Чтение онлайн

ЖАНРЫ

В поисках похищенной марки
Шрифт:

— Ишь ты, сколько интересного мы сегодня узнали, — сказал Нулик, загибая пальцы, — октава, квинта, кварта…

— Попробуем узнать и ещё кое-что. Вычислим, во сколько раз октава больше кварты.

— Вычислим, — повторил Нулик. — Вычтем из двух…

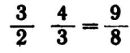
— Нет, — остановил я его, — тут надо сделать другое. Надо найти, во сколько раз отношение 2:1 больше отношения 4:3.

— Ну это просто. Надо разделить 2/1 на 4/3:

А

это все равно, что 3/2

— А что такое три вторых?

Нулик растерянно молчал.

— Подумай. Ведь мы об этом только что говорили!

— Ой! — просиял президент. — Как же я забыл! Ведь это квинта! Квинта, которая получается, когда струну делят в отношении 3:2.

— Верно, — сказал я. — Но что из этого следует?

— Из этого следует, — догадался Олег, — что октава состоит из квинты и кварты.

Нулик завистливо вздохнул.

— Удивительный человек Пифагор! Какие названия выдумал — квинта, кварта…

— Ну, положим, названия эти появились гораздо позже.

— Когда?

— Много будешь знать — скоро состаришься. Раз ты такой любопытный, попытайся лучше выяснить, во сколько раз квинта больше кварты.

Президент засучил рукава.

— С удовольствием! — И написал на клочке бумаги:

Верно?

— Верно. Заодно не мешает сказать, что интервал, равный девяти восьмым, условились считать за один музыкальный тон.

На сей раз Нулика моё сообщение совершенно не обрадовало.

— Квинты, кварты! — проворчал он, пожимая плечами. — А где же всё-таки среднее гармоническое?

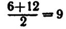
— К нему-то мы и подошли. Дело в том, что, кроме чисел 1, 2, 3 и 4, Пифагору приглянулась ещё одна четвёрка чисел: 6, 8, 9 и 12. Они полюбились ему уже хотя бы потому, что отношение 12:6 равно отношению 2:1 и даёт октаву; отношение 12:8 равно отношению 3:2 и даёт квинту; а отношение 12:9 равно отношению 4:3 и даёт кварту. Пифагор обратил внимание также на средние числа этой великолепной четвёрки — 8 и 9. Здесь интересно вспомнить, что отношение 9:8 соответствует одному тону…

— Но что замечательного нашёл Пифагор в этих числах? — спросил Сева.

— Во-первых, девять — это среднее арифметическое шести и двенадцати, то есть крайних чисел этой четвёрки:

— А восемь?

— А восемь, — неожиданно сказал Олег, — восемь — это их среднее гармоническое. Вот смотрите:

— Наконец-то! — закричал президент и на радостях снова задудел на своей гребёнке, после чего стало совершенно ясно, что с музыкой на сегодня необходимо покончить.

Объявили перерыв. Все потянулись к бутербродам, разложенным на большом блюде. Но вот когда они были съедены и мы уже готовились приступить ко второй части нашего заседания, Олег внёс в комнату красивую суповую вазу, покрытую, как полагается, специальной крышкой. Президент так и замер.

— Неужели это оно? — спросил он с робкой надеждой в голосе.

— Не оно, а он, — поправил Олег.

Нулик благоговейно приблизился к столу и осторожно поднял замысловатый фарфоровый купол. В лицо ему дохнул запахом ванили густой молочный кисель. Президент издал победный клич и хотел уже запустить в него ложку, но Таня тут же её отняла.

— Сперва надо подобрать подходящее ведёрко, не то не едать нам киселя.

— Ну, тогда подберём его поскорее! — волновался Нулик. — Кто просит слова?

— Кто же ещё? Разумеется,

ты, — засмеялся Сева.

— Ошибаешься — я киселя прошу! А слова просит… — Нулик обвёл глазами присутствующих, стараясь отгадать, кто решит задачу без проволочек.

— Слова прошу я! — сказала Таня. — Предлагается вычислить радиус круга, вписанного в прямоугольный треугольник. При этом известно только то, что гипотенуза равна 13 дециметрам, а сумма обоих катетов — 17 дециметрам.

Таня вычертила на бумажке прямоугольный треугольник и обозначила его стороны буквами a, b и c.

— Нет, нет! — запротестовал Нулик. — Так не годится. Твоя гипотенуза — сразу видно — меньше 13 дециметров, да и катеты тоже…

— Числа тут ни при чём, — отмахнулась Таня. — Вычислить радиус вписанного круга можно при любых данных.

— С той оговоркой, что сумма катетов всегда больше гипотенузы, — тихо подсказал Олег.

— Конечно, — кивнула Таня. — Итак, вписываю в прямоугольный треугольник круг. Пусть его радиус равен r.

— Раз числа ни при чём, пусть будет r, — согласился Нулик.

Таня провела три радиуса в точки касания круга со сторонами треугольника.

— Прежде чем решать задачу, — сказала она, — заметьте, что точки касания делят стороны треугольника на две части. Кроме того, очень важно вспомнить, что радиус, проведённый в точку касания, всегда перпендикулярен касательной. Стало быть, после того как мы провели радиусы в точки касания, при вершине прямого угла у нас образовался квадрат. А у квадрата все стороны между собой равны. Отсюда следует, что катет a разделился на части r и ar, а катет b — на части r и br. Остаётся выяснить немногое: на какие части точка касания разделила гипотенузу. Кто хочет высказаться?

Сева почтительно привстал.

— Позвольте мне, профессор. Надеюсь, всем известно, что касательные к кругу, проведённые из одной точки, равны между собой?

— Всем известно! — буркнул Нулик, нетерпеливо барабаня пальцами по столу. — Только для чего это надо?

— А для того, что отсюда сразу ясно: гипотенуза разделилась в точке касания на отрезки ar и br. Теперь мы можем сказать, что гипотенуза равна сумме двух отрезков: ar и br, то есть c=ar+br. А уж отсюда ничего не стоит вывести, что диаметр круга равен сумме катетов минус гипотенуза, то есть

— Как просто! — захихикал Нулик. — Но всё-таки проверим. Значит, c у нас равно 13, а (a+b) равно 17. Тогда 2r=17–13, то есть 4 дециметрам. А ну, налейте-ка мне тарелочку молочного киселя…

Когда тарелки опустели, президент сказал, довольно потирая руки:

— Ну вот, кисель исчерпан и повестка дня тоже.

— Ничего подобного, — возразил Олег. — Мы ещё ничего не сказали о задаче, которую Единичка задала Магистру.

Поделиться с друзьями: