Чтение онлайн

ЖАНРЫ

Внуки Солнца
Шрифт:

Удивительному астероиду посвятил поэтические строки А. В. Бялко — автор известной вам книги «Наша планета — Земля» (М.: Наука, 1989.—Библиотечка «Квант», вып. 29):

Автограф Торо строг и строен И пятикратно повторен, Эскорт планет проходит строем Простор времен…

Советуем также познакомиться со статьей: Бялко А. В. Торные тропы Торо. — Квант, 1983, № 12, с. 20,

Не могу удержаться, чтобы не обратить ваше внимание на еще один пример изящной соизмеримости. Это кольца Сатурна.

На заре исследований столь уникальной системы всерьез рассматривался вопрос о том, что кольца —

это твердые тонкие диски или даже жидкие образования. Однако вскоре было теоретически доказано, что и в том и другом случаях кольца не могли бы долго существовать. Их в очень короткое время разрушили бы сильные гравитационные возмущения, порожденные экваториальной частью планеты. В конце концов тонкие спектральные наблюдения колец с Земли показали, что вокруг Сатурна движутся скопления огромного множества мельчайших тел, причем каждое тело — по своей индивидуальной орбите. Вот такой своеобразный пояс «астероидов» принадлежит лично Сатурну. Эти выводы получили блестящее подтверждение после полетов вблизи Сатурна космических аппаратов «Пионер-11» и «Вояджер-1».

Рис. 8. Кольца Сатурна: В — самая яркая часть колец; она отделена от более темного кольца А щелью Кассини; С — креповое кольцо

Так вот, в поясе Сатурна четко видны щели, разделяющие кольца. Возможно, вам приходилось слышать о знаменитой щели Кассини, разделяющей кольца А и В (рис. 8). Образование щелей связывают с влиянием трех ближайших спутников Сатурна, а именно Мимаса, Энцелада и Тефии, «исполняющих обязанности» Юпитера в обычном поясе астероидов. Прямо какие-то наместники Юпитера в вотчине его соседа!

Щель Кассини находится на таком расстоянии от Сатурна, на котором частицы кольца имели бы средние движения, в два раза большие, чем средние движения Мимаса, в три, чем Энцелада и в четыре, чем Тефии. Щель между кольцами В и С находится на расстоянии, на котором среднее движение частиц в три раза больше, чем среднее движение Мимаса.

Таким образом, очень похоже, что щели в кольцах Сатурна — это те же люки Кирквуда в поясе астероидов.

Наблюдаются соизмеримости и в системах спутников планет. Прекрасная иллюстрация — четыре галилеевых спутника Юпитера: Ио, Европа, Ганимед и Каллисто. Со времени их первого наблюдения Галилеем в 1610 году эти спутники уже более 370 лет находятся «под контролем» астрономов. За это время спутники совершили почти 100 тысяч оборотов вокруг Юпитера, не нарушив своих соизмеримостей.

А вот и Фаэтон!

Однако вернемся к поясу астероидов. Помните, с чего все началось? С правила Тициуса — Воде, с поиска недостающей планеты, с обнаружения Цереры и тысяч крупных и мелких астероидов. И уже на заре всех этих событий ученых интересовал вопрос, как же образовался этот поразительный «шлейф» малых планет. Если заглянуть в табл. 1, то видно, что правило Тициуса — Боде говорит нам о том, что пятая планета должна была бы находиться на расстоянии 2,8 а. е. от Солнца. Так может быть, такая планета действительно существовала? Не тысячи и миллионы мелких астероидов, а одна большая, нормальная планета?

Но почему ее нет сейчас? Возможно, произошла чудовищная космическая катастрофа, в результате которой пятая по счету планета погибла, взорвалась, распалась, и лишь бесконечное множество ее осколков остались немыми свидетелями страшной трагедии.

Впрочем, немыми ли? Да ни в коем случае! Пояс астероидов — это уникальная подсказка природы, помогающая подобрать ключи к решению проблемы о механизме образования планет.

Еще известный немецкий астроном и врач Генрих Ольберс, открывший Палладу и Весту, высказал гипотезу о существовании когда-то планеты. От чудовищного внутреннего или внешнего удара планета взорвалась, породив тучи астероидов и космической пыли.

По греческой мифологии сын бога солнца Гелиоса Фаэтон вывел без спроса золотую колесницу своего отца, запряженную парой огнедышащих коней, и устроил шумные катанья. Носясь с бешеной скоростью, олимпийский лихач не справился с управлением

на каком-то небесном вираже и разбился вдребезги вместе с дорогой колесницей и чудо-рысаками. Именно поэтому гипотетическая планета названа Фаэтоном.

Сто пятьдесят лет гипотеза Ольберса о Фаэтоне будоражила умы людей. Возможно, и вам симпатична мысль о том, что некогда существовала пятая планета, которую постигла такая необычная участь. Однако не будем спешить.

Мы уже знаем, что определенные группы астероидов имеют сходные орбиты. Логично предположить, что если астероиды возникли в результате разрушения планеты при столкновении или при взрыве, то их орбиты должны были бы пересекаться в той точке пространства, в которой произошла катастрофа. Ведь именно из этой точки веером или параллельным потоком устремились продукты распада в самостоятельный путь вокруг Солнца. Однако такой точки в поясе астероидов не существует.

Вот досада! Но не надо отчаиваться. Не исключено, что могучий Юпитер растрепал остатки планеты до такой степени, что орбиты потеряли свой первоначальный вид. Но даже если это так, сторонникам Фаэтона придется преодолеть еще немало порогов и подводных камней. Мы вернемся к этой проблеме после того, как обсудим некоторые нюансы внутреннего «общежития» в поясе астероидов.

В процессе этого общежития происходят взаимные столкновения малых планет, в результате которых оба столкнувшихся тела дробятся на более мелкие осколки. Путем несложных рассуждений мы убедимся, что с течением времени частота взаимных столкновений возрастает.

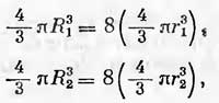
Если в поясе астероидов движутся два тела с радиусами R1 и R2, то вероятность их взаимного столкновения пропорциопальна сумме их поперечных сечений: R12 + R22. Пусть после столкновения каждый из астероидов раздробился на 8 одинаковых осколков. Обозначим радиусы образовавшихся осколков через r1 и r2. Запишем условия равенства объемов первоначальных тел и образовавшихся осколков:

откуда получим

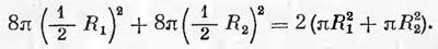
Вероятность дальнейшего столкновения между любыми двумя из образовавшихся 16 осколков пропорциональна сумме всех их поперечных сечений:

Вы видите, что эта величина в два раза больше, чем сумма поперечных сечений двух первоначальных астероидов, т. е. частота столкновений возросла. Можете себе представить, какие разрушительные процессы протекают в поясе астероидов. По образному выражению немецкого астрофизика А. Унзольда, «пояс астероидов — это каменоломня Солнечной системы!»

Часть космического щебня, образовавшегося в астероидной дробилке, разлетается «по белу свету» и достигает орбиты Земли. Влетая в атмосферу нашей планеты с огромными скоростями, мелкие осколки астероидов сгорают в ней дотла, а остатки более крупных достигают земной поверхности. Такие космические «гостинцы» называются метеоритами. К большому удовольствию ученых, которые собирают и изучают метеориты, количество небесных камней, выпадающих на Землю, достаточно велико. Ежегодно падают несколько сотен тонн метеоритов, которые могут быть найдены. Однако из них почти 75 % падают в моря и океаны, а подавляющая часть «сухопутных» метеоритов — в ненаселенные или почти ненаселенные районы. И тем не менее коллекции многих стран весьма представительны. Это уникальный материал, доставляемый в физические и химические лаборатории самой природой. В тех случаях, когда удавалось наверняка определить орбиту найденного метеорита, она однозначно указывала, что объект исследования прибыл из пояса астероидов.

Поделиться с друзьями: