Создатель и его окрестности

ЖАНРЫ

Поделиться с друзьями:
Шрифт:

Предисловие

Поводом для написания этой книги послужило то, что мне нужны были новые идеи, когда я стал писать следующую книгу из фантастической серии «Коты-Хранители». В предыдущей книге, «Евангелие от рыжего кота», описывались события, происходящие в Райской обители и Аде, а в следующей, «Чужие отражения чужих тел», хотелось взять более всеобъемлющую тему о происхождении жизни и нашей Вселенной.

«Если бы Бога не существовало, его следовало бы выдумать», — сказал две тысячи лет назад римский философ и политик Марк Тулий Цицерон. Согласитесь, что такая мысль невольно приходит в голову всякому, кто более пристально всматривается в окружающий

мир, который, словно по заказу, сделан удобным для существования нашей жизни.

До последнего времени я был воинствующим атеистом, но меня всегда волновала парадоксальность окружающего мира. Мысли о том, кто и как сотворил этот чудесный мир, так идеально подогнанный для существования живого, возникали не только у меня, а были присущие человеку с древнейших времён. Рассуждения многих человеческих поколений остались в племенных преданиях и различных религиозных трактатах, передаваемых устно, пока не появилась письменность. Человек всегда чувствовал, что та действительность, которую он наблюдал вокруг себя, не совсем так проста, как кажется, и ему всегда хотелось постичь её глубинную сущность.

Платон утверждал, что бытие присуще не людям, а только абсолютным сущностям, эйдосам, существующим вне пространства и времени. Платон разделял тело и душу человека, определяя первое, как временное жилище для души, а второе — существующее в эйдосе вечно. Платон ввёл понятие диалектики в познании человеком всеобщей сущности.

Карл Густав Юнг считал, что человек, кроме своих индивидуальных намерений, управляется коллективным бессознательным феноменом, имеющим чёткие критерии и называемый им архетипом. Он соотносил эти архетипы с прошедшим опытом, который отражался в генах человека и передавался по наследству.

Следует сказать, что ещё раньше, до Платона и Юнга, в восточных религиях всегда существовал образ вездесущего бога, частью которого являлась «душа» человека. Индийские религии, в согласии со священными писаниями Веды, имели множество богов, среди которых главные Брахман, Вишну и Шива, создавшие Вселенную. Индуизм предполагает множественное переселение души человека, чтобы он осознать своё истинное «Я», которым является вечная душа, а не бренное материальное тело. Всё бытие заключено в едином и неделимом Брахмане, а бессмертная душа человека всего лишь его частичка, которая, осознав себя, растворяется в безбрежном божественном блаженстве.

В буддизм индивидуальная душа превращается в карму, которая передаётся родившемуся человеку. На двадцати шести небесах над землёй обитаю тысячи богов, а на последних нескольких небесах блаженные, достигшие нирваны. Будда не является творцом мира, который существует рядом с ним и так же вечен, как Будда.

В христианстве Бог сотворил мир и создал человека, вдохнув в него душу. Душа вечная и после смерти тела праведники станут блаженствовать в Раю, а грешники будут гореть в Аду, испытывая вечные муки.

В исламе принято строгое единобожие. Бог по имени Аллах посредством ангела-мукаррабуна Джибриля передал пророку Мухаммеду Коран — священное писание для мусульман. В Коране описаны законы и ритуалы, которые должны соблюдать верующие в Аллаха. Жизнь каждого человека предопределена и после смерти ему уже уготовано место в Раю или в Аду.

Оставим остальные религии в покое и обратимся к тому, что говорит нынешняя наука. После некоторого периода отрицания божественного начала в создании Вселенной и торжества научной мысли, учёные упёрлись в неразрешимые противоречия интерпретации результатов научных опытов. Учёным пришлось придумывать вереницу теорий всего, чтобы свести концы расходящихся результатов исследований. Из последних стоит назвать теорию относительности

Эйнштейна и квантовую механику, дополняющую её. За ней последовала теория струн, предполагающая наличие колеблющихся мельчайших струн, и требующая 11 измерений. Несколько переработанная теория струн превратилась в теорию мембран. К этим теориям всего добавилась петлевая квантовая гравитация, а аргентинский физик-теоретик Хуан Малдасена предположил, что наша Вселенная является всего лишь голограммой.

Наконец, Джеймс Гарднер из Портланда создал теорию эгоистического биокосмоса, утверждая, что Вселенную строит разумная жизнь. Ему вторит учёный-биолог Роберт Ланца, сообщая о своей биоцентрической теории всего сущего. Он утверждает, что мира не существует, если на него не смотрит человек, так как мир находится в вероятностном бесформенном состоянии.

В сущности, все эти теории определяют место человека во Вселенной. Целесообразность существования жизни и человека всегда было краеугольным вопросом философии. Эта целесообразность может появиться только в том случае, если предположить разумное начало в создании Вселенной и существовании жизни. Иначе и Вселенная, и жизнь — бесполезный случайный парадокс, не имеющий ровно никакого значения.

Я сразу хочу добавить, что искал не бога, а того, кто мог создать Вселенную, а также философскую концепцию непременного возникновения жизни. Антиномичность любых утверждений, в том числе и моих, позволяет доказывать обратное сказанному, а истина откроется тогда, когда человек достигнет уровня понимания Создателя Вселенной. В любом случае до тех пор, пока существует Вселенная, человечеству следует её изучать, так как эти знания останутся доступными для Создателя. Я думаю, что их он использует, когда создаст Нового Создателя и Новую Вселенную.

Создание Вселенной и Создатель

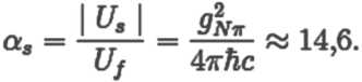
Внимательно рассмотрим нашу Вселенную. Она обладает такими атрибутами, как пространство и время. Для наблюдателя, находящегося вне пространства и времени, Вселенная выглядит как готовый продукт от начала своего возникновения до конца существования. Наша Вселенная могла возникнуть только при определённых параметрах, изменение которых привело бы к созданию совершенно другой Вселенной, не аналогичной нашей. Возьмём, к примеру, константу сильного ядерного взаимодействия:

Где:

9N — константа псевдоскалярного пионнуклонного взаимодействия

h — постоянная Дирака, вычисляется, как постоянная Планка, делённая на 2

c — скорость света в вакууме

Если бы безразмерная константа стала больше, то отсутствовал бы водород, так как его ядро стало бы неустойчивым. Если бы безразмерная константа стала меньше, то во Вселенной существовал бы только водород.

Мы видим, что малейшие изменение условий при возникновении Вселённой ведет к тому, что она становится совершенно другой и не обязательно в ней может возникнуть жизнь. Представим себе, что создание Вселенной произошло случайно и без всякого влияния божественных сил. Для этого, как я описал выше, нужны определённые условия. Тогда «случайность» должна подразумевать перебор всех вариантов Вселенных, чтобы и наша Вселенная вписалась в «случайность». Такая ситуация возникнет, если предположить, что все возможные Вселенные родились одновременно, а «случайность» сотворила их, перебирая все варианты. Тогда сотворение всех Вселенных носит вероятностный характер.

Книги из серии:

Без серии

[5.0 рейтинг книги]
[5.8 рейтинг книги]
[5.0 рейтинг книги]
[6.2 рейтинг книги]
[5.0 рейтинг книги]
[6.2 рейтинг книги]
Комментарии: