Чтение онлайн

ЖАНРЫ

Фейнмановские лекции по физике. 7. Физика сплошных сред
Шрифт:

Кольца дыма (фиг. 40.15,а) — это просто баранка из вих­ревых линий.

Фиг. 40.15. Движущееся вих­ревое кольцо (я) и его попереч­ное сечение (б).

Поскольку W=СXv, то эти вихревые линия описывают также циркуляцию v (фиг. 40.15,б). Для того чтобы объяснить, почему кольцо движется вперед (т. е. в направ­лении, составляющем с направлением W правый винт), можно рассуждать так: скорость циркуляции увеличивается к внут­ренней поверхности кольца, причем скорость внутри кольца направлена вперед. Поскольку линии W переносятся вместе с жидкостью, то и они движутся вперед со скоростью v. (Конечно, большая скорость на внутренней части кольца ответственна за движение вперед вихревых

линий на его внешней части.)

Здесь необходимо ука­зать на одну серьезную трудность. Как мы уже от­мечали, уравнение (40.90) говорит, что если перво­начально завихренность W была равна нулю, то она всегда останется равной нулю. Этот результат — крушение теории «сухой» воды, ибо он означает, что если в какой-то момент значение W равно нулю, то оно всегда будет равно нулю, и ни при каких обстоятельствах создать завихренность нельзя. Однако в на­шем простом опыте с барабаном мы могли породить вихревые кольца в воздухе, который до того находился в покое. (Ясно, что пока мы не ударили по барабану, внутри него v = 0 и W=0.) Все знают, что, загребая веслом, можно соз­дать в воде вихри. Несомненно, для полного понимания поведе­ния жидкости следует перейти к теории «мокрой» воды.

Другим неверным утверждением в теории «сухой» воды является предположение, которое мы делали при рассмотре­нии потока на границе между ним и поверхностью твердого предмета. Когда мы обсуждали обтекание потоком цилиндра (например, фиг. 40.11), то считали, что жидкость скользит по поверхности твердого тела. В нашей теории скорость на поверх­ности твердого тела могла иметь любое значение, зависящее от того, как началось движение, и мы не учитывали никакого «трения» между жидкостью и твердым телом. Однако то, что скорость реальной жидкости должна на поверхности твердого тела сходить на нуль,— экспериментальный факт. Следова­тельно, наши решения для цилиндра и с циркуляцией, и без нее неправильны, как и результат о создании вихря. О более правильных теориях я расскажу вам в следующей главе.

Глава 41

ТЕЧЕНИЕ «МОКРОЙ» ВОДЫ

§ 1.Вязкость

§ 2. Вязкий поток

§ 3.Число Рейнольдса

§ 4.Обтекание кругового цилиндра

§ 5. Предел нулевой вязкости

§ 6.Поток Куеттэ

§ 1. Вязкость

В предыдущей главе мы говорили о поведе­нии воды, пренебрегая при этом эффектами вязкости. Теперь же мне хотелось бы обсудить, как вязкость влияет на течение жидкости. Рас­смотрим реальное поведение жидкости. Я опишу качественно, как ведет себя жидкость в самых разных условиях, так чтобы вы получше прочувствовали эту науку. И хотя вы увидите сложные уравнения и услышите о трудных вещах, наша цель совсем не в том, чтобы изучить все тонкости. Цель этой главы скорее «общеобразовательная», просто я хочу дать вам некоторое понятие о том, как устроен мир. Однако здесь все же есть один пункт, который стоит того, чтобы его выучить: полезно знать простое определение вязкости. С него мы и начнем. Все же остальное предназначено для вашего удовольствия.

В предыдущей главе мы нашли, что законы движения жидкости содержатся в уравнении

В нашем приближении «сухой» воды мы отбра­сывали последнее слагаемое, так что всеми эффектами вязкости мы пренебрегали. Кроме того, мы иногда делали еще дополнительное приближение, считая жидкость несжимаемой, и при этом получали дополнительное урав­нение;

С·v=0.

Это приближение часто оказывается вполне приличным, особенно когда скорость потока много меньше скорости звука. Но в реальных жидкостях мы почти никогда не можем пренебречь внутрен­ним трением, называемым нами вязкостью; большинство интересных вещей в поведении жидкости так или иначе свя­зано именно с этим свойством. Так, мы узнали, что циркуля­ция «сухой» воды никогда не изменяется: если ее не было вначале, то она никогда и не появится. Но в то же время мы повседневно сталкиваемся с циркуляцией в жидкости. Так что нашу теорию надо подправить.

Начнем с важного экспериментального факта. Когда мы занимались потоком «сухой» воды, обтекающей какой-то пред­мет или текущей мимо него, т. е. так называемым «потенциаль­ным потоком», у нас не было причин запретить воде иметь составляющую скорости, тангенциальную к поверхности пред­мета; только нормальная компонента должна была быть равна нулю. Мы не принимали во

внимание возможность возникнове­ния сил сдвига между жидкостью и твердым телом. А вот ока­зывается, хотя это далеко и не очевидно, что во всех случаях, где это было проверено экспериментально, скорость жидкости на поверхности твердого тела в точности равна нулю. Вы заме­чали, конечно, что лопасти вентилятора собирают на себя тонкий слой пыли, и это несмотря на то, что они вращаются в воздухе. Тот же эффект можно наблюдать даже в больших аэродинамических трубах. Почему же пыль не сдувается воз­духом? Несмотря на то что лопасти вентилятора быстро вра­щаются в воздухе, скорость воздуха относительно них, измерен­ная непосредственно на их поверхности, равна нулю, так что поток воздуха не возмущает даже мельчайших пылинок. Мы должны модифицировать теорию так, чтобы она согласо­валась с тем экспериментальным фактом, что во всех обычных жидкостях молекулы, находящиеся рядом с поверхностью, имеют нулевую скорость (относительно поверхности).

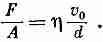
Сначала мы характеризовали жидкость так, что если при­ложить к ней напряжение сдвига, то, сколь бы мало оно ни было, жидкость «поддается» и течет. В статическом случае никаких напряжений сдвига нет. Однако, когда равновесия еще нет, в момент, когда вы давите на жидкость, силы сдвига вполне могут быть. Вязкость как раз и описывает эти силы, возникающие в движущейся жидкости. Чтобы измерить силы сдвига в процессе движения жидкости, рассмотрим такой экспе­римент. Предположим, что имеются две плоские твердые пла­стины, между которыми находится вода (фиг. 41.1), причем одна из пластин неподвижна, тогда как другая движется парал­лельно ей с малой скоростью v0.

Фиг. 41.1. Увлечение жидкости между двумя параллельными пластинками.

Если вы будете измерять силу, требуемую для поддержания движения верхней пластины, то найдете, что она пропорциональна площади пластины и отно­шению v0/d, где d — расстояние между пластинами. Таким образом, напряжение сдвига F/A пропорционально v0/d:

Коэффициент пропорциональности h называется коэффициен­том вязкости.

Если перед нами более сложный случай, то мы всегда можем рассмотреть в воде небольшой плоский прямоугольный объем, грани которого параллельны потоку (фиг. 41.2).

Фиг. 41.2. Напряжения сдви­га в вязкой жидкости.

Силы в этом объеме определяются выражением

Далее, дvx/дy представляет скорость изменения деформаций сдвига, определенных нами в гл. 38, так что силы в жидкости пропорциональны скорости изменения деформаций сдвига.

В общем случае мы пишем

При равномерном вра­щении жидкости производ­ная дuх/ду равна дvy/дx с обратным знаком, a Sxyбудет равна нулю, как это и требуется, ибо в равно­мерно вращающейся жидкости напряжения отсутствуют. (Подобную же вещь мы проде­лывали в гл. 39 при определении еxy.) Разумеется, для Syzи Sгхтоже есть соответствующие выражения.

Поделиться с друзьями: