Решаем уравнения

ЖАНРЫ

Поделиться с друзьями:
Шрифт:

Линейные уравнения

В этой небольшой книжке будет рассматриваться решение алгебраических уравнений с одной и двумя переменными. Для начала займемся линейными уравнениями. Вы скорее всего в курсе, что общий вид таких уравнений это

,
где
и
– некоторые числа, а
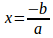
– неизвестное, которое требуется найти. Линейное уравнение это всегда уравнение первой степени и поэтому у него всегда может быть только один корень. Формула для вычисления корня имеет следующий вид:

Давайте на примере посмотрим как решаются такие уравнения.

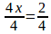
Решим уравнение

. Подставив соответствующие числа в формулу получим:

После сокращения имеем

. Сделаем проверку:

Этот же результат можно получить и без всяких формул. Просто перенесем слагаемое -2 в левую часть с переменой знака:

. А теперь разделим обе части на 4:

В

итоге после сокращения обеих частей получим
.

Далее пример с подобными слагаемыми. Решим уравнение:

.

Уравнение выглядит совсем не так как предписывает формула общего вида, поэтому мы его к этому виду сейчас приведем. Для этого сгруппируем слагаемые так чтобы в левой части были слагаемые с иксом, а в правой без икса. Перенос слагаемых нужно делать с переменой знака на противоположный. Не забывайте это! В итоге наше уравнение должно принять такой вид:

Сложив все получим:

, откуда легко вывести, что
.

Дальше предлагаю решить задачу на составление уравнений. Итак, старая задачка про стаю гусей:

Летела стая гусей, а навстречу им летит один гусь и говорит: "Здравствуйте, сто гусей!" "Нас не сто гусей,– отвечает ему вожак стаи,– если бы нас было столько, сколько теперь, да еще столько, да еще пол столько, да еще четверть столько, да еще ты, гусь, был бы с нами, вот тогда нас было бы сто гусей". Сколько было в стае гусей?

Возьмем за икс неизвестное число гусей. Вожак говорит, что если бы «было столько, сколько теперь», то есть икс, «да еще столько», то есть еще икс, и «еще пол столько», то есть половина икса, и плюс «еще четверть столько», иначе говоря плюс четвертая часть икса и вдобавок встреченный гусь, тогда получим сотню. Записав все это на языке алгебры получим:

Конец ознакомительного фрагмента.

Книги из серии:

Без серии

[5.0 рейтинг книги]
[5.0 рейтинг книги]
[5.0 рейтинг книги]
[5.0 рейтинг книги]
[5.0 рейтинг книги]
[5.0 рейтинг книги]
[5.0 рейтинг книги]
[5.0 рейтинг книги]
Комментарии: