Чтение онлайн

ЖАНРЫ

Пуговицы Наполеона. Семнадцать молекул, которые изменили мир
Шрифт:

В ходе реакции ацилирования раскрытое четырехчленное кольцо пенициллина присоединяется к молекуле бактериального фермента

В результате ацилирования происходит инактивация фермента, участвующего в синтезе клеточной стенки бактерий. Не имея возможности ограждать себя клеточной стенкой, бактерии погибают. Клетки животных и человека окружены мембраной, а не клеточной стенкой, и у них нет таких ферментов. Поэтому на наши клетки пенициллин не оказывает подобного действия.

Из-за неустойчивости четырехчленного кольца препараты группы пенициллина, в отличие от сульфаниламидных препаратов,

следует хранить при пониженной температуре. Как только кольцо раскрывается (а этот процесс ускоряется при повышении температуры), пенициллин теряет активность. Но, кажется, бактерии разгадали секрет кольца. Со временем возникли устойчивые к действию пенициллина штаммы бактерий, в которых образуется фермент, способный раскрывать -лактамное кольцо антибиотика до того, как антибиотик разрушает бактериальный фермент, участвующий в построении клеточной стенки.

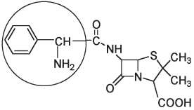
На рисунке изображена формула пенициллина G, который был впервые выделен из плесени в 1940 году и до сих пор широко применяется. Из плесеней были выделены многие другие виды пенициллина, а некоторые были синтезированы химическим путем из природных версий антибиотиков этой группы. Антибиотики из группы пенициллина различаются только структурой той части молекулы, которая обведена окружностью.

Структура пенициллина G. Вариабельная часть молекулы обведена окружностью.

Ампициллин (синтетическое производное пенициллина, эффективное против устойчивых к пенициллину G бактерий) имеет очень похожую структуру. Он имеет лишь одну дополнительную NH2– группу.

Ампициллин

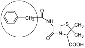
Боковая группа амоксициллина — одного из самых часто назначаемых в настоящее время антибиотиков — похожа на боковую группу ампициллина, но содержит дополнительную OH-группу. Боковая группа может быть очень простой, как в пенициллине О, или достаточно сложной, как в клоксациллине.

Структура боковых групп амоксициллина (слева), пенициллина O (в центре) и клоксациллина (справа)

В наши дни в клинической практике используются четыре из десятка различных вариантов пенициллинов. Эти молекулы могут сильно различаться структурой боковой группы, однако все они имеют четырехчленное -лактамное кольцо. Именно эта часть молекулы может спасти вам жизнь, если вам когда-нибудь понадобится антибиотик пенициллинового ряда.

У нас нет надежных статистических данных, отражающих среднюю продолжительность жизни людей в разные исторические периоды: есть только оценочные данные для отдельных стран и народов. В соответствии с этими данными с 3500-х годов до н. э. до 50-х годов XVIII века, то есть в течение пяти с лишним тысячелетий, средняя продолжительность жизни европейцев колебалась от 30 до 40 лет. В Древней Греции около 680-х годов до н. э. этот показатель достигал 41 года, а в Турции в 1400-х годах составлял всего 31 год. Такой же является средняя продолжительность жизни людей в развивающихся странах в наши дни. Три главные причины столь малой продолжительности жизни — недостаточное питание, плохие санитарные условия и эпидемические заболевания — тесно связаны между собой. Плохое питание снижает сопротивляемость организма, а плохие санитарные условия способствуют распространению эпидемий.

В тех частях света, где интенсивно развивались сельское хозяйство и транспорт, исчезла проблема недостатка пищи. В это же время улучшились личная гигиена и медицинское обслуживание, появились системы очистки воды и канализации, наладилась система вывоза мусора, появились средства борьбы с паразитами, была проведена вакцинация населения. Все это

привело к уменьшению частоты случаев эпидемических заболеваний и общему оздоровлению населения. В результате, начиная с 60-х годов XIX века, продолжительность жизни людей в развитых странах стала расти. Однако последний удар по инфекционным заболеваниям, которые на протяжении тысячелетий уносили человеческие жизни, нанесли антибиотики.

С 30-х годов XX века эти молекулы заметно влияют на уровень смертности от инфекционных заболеваний. Сульфаниламидные препараты позволили эффективно бороться с пневмонией, являющейся частым осложнением кори, и корь уже не считается смертельным заболеванием. Пневмония, туберкулез, гастрит и дифтерия, которые в 1900-х годах занимали верхние строчки в списке наиболее опасных заболеваний, сегодня не входят в этот список. Благодаря антибиотикам отдельные случаи таких инфекционных заболеваний, как бубонная чума, холера, сыпной тиф и сибирская язва, больше не вызывают эпидемий. Теперь общественность обеспокоена возможностью распространения бактериальных инфекций в результате деятельности террористов. Однако имеющийся в нашем распоряжении арсенал антимикробных препаратов скорее всего позволит избежать этой опасности.

Более серьезное беспокойство вызывает другая форма биотерроризма, связанная с поведением самих бактерий, которые адаптируются к широкому и подчас избыточному использованию антибиотиков. Получают распространение некоторые смертельно опасные штаммы обычных бактерий. Однако по мере накопления знаний о биохимии бактерий (и самого человека) появляется возможность создания новых антибиотиков, направленно воздействующих на специфические реакции в метаболизме бактерий. Знание химической структуры веществ и механизмов их взаимодействия с живыми клетками является основополагающим элементом в нашей бесконечной борьбе с опасными бактериями.

Глава 11

Противозачаточные средства

К середине XX века антибиотики и антисептики получили широкое распространение и позволили в значительной степени понизить уровень смертности, особенно среди женщин и детей. Больше не нужно производить на свет многочисленное потомство только затем, чтобы хотя бы некоторые дети дожили до зрелого возраста. Как только уменьшилась детская смертность от инфекционных заболеваний, возникла необходимость контролировать рождаемость. В 60-х годах появилось противозачаточное средство, которое радикально изменило общество.

Мы говорим, конечно, о норэтиндроне — первом представителе противозачаточных препаратов, обычно называемых “пилюлями”. В заслугу этой молекуле (или в вину — это зависит от точки зрения) ставили сексуальную революцию 60-х годов, расширение прав женщин, успех феминизма, увеличение занятости среди женщин и даже крушение семейных устоев. Несмотря на разногласия в мнениях относительно достоинств и недостатков этого вещества, нельзя не согласиться с тем, что оно сыграло весьма важную роль.

Борьба за легальный доступ к информации и средствам контроля над рождаемостью, которую в начале XX века вели такие отчаянные реформаторы, как Маргарет Сэнгер (18791966) из США и Мэри Стоупс (1880–1958) из Великобритании, теперь осталась лишь давним воспоминанием. Современной молодежи трудно поверить в то, что в начале XX века во многих странах само стремление получить информацию о возможностях предотвращения беременности могло считаться преступлением. Однако совершенно очевидно, что средства контрацепции были необходимы: высокий уровень детской смертности и смертности женщин при родах в среде бедноты часто коррелировал с наличием большого количества детей в семье. Семьи, принадлежавшие к среднему классу, уже пользовались средствами контрацепции, но семьи рабочих не имели доступа к такой информации. Многодетные матери, в очередной раз оказавшиеся на сносях, писали отчаянные письма пропагандистам контрацепции. К 30-м годам общественность постепенно стала признавать необходимость контроля рождаемости; возник термин “планирование семьи”. Врачи стали прописывать противозачаточные средства. В некоторых странах были смягчены законы. Даже там, где запрет на пользование средствами контрацепции не был снят, преследовать за нарушения такого рода стали реже.

Поделиться с друзьями: