Чтение онлайн

ЖАНРЫ

Астероидно-кометная опасность: вчера, сегодня, завтра
Шрифт:

Как всякая формализация, имеющая целью сведение результата действия многих факторов к некоторой простой схеме, Туринская шкала не дает представления обо всех деталях возможного столкновения. Так, например, два тела существенно разных размеров, но имеющие одинаковую вероятность столкновения с Землей, получают по этой шкале одну и ту же категорию. Но ведь размер тела очень важен для оценки последствий столкновения. Важно также, в каком регионе Земли, в океане или на суше произойдет столкновение и т. д. В случае, если угроза станет реальной, такие сведения должны сообщаться дополнительно.

9.4. Палермская техническая шкала для оценки угрозы столкновения Земли с астероидами и кометами

Туринская шкала, рассмотренная в предыдущем разделе, была

разработана прежде всего для описания и распространения сведений об астероиднокометной опасности средствами массовой информации. Она проста и доступна для понимания неспециалистов. Но те упрощения, которые были сознательно допущены при ее разработке, делают шкалу малопригодной для использования в научных исследованиях. Отметим несколько таких упрощений.

Важной особенностью Туринской шкалы является то, что она целочисленная. Это облегчает восприятие оценки. Но события, относящиеся к одной и той же категории по Туринской шкале, фактически могут весьма сильно отличаться друг от друга. Например, два события, имея одинаковую вероятность, могут на два-три порядка отличаться по энергии столкновения. С другой стороны, мало отличающиеся друг от друга события могут оказаться по разные стороны границы раздела между областями и, как следствие, иметь различные категории, при этом не всегда различающиеся на единицу. Более того, в окрестности узловых точек близкие события отвечают целому набору различных категорий шкалы.

Любое событие с энергией, меньшей 1 Мт, согласно Туринской шкале, имеет категорию 0. С точки зрения не привлечения общественного внимания к подобным событиям, это оправдано. Но в научном плане отслеживание событий с меньшими значениями энергии часто представляет интерес, и надо иметь возможность оценивать такие события по их важности для научного исследования. То же самое можно сказать и в отношении событий весьма маловероятных, но сопряженных с большой энергией столкновения.

Туринская шкала предназначена для оценки событий, происходящих в течение ближайшего столетия. Формально говоря, события более отдаленного будущего не имеют определенной категории по этой шкале. Между тем, уже сейчас для некоторых астероидов достаточно точные прогнозы столкновений могут быть сделаны на существенно более длительные интервалы времени. Более того, оценка по Туринской шкале не зависит непосредственным образом от времени до предстоящего сближения: вне зависимости от того, сколько времени осталось до сближения — несколько месяцев или несколько десятков лет — по Туринской шкале это событие получает одну и ту же оценку. Фактор времени влияет лишь опосредствованно, поскольку более близкое событие привлекает, естественно, больше внимания.

Таким образом, можно отметить, что для научных целей требуется система, которая позволяла бы оценивать различные события с точки зрения создаваемой ими угрозы вне зависимости от диапазона энергии, вероятности и времени до столкновения, причем эта система должна обеспечивать непрерывность и сглаженность оценки в любом диапазоне. Справедливости ради надо отметить, что идея создания такой шкалы была в общих чертах сформулирована в работе [Binzel, 2000], посвященной описанию Туринской шкалы. Но в развитом виде подобная шкала была представлена группой докладчиков на конференции в Палермо «Asteroids 2001. From Piazzi to the Third Millennium», посвященной двухсотлетию открытия первого астероида. Поэтому данная шкала получила название Палермской [Chesley et al., 2002].

В указанной работе авторы прежде всего вводят понятие «ожидаемой энергии» события ^E, которая определяется как произведение вероятности события PI на его энергию E:

^E = PIE. (9.11)

В том случае, когда тело несколько раз сближается с Землей на рассматриваемом интервале времени, причем каждому сближению соответствует определенная вероятность столкновения, для каждого события может быть вычислена ожидаемая энергия, и для всей последовательности событий может быть вычислена «совокупная ожидаемая энергия» как сумма ожидаемых энергий частных событий.

Далее авторы сопоставляют энергию

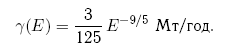
и вероятность ожидаемого столкновения с соответствующими фоновыми значениями, обусловленными случайными столкновениями Земли с астероидами и кометами за время, остающееся до рассматриваемого события. При этом учитывается осредненная на длительном интервале времени частота столкновений. Частота падения на Землю тел с энергией, большей или равной заданному значению E, может быть определена как

fB = 0,03E– 4/5 год– 1, (9.12)

где энергия E исчисляется в мегатоннах.

Формула (9.12) выражает зависимость, очень близкую к эмпирическому распределению, найденному Е. Шумейкером главным образом на основании подсчета числа лунных кратеров [Shoemaker, 1983]. Заметим, что частоту падения тел на Землю при условии ее малости (именно с такими событиями приходится иметь дело) можно рассматривать как годичную вероятность событий.

На рис. 9.9 представлена частота столкновения Земли с космическими телами как функция энергии. Учитываются тела с энергией, большей или равной заданной величине E. Кривая линия — эмпирическое распределение, основанное преимущественно на результатах Шумейкера [Chapman and Morrison, 1994]. Прямая линия — аппроксимация, определяемая формулой (9.11). Для сравнения штриховой линией показана частота столкновений по Туринской шкале.

Рис. 9.9. Частота столкновения Земли с космическими телами как функция энергии [Chesley et al., 2002]

Математически величина fB представляет собой определенный интеграл:

где (E) — частота столкновения Земли с телами, обладающими энергией E. Дифференцируя интеграл (9.13) по нижнему пределу и используя формулу (9.12), находим выражение для этой частоты в виде

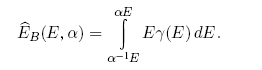
Найдем теперь ожидаемый поток энергии ^EB(E, ), приносимой на Землю в течение года падающими на нее телами в некотором диапазоне энергии от – 1E до E:

Теперь имеется возможность сравнить ожидаемую энергию столкновения ^E для рассматриваемого события с общей энергией, приносимой на Землю телами в некотором диапазоне энергии от – 1E до E за время, оставшееся до столкновения. Последняя величина, очевидно, равна

^EB(E, )T,

где T — время до столкновения, выраженное в годах.

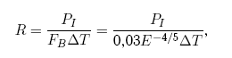
Искомое отношение R, равное

можно квалифицировать как ожидаемую энергию столкновения, взвешенную по отношению к потоку энергии, приносимой телами подобного же размера за оставшееся до столкновения время.

Можно показать, что, выбирая равным 1,865, выражение (9.14) можно свести к следующему:

которое в Палермской шкале получило наименование «нормализованного риска». Другими словами, нормализованный риск — это вероятность столкновения тела с Землей, взвешенная по отношению к вероятности столкновения с Землей тел такой же или большей энергии за время, оставшееся до предполагаемого столкновения. Десятичный логарифм этой величины P определяет Палермскую техническую шкалу для оценки угрозы столкновения тел с Землей:

Поделиться с друзьями: