Чтение онлайн

ЖАНРЫ

Астероидно-кометная опасность: вчера, сегодня, завтра
Шрифт:

Ни воздушная ударная волна, ни излучение плюма, ни волны цунами (см. выше) не могли привести к глобальной катастрофе. Первичная гипотеза о сильной запыленности атмосферы и «ядерной зиме» не подтверждается современными расчетами. Действительно, образование кратера Чиксулуб сопровождалось выбросом огромной массы расплава и твердых фрагментов в атмосферу. Основная часть этих выбросов имела низкую скорость и образовала непрерывный покров выбросов. Расчеты [Toon, 1997; Pierazzo et al., 1998; Pope et al., 1997] показывают, что полное количество высокоскоростных выбросов (расплава, пара, твердых фрагментов мишени и ударника) не превышает (2–4) 1018 г. Приблизительная геологическая оценка удаленных выбросов дает похожие значения, ~ 3,8 1018 г [Pope, 2002]. Однако К — Р-слой состоит в основном из сферул размером в десятки и сотни микрон [Smit, 1999], время пребывания которых в атмосфере не превышает нескольких

часов или дней. Источником субмикронной пыли может быть конденсат испаренных веществ, небольшая часть расплава и твердых выбросов, а также более крупные высокоскоростные частицы, подвергшиеся абляции при возвращении в атмосферу. Но даже эта пыль не привела к глобальной и долгосрочной блокировке солнечного излучения [Toon, 1997].

По-видимому, дым, углекислый газ и аэрозоли серной кислоты играют более существенную роль в изменении оптических свойств атмосферы и температурного режима на поверхности. По разным оценкам [Ivanov et al., 1996; Pierazzo et al., 1998; Gupta et al., 2002] количество образовавшегося в результате удара углекислого газа (дегазация кальцита в результате ударного сжатия) колеблется в пределах от 0,35 1015 кг до 2,85 1015 кг, количество диоксида серы (дегазация ангидритов) — от 0,08 1015 кг до 1,1 1015 кг.

Такое заметное расхождение в оценках связано, во-первых, с противоречивыми данными по разложению карбонатов (экспериментальные данные дают критические давления в диапазоне 10–110 ГПа, скорость обратных реакций неизвестна) и, во-вторых, с неполнотой данных о структуре мишени в момент удара (толщина карбонатной платформы, ее пористость, соотношение между карбонатами и эвапоритами).

Даже самые минимальные оценки выбросов соединений серы превышают на порядки количество сернистых газов, выброшенных в атмосферу во время извержения вулкана Пинатубо. Количество образовавшихся аэрозолей определяется двумя факторами — скоростью окисления серы до триоксида и количеством воды в верхних слоях атмосферы. По-видимому, при ударе в атмосферу было выброшено достаточное количество воды (в основном это вода, связанная с пористыми осадочными породами), чтобы связать оксиды серы. Тем не менее, скорость окисления может быть достаточно низкой, т. е. время жизни аэрозольных облаков в стратосфере может достигать нескольких лет, в отличие от пыли и частиц сажи, которые вымываются той же водой в течение нескольких дней. Моделирование радиационного переноса в атмосфере, нагруженной аэрозольными частицами серной кислоты [Pope et al., 1997; Pierazzo et al., 2003] показывает, что поглощение длинноволнового излучения с поверхности планеты, с одной стороны, и интенсивное рассеяние коротковолнового солнечного излучения, с другой стороны, могло привести к уменьшению теплового потока на 300 Вт/м2, т. е. к уменьшению температуры поверхности на несколько десятков градусов в течение 5–10 лет.

Позднее, когда атмосфера очистилась от пыли, сажи и аэрозолей, могли возникнуть парниковые эффекты. Содержание углекислого газа в атмосфере 65 млн лет назад превышало его содержание в доиндустриальную эпоху в 2–10 раз. Поэтому выброс углекислого газа в результате удара мог, как максимум, увеличить его концентрацию на 50 %. Это, в свою очередь, могло привести к увеличению теплового потока на 1,2–3,4 Вт/м2, т. е. к повышению температуры на доли градуса, что сравнимо по величине с наблюдаемым в настоящее время потеплением, вызванным увеличением выброса парниковых газов в атмосферу.

Тем не менее, изучение К — Р-границы показывает, что все эти эффекты (как понижение, так и повышение температуры) не привели к дестабилизации палеоклимата, который восстановился в геологически короткое время (< 10 тыс. лет). С другой стороны, даже кратковременное, но интенсивное воздействие может иметь необратимые последствия для фауны. Скорее всего, изменения климата не коснулись глубин океана.

Невзирая на существенный прогресс в развитии моделей фотохимических процессов в атмосфере и общей циркуляции атмосферы, полной картины изменения климата после крупных ударных событий до сих пор не существует, что связано, скорее всего, с нестандартными начальными условиями после удара, когда полное количество выбросов на много порядков превышает типичные величины, известные, например, из вулканологии.

8.6.3. Массовые вымирания и вулканизм. По мнению многих ученых, массовые вымирания видов (по крайней мере, некоторые из них) связаны с ударами космических тел. В качестве альтернативной причины рассматриваются сверхмощные вулканические извержения — супервулканизм. Известно, что 74 000 лет назад на северной Суматре возникла кальдера размером ~ 100 км, а масса вулканической пыли, выброшенной при извержении в стратосферу, была настолько велика, что температура воздуха, возможно, понизилась на несколько градусов.

Еще более мощные извержения происходили, вероятно, на территории, занимаемой ныне Йеллоустоунским национальным парком в штате Вайоминг, США (3 извержения произошли 2,1 млн лет, 1,3 млн лет и 0,64 млн лет назад). Детали воздействия таких извержений на климат пока недостаточно ясны. Самым мощным извержением за последние 200 лет было извержение вулкана Тамбора в 1815 г. На одной из стадий извержения высота эруптивной колонки достигла 40–50 км, т. е. произошел прорыв тропопаузы, и выброшенные мелкие частицы пепла долго оседали, изменяя прозрачность атмосферы. Это извержение известно как вызвавшее «год без лета». Отметим, что катастрофические последствия были намного меньше, чем после упомянутых извержений на Суматре и тем более в Йеллоу-стоунском парке. Полный объем выброса составил~ 100 км3. Последствия извержения в основном носили локальный и региональный характер. Глобальные изменения температуры были невелики — десятые доли градуса, как и при других мощных извержениях последних столетий — вулканы Кракатау (1883) и Агунг (1963) с выбросами 20 км3 и 1 км3 соответственно [Rampino and Self, 1982]. Совместное действие мощных вулканических извержений и ударов космических тел еще предстоит выяснить.

В настоящее время и ударные, и вулканические явления рассматриваются как наиболее вероятные возможные причины массовых вымираний.

Глава 9

Частота столкновений малых тел с Землей и оценки рисков

Можно считать курьезом, что научное сообщество ревностно изучает далекие галактики и в то же время игнорирует любую возможность серьезного столкновения Земли с космическими объектами. Для меня это типичный пример амнезии.

Ф. Хойл

9.1. Статистика метеоритных кратеров на небесных телах

Сталкиваясь с планетными телами, малые тела образуют ударные кратеры, популяция которых создает как бы отпечаток популяции малых тел Солнечной системы. Распределение по размерам ударных кратеров на планетных телах с твердой поверхностью является одной из наиболее легко измеряемых (и весьма сложной в интерпретации) характеристик эволюции Солнечной системы. С точки зрения проблемы астероидно-кометной опасности, наблюдаемая частота встречаемости ударных кратеров различного размера является необходимым дополнением к астрономическим наблюдениям малых тел, которые могут столкнуться с Землей.

При известных скоростях столкновения с различными планетными телами (т. е. планетами, их спутниками и другими малыми телами) и знании законов подобия, связывающих размеры ударных кратеров и параметры тел (ударников), их образующих, данные по частоте встречаемости кратеров и ударников могут быть взаимно дополнены. Процедура такого сравнения была разработана в 1960-х гг., и с тех пор постоянно совершенствуется [Hartmann et al., 1981]. Ниже излагаются основные данные о частоте встречаемости кратеров, а также подходы к их интерпретации.

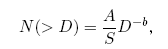
Лунные кратеры. Измерения распределения по размерам лунных кратеров было начато еще по телескопическим наблюдениям и фотографиям ["Opik, 1960]. Уже тогда была выявлена главная черта распределения кратеров по размерам — их число N убывает с ростом диаметра кратера D примерно как степенная функция диаметра. Поскольку статистика кратеров, как и многих других объектов, может быть представлена в различных формах, необходимо привести главные из них. Простейшим способом является кумулятивный подсчет числа кратеров N(> D) с размером, больше данного диаметра D.

Тогда типичное распределение ударных кратеров по размерам можно представить в виде

где S — площадь, на которой измерено количество кратеров, b — показатель степенного закона (обычно в диапазоне от 1,5 до 4), A — коэффициент пропорциональности. Кумулятивная форма представления удобна своей простотой, но зачастую приводит к недоразумениям, когда реальный закон распределения отклоняется от простой степенной зависимости.

Инкрементальный способ представления статистики кратеров состоит в подсчете числа кратеров N(Dav), размеры которых заключены в заданном диапазоне размеров D = D2 x D1 при среднем размере, определяемом как среднее арифметическое Dav = (D1 + D2)/2 или среднее геометрическое Dav = (D1 x D2)1/2. Такая статистика описывается выражением

Поделиться с друзьями: