Чтение онлайн

ЖАНРЫ

Шрифт:

Ковалевская написала Миттаг-Леффлеру, что, читая письмо Кронекера, она не могла удержаться от дикого смеха. «Нельзя представить себе что-либо настолько идеально-комическое, как это письмо Кронекера. Начиная с его отказа дать рекомендательное письмо к врачу... для бедной Сигне, к которой г-жа Кронекер внешне проявляет столько симпатии, и кончая угрозой пожаловаться нашему бедному королю и изложить ему действительное положение математики,— все настолько превосходно, что это письмо поистине шедевр в своем роде» 5*

247

Кронекер скоро понял, что он «пересолил», и стал писать Миттаг-Леффлеру примирительные письма.

Ковалевская лишь посмеялась над причудами Кроне- кера; Миттаг-Леффлер сердился на него и говорил Софье Васильевне, что, несмотря на большое уважение к Кроне-

керу как одному из своих учителей он считает, что должен бороться с вредным влиянием Кронекера на математику. Трагично обстояло дело с Вейерштрасеом и Кантором.

Кронекер с некоторого времени стал громко выступать против основных понятий современной математики: природа вещественных чисел была исследована трудами Больцано и Вейерштрасса, а в последнее зрг?мя —• Кантора. Кронекер восставал против этих работ, заявляя, что в математике все должно быть построено лишь на понятии целых чисел, и обещал— сам или с помощью своих учеников — «арифметизировать» математику, исключив из нее «неконструктивные понятия» [255, с. 40]. Идеи Кронекера не получили признания. Однако он не ограничивался критикой, а выступал с личными нападками на математиков, чьи идеи он не одобрял. Вейерштрасс тяжело переносил эти выпады и хотел даже уйти на пенсию и уехать из Бер- лийа. Про Кантора же Констанс Рид говорит так: «Легко возбудимый, чувствительный Кантор из-за нападок Кронекера на теорию множеств был полностью сломлен духовно и должен был искать убежище в психиатрической лечебнице» (Там же).

Вейерштрасс не покинул Берлина. О Кронекере он писал Ковалевской: «Я глубоко сожалею, что такой духовно одаренный человек, с такими неоспоримыми научными заслугами вместе с тем настолько мелочно тщеславен и завистлив» [125, с. 267].

Письма Г. Кантора Миттаг-Леффлеру полны жалоб па Кронекера [256].

О письмах Георга Кантора Ковалевской, связанных с юбилеем Вейерштрасса, мы уже говорили. Приведем здесь выдержки из его замечательного письма Ковалевской от 7 декабря 1884 г., в котором он, сообщив, что послал Миттаг-Леффлеру для «Acta mathematica» свои «Принципы» (не опубликованные), говорит об их содержании: «В первых параграфах речь идет лишь о типах просто упорядоченных множеств; но подобным же образом существуют и типы двукратно, трехкратно, и ^-кратно, даже со-крат- но и т. д. упорядоченных множеств, благодаря которым, по-

248

видимому, проливается много света на старые и новые вопросы арифметики и космологии» [125, с. 123].

Здесь интересна, но не ясна мысль Кантора о возмож- ности применения его теории к космологии. Дальше он в восторженном тоне пишет о философском значении созданной им теории типов бесконечных множеств: «Если уже конечные типы имеют невыразимую прелесть для всякого, кто способен к восприятию законов вечных истин,— а отсюда и произошла теория чисел,— то еще более высокую ступень в удовлетворении этого научного интереса представляют типы бесконечных множеств» (Там же).

Гильберт сказал о созданной Георгом Кантором теории множеств: «Я считаю, что она представляет собой высочайшее проявление математического гения, а также одно из самых высоких достижений чисто духовной деятельности человека» [265, с. 228].

К первому году работы С. В. Ковалевской в Стокгольме относится ее оживленная переписка с молодым немецким математиком Карлом Рунге. Имя Карла Рунге известно всем занимающимся приближенными вычислениями (способ Рунге-Кутта интегрирования дифференциальных уравнений) . В начале своей научной деятельности оь занимался теорией аналитических функций, в частности функций с существенно особыми точками.

Познакомилась Ковалевская с Рунге в Берлине в 1883 г., где он слушал лекции Вейерштрасса и Кронекера. Летом этого года Рунге писал своей матери из Берлина в Бремен, откуда он был родом, восторженное письмо о Софье Васильевне:

В субботу мы провели у нее очень интересный вечер. Общество состояло из г-жи Ковалевской и четырех молодых математиков, и разговор проходил, как обычно среди нас. Ей около 30 лет, у нее тонкое, думающее, немного грустное лицо, прелестное, когда она улыбается. Мне было странно с дамой вести беседу о математике и иметь возможность беседовать с полной свободой. Она вполне на высоте предмета. Это я в особенности заметил, когда она спросила меня о моих работах, по отличным вопросам, которые

она предлагала. Перед тем я представлял себе ее остроносой, старообразной, очкастой и был изумлен, найдя, что научное образование может соединиться с совершенной женственностью [133, с. 43].

По словам Ирис Рунге, ее отец в те годы, о которых идет речь, был красивым, веселым молодым человеком и любил кататься на коньках. Писательница Маргарита фон Бюлов просила его разрешения изобразить его в рассказе «Адонис на коньках», придав ему, однако, плохой характер, что не соответствовало действительности.

249

Софья Васильевна делала сообщения группе молодых берлинских математиков по теории абелевых функций, и в числе ее слушателей были Рунге и Селиванов.

Первое из имеющихся писем, от 28 января 1884 г., состоит из двух частей: 1) совместного с Селивановым письма, написанного последним по-немецки, содержание которого мы уже привели, и 2) письма самого К. Рунге.

Рунге рассматривает ряд математических вопросов. Начинается письмо так: «Уважаемая фрау. Я ;уже давно собираюсь написать Вам. Я часто вспоминаю наше совместное пребывание летом, и хотелось бы, чтобы Вы были здесь, чтобы мы имели возможность сообщать друг другу что-либо интересное. В письменной форме это у меня плохо получается. Ваше письмо к Селиванову от 12 декабря я прочитал с интересом. Оба примера очень хороши. До сих пор я об этом никогда не думал» [Р 1]. Рунге не согласен только с одним пунктом в рассуждениях Ковалевской — речь идет

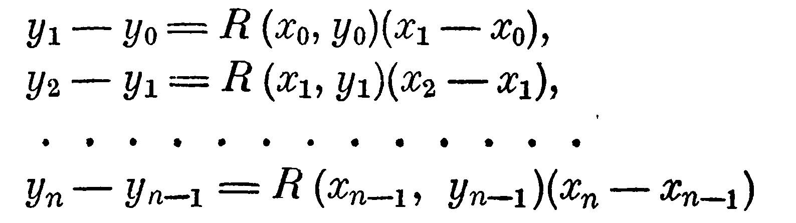
На примерах он высказывает свои соображения. Далее он спрашивает, знакома ли Ковалевская с доказательством существования решения дифференциального уравнения, восходящим как будто к Коши. Пусть дано уравнение

dy/dx=R(x, у),

ищется его решение при условии, что г/=7/0 при х=х0.

Рунге делит промежуток (х0, х) точками х0, хи ... х2, ... на части и составляет равенства

вует для достаточно малых значений хп — хп_! и представляет функцию от Xj у, которая удовлетворяет дифферев-

250

циальному уравнению при условии, что R (х, у) непрерывна вблизи (х0, у о,) и имеет первые производные. Это доказательство применимо и для неаналитических функций R(x,y), применимо и в более общих случаях [Р 1]. Рунге добавляет, что у него возникают и соображения о возможности практического вычисления интеграла.

О себе К. Рунге, вероятно, еще имевший мало опыта в преподавании, пишет следующее: «Я не очень доволен своими лекциями. Я ясно чувствую несовершенство моего изложения и иногда жалею своих слушателей. А также мне хотелось быть в более тесном общении со своей аудиторией, так как часто я совершенно не знаю, успевают ли мои слушатели следить за мной или пет, где желателен более подробный разбор и где я могу быть более кратким. А в общем я делаю доклады с большой охотой. Многое стало теперь для меня впервые ясным» [Р 1].

Далее он выражает радость по поводу обещанного приезда Софьи Васильевны в Берлин на пасхальные каникулы и просит ее прислать им то, что написали о Софье Ковалевской шведские газеты. «Мы уж поймем шведский язык»,—говорит он и добавляет: «Мы не покажем этого Кронекеру»[Р 2].

Второе письмо К. Рунге, от 11 февраля 1884 г., целиком посвящено подробному доказательству теоремы существования (тем же методом, что и в первом письме) для системы

Софья Васильевна написала Рунге 18 февраля и поставила перед ним несколько вопросов. В своем письме от 10 марта Рунге говорит о теореме существования для системы, в которой ?v (xi, х2, ..., X») аналитическая функция комплексных переменных. Заканчивает он письмо словами о том, что ему еще надо ответить ей на ряд вопросов, и в свою очередь спрашивает у нее: «Что это за теорема об истинном (wahre) радиусе сходимости дифференциального уравнения?». Его интересуют также исследования Ковалевской о потенциальных функциях [Р 3],—возможно, что речь идет о работе [9].

Поделиться с друзьями: