Чтение онлайн

ЖАНРЫ

Творчество: наука, искусство, жизнь. Материалы Всероссийской научной конференции, посвященной 95-летию со дня рождения Я. А. Пономарева, ИП РАН, 24-25 сентября 2015 г.
Шрифт:

И. Ю. Владимиров [35] , О. В. Павлищак [36]

Инсайтное решение как результат преодоления фиксированности [37]

Многие задачи, с которыми сталкивается человек в своей повседневной жизни, требуют творческого подхода. В отличие от привычных стереотипных ситуаций, которые человек имеет тенденцию решать при помощи алгоритма, для решения творческих задач он должен выйти за рамки наиболее очевидных или характерных подходов к решению, рассмотреть широкий круг более отдаленных возможностей или альтернативных представлений (Пономарев, 1976). Такой «выход за пределы», инсайт, уже почти столетие как остается одной из основных загадок психологии мышления.

35

Институт

общественных наук Российской академии народного хозяйства и государственной службы при президенте Российской федерации (Москва) kein17@mail.ru

36

Ярославский государственный университет им. П. Г. Демидова (Ярославль)

37

Работа выполнена при поддержке фонда Михаила Прохорова (Карамзинские стипендии – 2015).

Во многих работах, посвященных проблеме инсайтного решения, встречается указание на то, что одним из механизмов инсайта можно считать преодоление фиксированности. Будь то фиксированность на схеме решения или на структуре поля задачи, или на средствах, предоставляемых в ее условии (Андерсон, 2001; Дункер, 1965; Ollinger, Jones, Knoblich, 2008; и мн. др.).

В работах М. Олингера, Г. Джонса и Г. Кноблиха (Ollinger, Jones, Knoblich, 2008) речь идет об одном из путей возникновения фиксированности – о механизме серии (mental set). Х. Хелсон в своих работах указывает на то, что в качестве серии могут рассматриваться как пробы непосредственно предшествующие контрольной – короткие серии, так и последовательность проб, имеющая место на протяжении длительного промежутка времени – длинные серии (Helson, Nash, 1960). Механизм серии увеличивает вероятность отбора определенной стратегии решения, потому что это неоднократно имело успех в непосредственном прошлом (короткие серии по Х. Хелсону). Предварительные знания касаются изначальной вероятности процедуры отбора, и, таким образом, независимы от эффекта сета (длинные серии по Х. Хелсону).

Несмотря на очевидность связи инсайта и фиксированности, систематизированных исследований этих двух феноменов в паре практически нет. Х. Г. Бирч и Х. С. Рабинович были фактически единственными авторами, которые исследовали mental set и инсайт вместе. Они пришли к заключению, что предварительные знания под влиянием контекста задачи могут стать установкой к определенной деятельности (Birch, Rabinowitz, 1951). Следует также отметить, что краткосрочная фиксированность может возникать не только в результате серии предварительных решений (mental set), но и в результате однократного предшествования события (prime) (Фаликман, Койфман, 2005).

Сложность преодоления фиксированности заключается в том, что созданный ей алгоритм плохо осознается и слабо произвольно контролируется. Инсайтное решение же может являться переходом на интуитивный уровень функционирования и представляет собой разрушение механизмов сознательного контроля, что было показано нами в предыдущих исследованиях (Владимиров, Ченяков, 2012; Коровкин, Владимиров, Савинова, 2012).

Идея нашего эксперимента состояла в создании кратковременной фиксированности. Основная цель – поиск ответа на вопрос, может ли являться преодоление такой фиксированности механизмом инсайта. В рамках эксперимента была выбрана задача, имеющая два качественно разных решения. К каждому из этих решений была разработана своя серия-подводка, прохождение которой делает данные решения потенциально алгоритмизированными. После такого решения задачи (алгоритмизированным способом) испытуемому предлагается найти качественно другое решение, которое должно было быть потенциально инсайтным. В качестве критерия типа решения (инсайтное/алгоритмизируемое) нами использовались объективные критерии инсайта: время (инсайтные задачи решаются чаще всего дольше) и данные мониторинга динамики мыслительных процессов. В качестве монитора параллельно с решением основной задачи испытуемым предлагалось выполнение задания-зонда. Данным способом, были показаны различия в протекании решения инсайтных и алгоритмизируемых задач (Коровкин, Владимиров, Савинова, 2012).

Таким образом, названные нами «потенциально инсайтными» решения требовали от испытуемых значимо больших временных затрат, нежели решения, названные нами алгоритмизируемыми (U=100; p<0,001). А значит подобранные нами демонстрационные задачи установочных серий действительно создают эффект короткой серии на решении, на которое осуществляется

наводка.

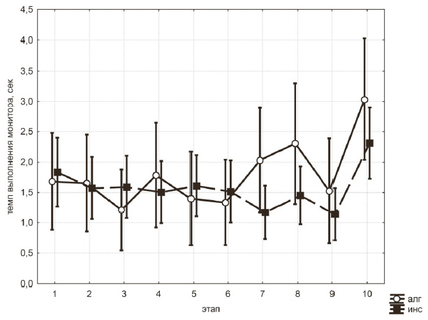
Результаты мониторинга также показывают, что эффект серии действительно создает эффект кратковременной фиксированности (рисунок 1). Структура данных в нем воспроизводит структуру характерную для загрузки рабочей памяти при решении инсайтных и алгоритмизируемых задач.

Рис. 1. Динамика загрузки рабочей памяти при решении алгоритмизируемой и инсайтной задачи

В нашем исследовании мы смогли добиться возникновения эффекта короткой серии, с помощью чего добились того, что одна и та же задача решалась то как алгоритмизируемая, то как инсайтная, причем инсайтно задача решается тогда, когда формируется фиксированность на ином, отличном от требуемого способе ее решения. Данные результаты подтверждают выдвинутую нами гипотезу о том, что преодоление фиксированности может быть одним из механизмов инсайтного решения задачи.

Для раскрытия полной картины преодоления фиксированности как механизма инсайтного решения необходимо получить данные и об обратном процессе: превращении рутинного (алгоритмического) решения в решение инсайтное, что может быть достигнуто разрушением фиксированности, сформированной в результате длинной серии. Это, а также использование в качестве маркеров инсайтности решения дополнительных субъективных и объективных критериев: самооценка степени неожиданности решения, поведенческие и мимические паттерны и данные айтрекинга являются на наш взгляд основными близкими перспективами исследования преодоления фиксированности как механизма инсайтного решения.

* * *

Андерсон Дж. Когнитивная психология. 5-е изд. СПб.: Питер, 2002.

Владимиров И. Ю., Коровкин С. Ю. Рабочая память как система, обслуживающая мыслительный процесс // Когнитивная психология: Феномены и проблемы. М.: ЛЕНАНД, 2014. С. 8–21.

Владимиров И. Ю., Ченяков Г. С. Роль рабочей памяти в снятии эффекта фиксированности в результате короткой серии при решении задач // Экспериментальный метод в структуре психологического знания / Отв. ред. В. А. Барабанщиков. М.: Изд-во «Институт психологии РАН», 2012. С. 218–223.

Дункер К. Психология продуктивного (творческого) мышления // Психология мышления. М.: Прогресс, 1965. С.86–234.

Коровкин С. Ю., Владимиров И. Ю., Савинова А. Д. Задание-зонд как монитор динамики мыслительных процессов // Экспериментальный метод в структуре психологического знания / Отв. ред. В. А. Барабанщиков. М.: Изд-во «Институт психологии РАН», 2012. С. 255–259.

Пономарев Я. А. Психология творчества. М.: Наука, 1976.

Фаликман М. В., Койфман А. Я. Виды прайминга в исследованиях восприятия и перцептивного внимания. Часть 1 // Вестник Московского университета, 2005. Сер. 14. Психология. № 3. С. 86–97.

Birch H. G., Rabinowitz H. S. The negative effect of previous experience on productive thinking. Journal of Experimental Psychology, 1951. V. 41. P. 121–125.

Helson H., Nash M. C. Anchor, contrast and paradoxical distance effects // Journal of experimental psychology, 1960, V. 59. P. 113–121.

Knoblich G., Ohlsson S., Haider H., Rhenius D. Constraint relaxation and chunk decomposition in insight problem solving // Journal of Experimental Psychology: Learning, Memory, and Cognition, 1999. V. 25. P. 1534–1555.

Knoblich G., Ohlsson S., Raney G. E. An eye movement study of insight problem solving // Memory & Cognition, 2001. V. 29. № 7. P. 1000–1009.

"Ollinger M., Jones G., Knoblich G., Investigating the effect of mental set on insight problem solving // Journal of Experimental Psychology. 2008. V. 4. P. 269–282.

Е. В. Воробьева [38] , Л. Б. Талалаева [39] , Н. В. Самойлова [40]

Вербальная креативность и ценностные ориентации старших школьников, обучающихся в детских объединениях учреждения дополнительного образования детей

38

evorob@sfedu.ru

39

Южный федеральный университет

40

Южный федеральный университет

Поделиться с друзьями: