Чтение онлайн

ЖАНРЫ

Шанхайская головоломка
Шрифт:

Двенадцатого апреля прошлого года в пять часов пополудни в районе Хункоу, в съемной квартире на улице Дунбаосин была убита офисная сотрудница по фамилии Чэнь. В ходе полицейского расследования обнаружилось, что у потерпевшей было перерезано горло. Тело жертвы было обнажено, в верхней части туловища имелось двадцать ножевых ран. Это дело привлекло внимание полиции Хункоу, для проведения расследования была создана следственная группа, однако из-за нехватки улик и большого количества людей, бывавших на съемной квартире, в ходе расследования возникли трудности, и оно зашло в тупик. В том же году двадцатого августа в районе Путо, на улице Цао’ань был найден труп девушки с

перерезанным горлом. В верхней части тела было обнаружено тридцать шесть колото-резаных ран.

После судебно-медицинской экспертизы выяснилось, что способ убийства в обоих случаях совпадает. Идентичные преступления вызвали панику у городского населения. В СМИ убийцу окрестили «Новым Потрошителем», посвятив ему значительную часть материалов. По состоянию на пятнадцатое апреля текущего года было убито десять женщин, а убийца все еще оставался на свободе.

После этого Управление общественной безопасности Шанхая опубликовало публичный отчет о расследовании серии убийств, в котором гражданам была обещана награда в размере двухсот тысяч юаней за нахождение и предоставление любых зацепок, связанных с личностью преступника, чтобы как можно быстрее раскрыть дело. Внезапно, совсем на днях, преступление, не дававшее покоя полиции уже долгое время, было раскрыто: убийцей оказался рядовой сотрудник некой фирмы. После его ареста соседи и коллеги виновного в один голос утверждали, что не могут в это поверить; в глазах людей он был порядочным и добрым человеком. Никто и думать не мог, что имеет дело с настоящим маньяком.

Дочитав отчет, я с радостью сказал Чэнь Цзюэ:

– Вот ведь как! В Китае убийцу обязательно поймают. Хотел обмануть опытных полицейских из уголовного розыска? Пустое это дело!

Внезапно Чэнь Цзюэ не согласился со мной:

– Методы уголовной полиции примитивны, к тому же в них нет упора на логику. Там больше предпочитают опираться на схожие дела. Конечно, опытный полицейский часто способен раскусить преступника сразу, однако и он не застрахован от промаха. Если же брать за основу научный метод, то вероятность совершить ошибку снижается во много раз.

– Но ты не можешь отрицать, что у них получилось! – Я передал газету Чэнь Цзюэ. – Они нашли в доме убийцы кучу улик. Вдобавок преступник самолично признался в злодеяниях.

Чэнь Цзюэ взял газету с холодной усмешкой:

– Я раскрыл это дело.

– Что?! – Я подумал, он шутит.

– Говорю, я раскрыл это дело. На прошлой неделе ко мне обратился капитан городского управления уголовного розыска Сун Босюн и предложил мне поучаствовать в совещании. И я поделился с ними кое-какими замечаниями.

Чэнь Цзюэ опустил голову и принялся за еду, будто говорил о совершенно рядовых вещах.

– Я знаю, что ты умен, но это чересчур странно, не находишь? Зачем они пригласили тебя на встречу?

– Спроси их. Когда мне позвонил капитан Сун, он сказал: мол, профессор, нам крайне необходима ваша помощь. Как бы то ни было, мне тогда было нечем заняться, и поэтому я поехал к ним. В общем, получил я обещанное вознаграждение, на первое время хватит.

Было не похоже на то, что Чэнь Цзюэ лжет. Или же его актерская игра исключительно хороша?

– Профессор?.. Ты что, профессор?

– И да, и нет. – Он взял со стола бокал красного вина и сделал глоток.

– Как такое может быть, что ты раскрыл дело? Какие советы ты им дал?

Я всю жизнь не мог терпеть лжецов, и, несмотря на то что мы с Чэнь Цзюэ слишком мало общались, мне и в голову не могло прийти, чтобы он вдруг оказался пустомелей. Да как вообще служба уголовного розыска допустила простого смертного до расследования

убийства? Мы же не в детективном романе!

Поэтому я намеревался расспрашивать его о мельчайших подробностях до тех пор, пока он не признается в том, что подшутил надо мной.

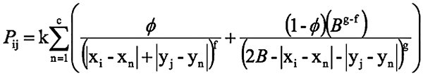
Видя мой серьезный настрой, Чэнь Цзюэ отложил столовые приборы. Поднявшись, он подошел к доске и написал на ней сложную формулу:

– Что это?

– Формула Россмо. Математическая модель анализа преступления, – пояснил Чэнь Цзюэ. – Надо лишь внести несколько детализированных параметров, и тогда мы сразу вычислим местонахождение преступника.

– Как же…

Не обращая внимания на мою реакцию, Чэнь Цзюэ продолжил объяснять:

– Если ты при наличии конкретных материальных условий прибегнешь к математике, нужно лишь правильно провести расчеты, и тогда математика приведет тебя к верному ответу. Серийный убийца всегда выбирает подходящую, по его мнению, точку для совершения преступления, пытаясь скрыть место своего пребывания. Тем не менее эта формула способна выявить всю подноготную и с высокой вероятностью определить пристанище убийцы, превращая поиск иголки на дне морском в поиск иголки на дне чашки. Хань Цзинь, если тебе интересно, я с радостью объясню тебе принцип расчета формулы Россмо.

Я замахал рукой в знак отказа:

– Не стоит, я гуманитарий. Так с помощью этой формулы ты вычислил адрес убийцы?

Чэнь Цзюэ кивнул:

– Это очень важная составляющая. Нужно только логически обосновать данную формулу, и тогда она поможет полиции провести расследование более гладко. Фактически раскрытие дела об убийстве и решение сложной математической задачи – одно и то же. Тебе известны условия и неизвестен ответ. При точных условиях и тщательной проверке решения ты всегда найдешь его.

Этот случай поразил меня. Не суди по одежке: думаешь, что перед тобой не более чем томный красавчик, а потом с удивлением узнаешь, что он особый консультант городского управления уголовного розыска… С тех пор мой интерес к личности Чэнь Цзюэ только возрастал. Когда выпадала свободная минутка, я приносил две чашки кофе и болтал с ним в гостиной. Таким образом я узнал немало о его прошлом.

Его жизнь напоминала роман, и если б я собственными ушами все не услышал, то подумал бы, что это небылица.

Чэнь Цзюэ не горел желанием сообщить мне имя своего отца. О матери он тоже особо не упоминал. Я лишь узнал, что ее фамилия Юань и что она работала в музыкальной сфере. Благодаря тому, что Чэнь Цзюэ сызмальства был одаренным математиком, поступив в начальную школу, он тут же перескочил через два класса, а в 1999 году стал золотым медалистом международной математической олимпиады. В конечном счете оказалось, что школьная программа никак не поспевает за его развитием, и после окончания средней школы он принял решение бросить учебу и самостоятельно заниматься математикой. В шестнадцать лет его статью о континуум-гипотезе опубликовали в «Журнале символической логики». Это привлекло внимание математического научного сообщества, и Чэнь Цзюэ был зачислен на математический факультет Пристонского университета. В две тысячи четвертом он получил степень бакалавра, в две тысячи пятом – магистра, в две тысячи девятом стал доктором наук, а в две тысячи одиннадцатом принял приглашение Калифорнийского университета в Лос-Анджелесе стать помощником профессора со специализацией по аналитической теории чисел.

Поделиться с друзьями: