Чтение онлайн

ЖАНРЫ

Астероидно-кометная опасность: вчера, сегодня, завтра
Шрифт:

Ясно, что результат изменения текущих координат тела, как и ранее, оказывается чисто периодическим. Максимальный увод будет иметь место через половину витка орбиты, а его величина составит

Рис. 10.4. Результат длительного воздействия постоянной тяги dgW, приложенной по оси W

Обратимся к двум выбранным ранее примерам. В первом случае увода на расстояние, равное диаметру Земли, положив dnmax/Rэ = 2, получим, что требуемое значение ускорения dgW равно: dgW /g0 = (Rэ/r0) = 4,25 10– 5.

Например, для Апофиса необходимая тяга составит~ 11,5 кН (килоньютон). Следовательно, такая тяга, приложенная к Апофису в течение полугода, даст изменение текущих координат на диаметр Земли. Во втором случае (увод из зоны резонансного возврата) тяга, прилагаемая также в течение полугода, оказывается в 1000 раз меньше, т. е. составит всего лишь около 11,5 Н.

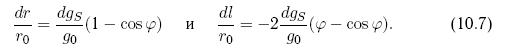
Перейдем к случаю приложения тяги dgS, длительно действующей по оси S. Это воздействие суммируется с ускорением, создаваемым Солнцем, и, следовательно, изменяет период обращения астероида. При постоянной тяге получаем новую орбиту (рис. 10.5), лежащую в той же плоскости.

Следовательно, изменения координат относительно старых значений описываются формулами

По оси T (вдоль орбиты) появился вековой уход астероида, линейно нарастающий со временем, суммирующийся с периодической составляющей. Величина этого ухода за один виток будет равна dl/r0 =-4(dgS/g0). Таким образом, получим удобные выражения для векового ухода за Nв витков и требующегося для этого ускорения:

Можно видеть, что приложение длительной по времени тяги по радиус-вектору оказывается более эффективным, чем по нормали. Кроме того, оно тем эффективнее, чем продолжительнее действие тяги. Действительно, в предыдущем случае увод на расстояние dl/Rэ = 2 требовал тяги (dgW /g0) = = (Rэ/r0), длящейся полвитка. Теперь же величина тяги dgS, прилагаемой в течение той же половины витка и создающей увод dl/Rэ = 2, оказывается равной (dgS/g0) = (Rэ/r0)(1/).

Рис. 10.5. Результат длительного воздействия постоянной тяги dgS, приложенной по оси S

Таким образом, для того же ограниченного времени действия тяги и заданного значения увода изменение направления прилагаемой силы с трансверсального на радиальное дает выигрыш примерно в 3 раза. Увеличив время непрерывного действия до полного витка орбиты, можно при том же значении увода снизить значение тяги вдвое. Дальнейшее увеличение времени непрерывного воздействия тяги позволит еще больше уменьшить ее необходимое значение. Характер увода астероида от начальной точки в относительных координатах показан на рис. 10.5 справа внизу. Это колебания с постоянной амплитудой по радиус-вектору, но приблизительно линейно нарастающие и отстающие вдоль орбиты.

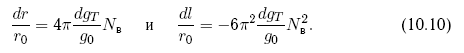
В заключение данного раздела рассмотрим случай непрерывно действующей тяги dgT по оси T, которая оказывается наиболее результативной. Вектор тяги, направленный вдоль орбиты, создает ускорение, вызывающее изменение периода обращения угрожающего тела, нарастающее со временем. Теперь орбита будет представлять собой разворачивающуюся спираль (рис. 10.6).

Следовательно, появится линейный вековой уход астероида по координате S и квадратично нарастающий — по координате Т. Соответствующий анализ дает соотношения:

Рис. 10.6. Результат длительного воздействия постоянной тяги dgT, приложенной по оси T

Из этих соотношений получим величины вековых уходов за Nв витков:

Таким

образом, наиболее существенен и эффективен увод по оси T. Увод нарастает линейно по радиус-вектору и квадратично — по нормали. В результате получаем прогрессивно нарастающее относительное отставание от первоначального положения угрожающего астероида. Применяя прежнюю удобную нормировку, получим выражения для увода вдоль орбиты и требуемого ускорения:

Обращаясь к примерам, получим, что для астероида Апофис в первом случае потребуется в течение одного витка создавать ускорение, равное dgT = 30 10– 6 м/c2, и тягу, составляющую ~ 10 кгc. Для второго случая потребная тяга при тех же остальных условиях окажется равной ~ 5 гс. Последний пример является иллюстрацией возможности увода с помощью весьма малых реактивных сил, например способом гравитационной буксировки.

10.5. Эффективность кинетического воздействия на астероид

Выше была проанализирована эффективность приложения импульса скорости к небесному телу. В литературе по проблеме космической угрозы делались, да и сейчас делаются предложения о создании такого импульса с помощью удара по угрожающему астероиду. При этом в качестве ударяющего тела предполагалось использовать космический аппарат. При ударе по астероиду космический аппарат передает определенное количество движения астероиду, что изменяет скорость астероида и, следовательно, его траекторию. Имеет смысл напомнить очень простые соотношения, описывающие соударения двух тел и сопутствующие соображения.

В качестве иллюстративных моделей можно выбрать случай абсолютно неупругого удара и его противоположность — случай абсолютно упругого удара. Сначала для простоты будем считать, что тела имеют идеальную сферическую форму, а удар — центральный (т. е. векторы скоростей тел направлены по линии, соединяющей центры тел).

Абсолютно неупругим ударом называют такой удар, после которого скорости обоих соударяющихся тел оказываются одинаковыми. В случае абсолютно неупругого удара космический аппарат, ударяющий по астероиду со значительной относительной скоростью, доходящей до десятков км/с, просто внедряется в небесное тело, поглощается им и продолжает дальнейшее движение совместно с ним. Разумеется, удар на таких скоростях вызывает значительные побочные эффекты, однако к их рассмотрению целесообразно обратиться несколько позже. Если абсолютно неупругий удар централен (рис. 10.7 а), то, как известно из механики соударяющихся тел (см., например, [Хайкин, 1947]), при естественном здесь и далее предположении m1 << m2 имеем простое выражение для скорости астероида V после удара:

где V1 и V2 — соответсвенно скорости ударника и астероида до удара, V — скорость общего тела (астероид + ударник) после удара, dV2 — изменение скорости астероида после удара.

В случае нецентрального удара (рис. 10.7 б) необходимо разложить обе скорости на составляющие Vn1 и Vn2 в направлении линии, соединяющей центры шаров, и составляющие Vt1, Vt2 — в перпендикулярном направлении (чтобы не загромождать рисунок, составляющие скоростей не показаны). Для составляющих Vn1 и Vn2 все будет обстоять точно так же, как и при центральном ударе, хотя очевидно уменьшение изменения скорости астероида. Составляющие Vt1, Vt2 вызовут вращение астероида, дополняющее его первичное движение относительно центра масс.

Рис. 10.7. Абсолютно неупругий удар двух тел: а — случай центрального удара, б — случай нецентрального удара

В случае абсолютно упругого удара оба тела после удара движутся раздельно и самостоятельно, приобретая измененные скорости V1' и V2' (рис. 10.8).

Рис. 10.8. Абсолютно упругий удар двух тел

Поделиться с друзьями: