Чтение онлайн

ЖАНРЫ

Юный техник, 2001 № 01
Шрифт:

Определить скорость спортсмена в момент прыжка. Сопротивлением воздуха пренебречь. (9—10 класс)

10. Автомобили на автодроме испытываются на скорости V = 120 км/ч. Под каким углом  к горизонту должно быть наклонено полотно дороги с радиусом закругления R = 110 м, чтобы движение автомобиля было наиболее безопасным даже в гололедицу? (9 — 10 класс)

11. Два одинаковых пластилиновых шарика массой m каждый начинают движение одновременно. Первый бросают вертикально вверх со скоростью V0 с поверхности земли, а второй

падает с высоты h без начальной скорости так, как показано на рисунке. В воздухе происходит абсолютно неупругое соударение шариков. С какой скоростью упадет на землю комок пластилина, образовавшийся при ударе? Какое тепло выделится при соударении шаров? Сопротивлением воздуха пренебречь. (10 класс)

12. В закрытом сосуде объема V = 22,4 дм3 находится v1= 1 моль воды и кислород. При температуре t = 100 °C давление в сосуде равно Р = 22· 105 Па. Определить количество кислорода, находящегося в сосуде. (10 класс)

13. Моль идеального одноатомного газа совершает замкнутый цикл, состоящий из адиабатического расширения, изотермического сжатия и изохорического нагревания. Какая работа была совершена газом в адиабатическом процессе, если в процессе изохорического нагревания газу подвели тепло Q = 10 кДж. (10 класс)

14. Два одинаковых заряженных шарика, подвешенных на нитях одинаковой длины, опускают в керосин. Какова должна быть плотность материала шариков , чтобы угол расхождения нитей в воздухе и в керосине был один и тот же? Диэлектрическая проницаемость керосина = 2, плотность о = 0,8 г/см\ (10 класс)

ВСТУПИТЕЛЬНОЕ ЗАДАНИЕ ПО МАТЕМАТИКЕ

1. Школьники отправились в туристический поход из пункта А в пункт В. В первый день они шли 6 часов и прошли 1/3 всего пути; во второй день они прошли на 10 % меньше. В третий день школьники были в пути только 3 часа и шли со средней скоростью, с которой они шли в первый день. В четвертый день они прошли оставшиеся 9 км. Чему равно расстояние между пунктами А и B?

2. Имеется восемь шариков для подшипника. Один шарик оказался, при равных размерах с остальными, сделанным из более легкого сплава. Как найти этот «легкий» шарик, если имеются весы без гирь, взвешивая шарики только два раза?

3. Сумма цифр двузначного числа равна 14. Если к этому числу прибавить 46, то получится число, произведение цифр которого равно 6. Найти двузначное число.

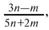
4. Пусть m и n — натуральные числа, причем m/n — правильная несократимая дробь. На какие натуральные числа можно сократить дробь

если известно, что она сократима?

5. Даны два отрезка m и с. С помощью циркуля и линейки построить прямоугольный треугольник, если с — длина гипотезы, m — сумма длин катетов.

6. Аквариум частично заполнен водой. За месяц 40 % воды испарилось. При этом объем воздуха увеличился на 60 %. Какую часть объема аквариума занимала вода в конце месяца?

7. Решить уравнение

8. Группа студентов сдавала экзамен по математике. Число студентов, сдавших экзамен, оказалось в интервале

от 96,8 % до 97,6 %. Каково наименьшее возможное число студентов в группе?

9. В равнобедренном треугольнике AВС основание АВ является диаметром окружности, которая пересекает боковые стороны АС и СВ в точках D и Е соответственно. Найти периметр треугольника ABC, если AD = 2, АЕ = 8/3.

10. Найти все значения параметра а, при которых ровно один корень уравнения х2 + 2(а — 1)x + 3a + 1 = 0 удовлетворяет неравенству х <— 1.

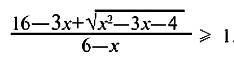
11. Решить неравенство

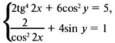
12. Решить систему

13. В ромбе ABCD из вершины В на сторону AD опущен перпендикуляр BE. Найти углы ромба, если

.

14. Найти все значения параметра а, при которых функция

y = xcos 2х + а cos 6x 7ах строго убывает на всей числовой оси.

ЧИТАТЕЛЬСКИЙ КЛУБ

Вопрос — ответ

«Иногда смотрю в магазине на кассовый аппарат… Кто и когда придумал это устройство?»

Вероника Смольская, 12 лет,

г. Санкт-Петербург

Современный электронный кассовый аппарат, конечно же, ничего общего не имеет с тем первым, изобретенным в 1878 году владельцем салуна из американского города Дейтона Джеймсом Риттн. Мысль об аппарате, регистрирующем количество полученных барменом денег, пришла ему в путешествии на пароходе в Европу. От нечего делать Ритти зашел как-то в машинное отделение парохода и стал наблюдать за действиями механизмов. Его внимание привлек счетчик оборотов винта. Изобретателя осенило: ведь можно сделать прибор, который при нажатии клавиш с цифрами будет печатать чек, делать запись на контрольной ленте и суммировать выручку за день.

В 1879 году Ритти запатентовал свое изобретение, дал ему название «Неподкупный кассир Ритти» и стал выпускать примитивные кассовые аппараты. Вначале торговля шла плохо — владельцы кафе и магазинов не оценили достоинств аппарата. Широко кассы распространились лишь после того, как право на их производство приобрел у изобретателя талантливый бизнесмен Джон Паттерсон. К 1910 году позванивающие кассы стали непременным атрибутом торговли.

А знаете ли вы?

Еще каких-нибудь 25 лет назад кассы фирмы «Нейшенал кэш реджистер» с русской надписью «Националь, изготовленные специально для России после революции, можно было увидеть в наших булочных и бакалеях.

ДАВНЫМ-ДАВНО

Ревностно следя за первыми полетами аэропланов в Европе, военные круги США еще в 1898 г. выделили на исследования в этой области 25 тыс. долларов (огромную сумму по курсу того времени) профессору Смитсоновского института М.Ленгли. Он был известен удачными экспериментами с крупными летающими моделями самолетов (рис. 1).

Они оснащались созданными профессором легкими и мощными паровыми машинами. Размах крыльев одной из последних моделей достигал 4,27 м, а время полета превышало полторы минуты.

Поделиться с друзьями: