Чтение онлайн

ЖАНРЫ

Фейнмановские лекции по физике. 9. Квантовая механика II
Шрифт:

Рассмотрим такую модель: пусть в каждом атоме все элект­роны, кроме одного, спарены, и весь магнитный эффект обязан тому, что в каждом атоме остается один неспаренный электрон со спином 1/2. Вообразим еще, что эти электроны расположены в тех самых узлах решетки, где находятся атомы. Модель в об­щих чертах отвечает металлическому никелю.

Кроме того, допустим, что любая пара вращающихся со­седей-электронов взаимодействует друг с другом и что каж­дое такое взаимодействие добавляет в энергию системы по сла­гаемому;

Здесь sпредставляют собой спины, а суммирование идет по всем парам соседей-электронов. Мы уже говорили о по­добной энергии взаимодействия, рассматривая сверхтонкое расщепление водорода, вызываемое взаимодействием магнитных моментов электрона и протона в атоме водорода. Тогда мы выра­жали

это в виде Аsе·sр. На этот раз для данной пары, скажем для электронов из атома № 4 и из атома № 5, гамильтониан имеет вид —Ks4·s5. Каждая такая пара дает по одному слагае­мому, а весь гамильтониан (как это бывает и с классическими энергиями) есть сумма таких слагаемых для каждой взаимо­действующей пары. Энергия написана с множителем —К, так что положительное К отвечает ферромагнетизму, т. е. тому слу­чаю, когда наинизшая энергия получается при параллельности соседних спинов. В реальном кристалле могут появиться и другие слагаемые — взаимодействие с соседом через одного и т. д., но на нашем уровне такие усложнения нам не пона­добятся.

Располагая гамильтонианом (13.1), мы обладаем и полным описанием ферромагнетика (в рамках нашего приближения), так что из него должны получиться все магнитные свойства. Кроме того, из него же должны получаться и термодинамические свойства при намагничивании. Если мы сможем определить все уровни энергии, то можно будет найти и свойства кристалла при температуре Т, основываясь на том, что для системы вероят­ность оказаться в данном состоянии с энергией Е пропорцио­нальна

. Эта задача никогда не была решена до конца.

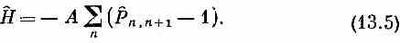
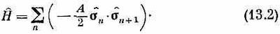
Некоторые задачи мы сможем разобрать на простом примере, когда все атомы лежат на одной прямой — случай одномерной решетки. Все эти представления вы потом легко сможете распро­странить на трехмерную решетку. Возле каждого атома имеется электрон; у него есть два возможных состояния — либо спином вверх, либо вниз, и вся система описывается перечислением на­правлений спинов. В качестве гамильтониана системы возьмем оператор энергии взаимодействия. Интерпретируя спиновые векторы (13.1) как сигма-операторы, или сигма-матрицы, мы напишем для линейной решетки

В этом уравнении для удобства написан множитель А/2 (так что некоторые из дальнейших уравнений в точности совпадут с уравнениями из гл. 11).

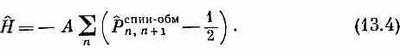
Каково же наинизшее состояние системы? Состояние наинизшей энергии это то состояние, когда все спины параллельны, скажем все глядят вверх. Это состояние можно обозначить ! ... + + + + ...>, или|осн.), чтобы подчеркнуть, что оно «ос­новное», наинизшее. Энергию этого состояния легко себе пред­ставить. Можно, например, расписать все сигма-векторы через s^х, s^уи s^г, аккуратно подсчитать, каков вклад каждого из них в энергию основного состояния, и все затем сложить. Путь, однако, можно сильно сократить. В гл. 10, § 2 (вып. 8) мы ви­дели, что s^i·s^jможет быть выражено через спин-обменный опе­ратор Паули:

где оператор р^ijспин-°бм обменивает спины i– го и j– го электронов. После этой подстановки гамильтониан обращается в

Теперь уже легко подсчитать, что происходит в различных со­стояниях. Например, если и i и j смотрят вверх, то обмен спи­нами ничего не меняет, так что P^ij, действуя на состояние, опять приводят к тому же состоянию, т. е. оно равнозначно умножению на +1. Выражение Р^ij1/2

просто равно 1/2. (В дальнейшем слова «спин-обм» над Р мы писать не будем.)

В основном состоянии все спины направлены вверх; значит, обмен любой парой спинов приводит опять к исходному состоя­нию. Основное состояние является стационарным. Если подейст­вовать на него гамильтонианом, получится опять то же состоя­ние, умноженное на сумму чисел —(А/2), по одному на каждую пару спинов. Иначе говоря, энергия системы в основном состоя­нии составляет по —А/2 на атом.

Теперь подсчитаем энергии некоторых возбужденных состоя­ний. Удобно будет отсчитывать энергии от основного состояния, т. е. в качестве нулевой энергии выбрать энергию основного состояния. Этого можно добиться, добавив к каждому слагаемо­му в гамильтониане по энергии А/2. Тогда 1/2 в (13.4) просто заменится единицей. Наш новый гамильтониан будет равен

При таком гамильтониане энергия низшего состояния равна нулю; спин-обменный оператор равнозначен умножению на единицу (для основного состояния), что сокращается с единицей в каждом слагаемом.

Для описания состояний, отличных от основного, нам пона­добится своя совокупность базисных состояний. Удобно подойти к делу так: сгруппировать состояния в соответствии с тем, у скольких электронов спин направлен вниз: у одного ли, у двух и т. д. Конечно, состояний, когда один спин направлен вниз, очень много: он может быть опрокинут, скажем, у атома № 4 или у № 5, или у № 6... И можно, конечно, в качестве базисных состояний выбрать именно такие состояния, обозначив их |4>, |5>, | 6>, ... Однако для дальнейшего удобнее, если мы будем отмечать «из ряда вон выходящий атом» (тот, у которого спин направлен вниз) его координатой х. Иначе говоря, мы опре­делим состояние | х5> как такое, в котором все электроны вра­щаются спинами вверх, и один только (тот, что возле атома в точке х5) вращается спином вниз (фиг. 13.1).

Фиг. 13.1. Базисное состояние |x5> системы спинов, расположенных по одной линии.

Все спины направлены вверх, а тот, что в х 5 , перевернут.

Вообще, |хn> будет обозначать состояние с одним перевернутым спином, рас­положенным в координате хn n– гоатома.

Как же действует гамильтониан (13.5) на состояние |x5>? Один из членов гамильтониана это, скажем, — А (Р^7,8– 1). Оператор P^7,8 обменивает спинами два соседних атома № 7 и № 8. Но в состоянии |x5> они оба направлены вверх, так что ничего не меняется; Р^7,8 равнозначно умножению на единицу:

Отсюда следует

Стало быть, все члены гамильтониана, кроме тех, куда вхо­дит атом № 5, дадут нуль. Операция P^4,5, действуя на со­стояние |x5>, обменивает спинами атом № 4 (со спином вверх) и атом № 5 (со спином вниз). В результате появляется со­стояние, в котором все спины смотрят вверх, кроме атома в точке 4. Иначе говоря,

Точно так же

Поделиться с друзьями: