная большим числом людей, вызывая у них типичные реакции.

Групповые факторы определения ситуации

Наша принадлежность к определенному социальному и культурному слою объективно оказывает влияние на то, «в каких наиболее типичных стрессовых или конфликтных ситуациях мы оказываемся, а также как мы справляемся с ними» (Хьелл, Зиглер, 1997, с. 31).

Даже психоаналитики с их приверженностью к преимущественно интрапсихическому объяснению конфликтов человека по мере отхода от ортодоксального психоанализа обращаются к культурным факторам их возникновения. Хорни что хотя «судьбой отдельного человека является иметь деспотическую или „жертвующую собой ради детей“ мать, но тот или иной тип матерей определяется данными культурными условиями» (Хорни, 1993, с. 8).

...

Тот факт, что большинству людей в данной культуре приходится сталкиваться с теми же самыми проблемами, наводит на мысль, что эти проблемы порождены специфическими жизненными условиями, существующими в данной культуре.

К.Хорни

Тема «культурного» происхождения проблем человека далее становится ведущей у многих психологов. Мэй на примере анализа появляющихся у невротиков проблем показывает их изменение во времени. Пациентов Фрейда

с их сексуальными проблемами сменили невротики с повышенной агрессивностью. Тридцатые – начало сороковых годов были отмечены появлением у пациентов тревоги как общей черты характера. Сменившая ее проблема идентичности уступила место переживаниям людьми чувства апатии, связанной с утратой или обесцениванием смысловых основ существования. Мэй, правда с понятными сомнениями, но все же упоминает точку зрения, в соответствии с которой в наше время слово «невроз» должно быть заменено на «соционоз» (Мэй, 1997, с. 19–23)

...

В наше время человек, раздираемый психологическими страстями, несет себе бремя сотрясающих его эпоху конфликтов.

Р. Мэй

В рамках интеракционистской традиции выполнено немало исследований, основанных на том предположении, что индивиды, живущие или функционирующие в условиях, гомогенных по значимым физическим, биологическим, социальным, культурным характеристикам, будут в определенной степени разделять общие представления о мире и проявлять сходство в восприятии общих ситуаций (Stokols, 1981). Это справедливо для индивидов, принадлежащих к одной и той же культуре, к одной и той же субкультуре, к одной и той же рабочей группе, к одной и той же паре и т. д. (Magnusson, 1981, р. 28).

Традиционными в этом отношении являются попытки изучения зависимости восприятия тех или иных ситуаций от факторов культуры. Например, в исследовании Магнуссона и Статтин были выявлены отчетливые культурные различия в восприятии разных ситуаций (например, «быть одному дома», «быть одному в лесу» и др.) с точки зрения вызываемой ими тревожности (Magnusson, 1981, р. 29) (рис. 6.3).

Психологическая диагностика профессиональных групп также исходит из предположения о переживании лицами одной и той же профессии общих ситуаций. Так, в серии работ К. Маслак показано, как представители так называемых «помогающих» профессий постоянно оказываются в ситуациях, вызывающих эмоциональный стресс, что постепенно может приводить к развитию у них «синдрома выгорания» (Maslach, 1982).

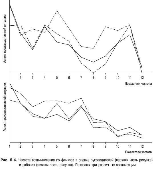
Приведем пример нашего исследования, в котором были получены аналогичные данные об общности ситуаций, переживаемых членами организаций, находящимися в одной и той же организационной позиции. В трех разных организациях был проведен анкетный опрос рабочих и работников среднего руководящего звена (всего было опрошено 304 человека). Среди прочего были получены двусторонние (руководители по отношению к рабочим и рабочие по отношению к руководителям) оценки одной и той же системы взаимоотношений и степени ее конфликтности. Если бы речь шла просто об обусловленности реакций людей объективными факторами, то оценки одной и той же ситуации разными категориями работников в рамках одной организации должны были бы быть близки друг к другу. Однако, сопоставив данные, полученные в разных организациях, мы обнаружили совпадение оценок не по «общему пространству жизни» в организации, но по принципу позиции, занимаемой работниками в организации, т. е. категории, к которой они относились. Опрос рабочих трех совершенно разных организаций продемонстрировал значительное совпадение «профилей конфликтности» их отношений с руководителями. Оценки тех же отношений со стороны руководителей не совпадали с оценками их подчиненных, но обнаруживали несомненную близость между собой (рис. 6.4). Аналогичные данные получены и при двусторонней оценке (рабочими и руководителями) социально-производственной ситуации по другим параметрам (не по частоте конфликтов): хотя между оценками рабочих и руководителей может быть обнаружена известная близость, мнения рабочих трех разных организаций оказались значительно ближе друг другу (это же касается и позиций, которых придерживаются их руководители).

Стр210 Рис. 6.4.

Таким образом, между факторами объективной ситуации и их восприятием возникла опосредующая переменная – позиция индивида относительно этой ситуации, его место в системе взаимоотношений с соответствующими правами, обязанностями, степенью ответственности и т. д., которая оказала более сильное влияние на его оценку ситуации, чем объективные аспекты самой этой ситуации.

Описанные выше факторы «среды», относятся ли они к культурному или организационному пространству, будут оказывать влияние на то, какова структура типичных, повседневно окружающих человека обстоятельств и какие из них с большей вероятностью будут интерпретироваться как стрессовые, конфликтные.

Многочисленные данные относятся к влиянию возраста и пола на преимущественный характер конфликтов. Например, можно говорить о наличии разных возрастных проблем и соответственно о структуре потенциальных конфликтных ситуаций, связанных с возрастом. Известно, что в общем жизненном цикле человека различаются отдельные возрастные стадии, смена которых – переходные периоды – может проходить достаточно бурно, сопровождаться трудностями и эмоциональными переживаниями, сопутствующими возникновению качественных перемен в жизнедеятельности личности.

Возрастные периоды, помимо особенностей психического и личностного развития, различаются еще и по характеру проблем, встающих перед индивидом, по тому, какие типичные трудности, критические ситуации или кризисы переживает человек в том или ином возрасте.

Конфликты раннего детства были предметом наиболее пристального внимания в психоаналитической традиции: описывая конфликтную природу человека, психоаналитики придавали проблемам детства особое значение. В предисловии ко второму изданию своей работы «Конфликты детской души» К. Юнг пишет о множественности возможных подходов к этой проблеме: фрейдовской психологии с ее принципом удовольствия, адлеровской психологии с позиции принципа власти, с точки зрения развития логических процессов у ребенка, наконец, с религиозно-психологических позиций и развития у него понятий о Боге. Сам Юнг считает свой подход психобиологическим, основанным на развитии у ребенка сексуального интереса, а также на значении мышления и понимания в решении душевных конфликтов. Например, четырехлетняя Анна проявляет интерес к проблеме смерти и тому, что происходит с человеком после нее, переживает рождение брата, страх смерти матери, обдумывает и обсуждает проблемы происхождения детей, отношений родителей и т. д. Она фактически пытается создать собственную концепцию жизни, ищет ответы на появляющиеся у нее вопросы и старается как-то разрешить возникающие при этом противоречия. Проблема смерти и рождения находит у Анны логически приемлемую для нее интерпретацию: после смерти человек становится ангелом, а затем – ребенком. Рождение братика требует новых объяснений, к которым добавляется детская ревность, потребность в осмыслении своего нового опыта и места в системе семейных отношений и подтверждении материнской привязанности и т. д. (Юнг, 1995). Многие работы психоаналитиков, подобно работе К. Юнга, содержат примеры прекрасных описаний проблем детской души и отношений детей с миром взрослых.

Из других периодов детства наиболее часто предметом внимания психологов становился подростковый возраст, в котором конфликты приобретают особое значение.

Общеизвестно выражение «трудности переходного возраста», ставшее устойчивым штампом обыденной речи, используемым для характеристики проблем подросткового периода. Левин считал подростка маргиналом, находящимся между двумя группами, вышедшим из мира детства и не пришедшим в мир взрослых. В этом образе отчетливо видна и «переходность» подростка, и сущность его психологических проблем: он уже не хочет быть ребенком, но еще не может быть взрослым в глазах окружающих, да и своих собственных. Именно это главное противоречие подросткового периода развития и приводит к типичным трудностям, переживаемым в это время, прежде всего к проблемам в отношениях со взрослыми, неадекватным поступкам вплоть до девиантного поведения, направленного на подтверждение своей «взрослости». Причем, по Левину, эти конфликты и их протекание зависят от того, насколько резкими являются границы между этими двумя группами – миром взрослых и детей.

В любом случае одной из главных особенностей поведения подростка становится его эмансипация, отдаление от родителей и растущая ориентация на мир сверстников и их групповых отношений.

Конфликты в этом возрасте могут являться естественным следствием интенсивного, но не всегда адекватного овладения подростками новыми для них формами социального взаимодействия, но могут обладать и своего рода самоценностью.

М. В. Розин, изучавший подростковую субкультуру, отмечает особую роль конфликтов в этом возрасте:

...

Семейные конфликты для подростка не побочные следствия неформальной жизни, а предмет гордости. Неформалы постоянно пересказывают друг другу свои домашние приключения, и чем они серьезнее, тем сильнее поднимается статус подростка в неформальной группе. Конфликты нужны подростку так же, как длинные волосы или клепаная куртка, чтобы демонстрировать их перед сверстниками (Розин, 1990, с. 92).

Образ родителей может включать в себя разные характеристики – они «ограниченные», «не понимающие своих детей», «мещане» или «добрые», «заботливые» и т. д. Неизменным, однако, остается общий принцип: «Родители всегда мешают жить». Сам подросток при этом в собственном описании предстает «пассивным в конфликте с родителями, он живет так, как ему представляется правильным, не задевает родителей, пытается отстраниться от них, разграничить сферы жизни, родители же оказываются активной, нападающей стороной, пытаются с помощью силы изменить своего ребенка» (там же, с. 93). По мнению автора, одна из причин подобных конфликтов для ребенка – это потребность в событийности.

Как известно, детский и подростковый возраст в прошлом были объектом особенно пристального внимания психологов.

Меньшая изученность старших возрастов не исключает, однако, возможности прийти к определенным заключениям о потенциальных причинах конфликтов, характерных для данных возрастных категорий. Примечательно, что одну из глав своей книги о возрастных проблемах людей Г. Шихи называет «Предсказуемые кризисы зрелого возраста». Какие же это кризисы? Это отдаление от дома после восемнадцати лет, поиск своего места в жизни двадцатилетними, осмысление сделанного и новые искания в тридцать, середина жизни между тридцатью пятью и сорока пятью годами, когда постепенно начинают уходить молодость и физические силы, меняются привычные роли, и, наконец, старший возраст, где человека ожидают удовлетворенность прожитой жизнью или новые кризисы (Шихи, 1999).

Эмпирические доказательства возрастной предрасположенности человека к «проблемности» тех или иных аспектов своего взаимодействия с окружающими часто приводятся в социально-психологических исследованиях отношений в группах или организациях. Например, в проведенном нами масштабном исследовании в производственных коллективах (в котором участвовали более трех тысяч человек) были выявлены бесспорные различия в оценках частоты конфликтов между работниками разных возрастов: на общем фоне явно выделялась самая молодая группа работников, для которых были характерны причины конфликтов, очевидно связанные с проблемами их адаптации к производству и социальной ситуации в группе.

Поделиться с друзьями: