Чтение онлайн

ЖАНРЫ

Фейнмановские лекции по физике. 4. Кинетика. Теплота. Звук
Шрифт:

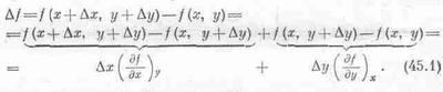
Предположим, что функция f(x, у) зависит от двух незави­симых переменных х и у. Под символом (дf/дх)умы понимаем самую обычную производную, получаемую общепринятым спо­собом, если у постоянна:

Аналогично определяется и

Например, если f(x, у)=х2+ух, то (df/dx)y=2x+y, а (дfду)х=х. Мы

можем распространить это на старшие производные:

д2f/дy2или д2f/дудх.

Последний случай означает, что сначала f продифференцировано по х, считая у постоянным, а затем ре­зультат продифференцирован по у, но теперь постоянным стало х. Порядок дифференцирования не имеет значения:

д 2 fldxdy=д 2 f/дyдx.

Нам придется подсчитывать изменение Df, происходящее с f(x, у), если х переходит в х+Dх, а у переходит в y+Dy. Будем предполагать, что Dx и Dy бесконечно малы:

Последнее уравнение и есть основное соотношение, связываю­щее приращение Df с Dx и Dy.

Посмотрим, как используется это соотношение; для этого вычислим изменение внутренней энергии U(Т,V), если тем­пература Т переходит в Т+DT, а объем V переходит в V+DV. Используем формулу (45.1) и запишем

В предыдущей главе мы нашли другое выражение для изме­нения внутренней энергии DU; тогда к подводимому газу прибавлялось тепло DQ:

DU==DQ-РDV. (45.3)

Сравнив (45.2) и (45.3), можно было бы подумать, что P=(дU/дV)T, но это не так. Чтобы получить верный результат, сначала предположим, что газ получает тепло DQ, причем объем его не изменяется, так что DV=0. Если DV=0, то уравнение (45.3) говорит нам, что DU=DQ, а уравнение (45.2) утверждает, что DU=(дU/дT)VDT, поэтому (дU/дT)v=DQ/DT. Отношение DQ/DT—количество тепла, которое нужно подвести к телу, чтобы изменить его температуру на один градус, удерживая объем по­стоянным,— называется удельной теплоемкостью при посто­янном объеме и обозначается символом CV, Таким образом, мы

показали, что

Теперь снова подведем к газу тепло DQ, но на этот раз догово­римся, что температура газа останется постоянной, а объему мы позволим измениться на DV. В этом случае анализ сложнее, но мы можем вычислить DU, используя аргументы Карно, для чего нам придется снова призвать на помощь цикл Карно из предыдущей главы.

Диаграмма давление — объем для цикла Карно изображена на фиг. 45.1. Мы уже показали, что полная работа, совершаемая газом при обратимом цикле, равна DQ(DT/T), где DQ —

тепло, подводимое к газу при температуре Т во время изотермического расширения от V до V+DV, а Т—DТ — это конечная темпе­ратура, которой достигает газ при адиабатическом расширении на втором этапе цикла. Сейчас мы покажем, что эта работа равна, кроме того, заштрихованной площади на фиг. 45.1. Работа газа

во всех случаях жизни равна PdV; она положительна, если

газ расширяется, и отрицательна, когда он сжимается. Если вычертить зависимость Р от V, то изменения Р и V изобразятся кривой, в каждой точке которой определенному значению Р соответствует определенное значение V. Работа, произведенная газом, пока его объем изменяется от одного значения до другого

(интеграл PdV),— это площадь под кривой, соединяющей на­чальное и конечное значения V. Применим эту идею к циклу Карно и убедимся, что если обойти цикл, помня о знаке совер­шенной газом работы, то чистая работа газа будет равна заштри­хованной на фиг. 45.1 площади.

Фиг. 45.1. Диаграмма Р — V для цикла Карно.

Кривые, помеченные Т и Т—DТ,— изотермы; крутые кривые между ни­ми — адиабаты. Когда газ изотермиче­ски расширяется при температуре Т, он получает тепло DQ и увеличивает свой объем на DV; DР—изменение давле­ния при постоянном объеме, темпера­тура в это время падает с Т до Т—DT.

А теперь вычислим эту площадь чисто геометрически. Цикл, который был использован для получения фиг. 45.1, отличается от цикла, описанного в предыдущей главе тем, что теперь DQ и DT бесконечно малы. Наши адиабаты и изотермы очень близки друг к другу, поэтому фигура, описанная жирными линиями на фиг. 45.1, приближается к параллелограмму, когда прира­щения DQ и DТ стремятся к нулю. Площадь этого параллело­грамма в точности равна DVDP (где DV — изменение объема, когда к газу подводится энергия DQ при постоянной темпера­туре, а DР — изменение давления при изменении температуры на DT и постоянном объеме). Легко показать, что заштрихован­ная площадь на фиг. 45.1 равна площади, ограниченной пунк­тиром на фиг. 45.2. А эту фигуру легко превратить в прямо­угольник со сторонами DР и DV, для чего нужно лишь вырезать из нее треугольники и сложить их немного иначе.

Соберем все наши выводы вместе.

Выражение (45.5) содержит в себе суть результатов, следую­щих из аргументов Карно. Всю термодинамику можно вывести из (45.5) и первого закона, содержащегося в уравнении (45.3). Выражение (45.5)— это, в сущности, второй закон, хотя впер­вые Карно сформулировал его несколько иначе, поскольку не пользовался нашим определением температуры.

А теперь можно приступить к вычислению (дUlдV)T. На­сколько изменится внутренняя энергия U, если объем изменится на DV? Во-первых, внутренняя энергия U меняется за счет подводимого тепла и, во-вторых, за счет совершаемой работы. Подводимое тепло, согласно (45.5), равно

DQ=(dP/дT)VDV,

а совершаемая над веществом работа равна —PDV. Поэтому изменение DU складывается из двух кусков

Поделив обе стороны на DV, мы найдем скорость изменения U относительно V при постоянной Т

В нашей термодинамике, где есть только две переменные, Т и V, и только две функции, Р и U, уравнения (45.3) и (45.7) — это основные уравнения, из которых можно вывести все последующие результаты.

Поделиться с друзьями: