Чтение онлайн

ЖАНРЫ

Гейзенберг. Принцип неопределенности. Существует ли мир, если на него никто не смотрит?
Шрифт:

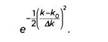
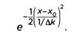
Иными словами, волновое число будет близко к k0 с отклонением k. График гауссовой функции представлен на рисунке 2. Функция принимает максимальное значение тогда, когда волновое число совпадает с центральным значением. Мы описали отклонение графика функции, когда она принимает значение е– 1/2 , то есть примерно 0,61. На практике за пределами интервала, границы которого отстоят от центрального значения на три стандартных отклонения, значениями этой функции можно пренебречь. Результатом суперпозиции будет волна, подобная изображенной на рисунке 1, с волновым числом k0. Она будет описываться функцией

Эта

совокупность волн называется гауссовым волновым пакетом, который, как вы увидели, распространяется не во всей области пространства, а лишь в окрестностях точки x0 с отклонением х = 1/k. Иными словами, отклонения волновых чисел и размеры в пространстве связаны между собой: k • x = 1. Именно так выглядит соотношение Гейзенберга для классических волн.

Сделаем еще один шаг вперед и напомним, что импульс частицы определяется на основе соответствующего волнового числа: p =

h
k. Редуцированная постоянная Планка указывает, что речь идет о квантовой механике. Результирующее соотношение будет записываться так: р • х =
h
, что соответствует неравенству Гейзенберга.

Рис. 1

Рис. 2

Проблема заключается в том, что наблюдать это движение нельзя – мы можем увидеть лишь общее поведение большого числа атомов, проявлением которого служит, к примеру, частота света, излучаемого или поглощаемого ими. Для объяснения этих свойств требовалась новая механика, в которой были описаны «разрывы», проявлявшиеся в виде дискретных квантов, или «порций», энергии и кванто-вых скачков между энергетическими уровнями. Так как эти разрывы очень малы, их нельзя увидеть на макроуровне, и мир кажется нам непрерывным. Сам Гейзенберг говорил:

«Если допустить, что дискретность является в некотором роде типичной особенностью процессов, проходящих на малых расстояниях и в малые промежутки времени, то весьма вероятно, что мы придем к противоречию, говоря о понятиях «положение» и «скорость». Классическое представление о траектории частицы как о непрерывной кривой следует заменить дискретной последовательностью точек в пространстве и времени. В силу этого классические идеи нельзя использовать при одновременном измерении положения и импульса частицы».

Классическая частица описывается уравнениями, задающими ее положение и скорость в любой момент. Однако эти понятия имеют смысл для атомных частиц только в том случае, если мы говорим об их измерении. Иными словами, физик знает только то, что может измерить, – в этом и заключается принцип неопределенности.

Некоторые расчеты привели Гейзенберга к следующему результату. Допустим, что в эксперименте мы определили положение частицы x с точностью x, а также импульс частицы p с точностью p. Это означает, что положение частицы с некоторой вероятностью заключено на интервале между x – x и x + x. Может ли точность быть сколь угодно малой? Гейзенберг доказал, что это невозможно, так как произведение этих величин сопоставимо с постоянной Планка. Это соотношение записывается так: xp ~ h. Это выражение передает взаимное ограничение: чем меньше будет один множитель, тем больше будет другой, чем точнее мы определим одну из этих величин, тем меньше будет точность измерения другой. Было строго доказано, что это соотношение имеет вид неравенства:

x – p=>

h
/2.

Произведение величин, показывающих, с какой точностью можно измерить положение частицы и ее импульс, ограничено редуцированной постоянной Планка

h
= h/(2), разделенной на 2.

Единственный вывод из этого принципа, не противоречащий квантовой механике, заключается в том, что положение и момент электрона нельзя одновременно измерить с произвольной точностью: чем точнее мы определим положение частицы, тем менее точно мы сможем определить ее импульс в этот момент времени, и наоборот. Подобные отношения связывают и другие пары величин, к примеру энергию и время или момент импульса и угол, – такие величины называются канонически сопряженными. Их произведение измеряется в тех же единицах, что и действие, то есть, подобно постоянной Планка, определяется как произведение энергии на время.

Напомним один из результатов, полученных Борном и Йорданом: операция умножения матриц, соответствующих этим величинам, не обладает коммутативностью, и это свойство доказывает приведенное выше неравенство.

Бор с энтузиазмом отнесся к заключениям Гейзенберга, так как увидел в них проявление корпускулярно-волнового дуализма. Однако, прочитав рукопись, он обнаружил ошибку, которая стала предметом долгих и жарких споров двух ученых. Эта ошибка содержалась не в рассуждениях или выводах, а в примере с гамма-лучевым микроскопом, который Гейзенберг использовал для объяснения полученных результатов. Дискуссия Бора и Гейзенберга продолжалась несколько дней и осложнялась тем, что статья уже была опубликована. Позднее Гейзенберг признавался: «Я помню, что все закончилось, когда я просто расплакался, не в силах справиться с давлением Бора». И все же Гейзенбергу пришлось признать правоту оппонента. В примечании в конце статьи Гейзенберг упомянул, что Бор помог ему увидеть некоторые важные аспекты:

«Прежде всего, неопределенность при наблюдениях не основана исключительно на существовании дискретностей, но непосредственно связана с требованием того, чтобы одновременно удовлетворялись результаты различных опытов, описываемых корпускулярной теорией, с одной стороны, и волновой теорией – с другой».

Рассмотрим подробнее пример, иллюстрирующий квантовую неопределенность.

Микроскоп Гейзенберга

Гейзенберг описал микроскоп, позволяющий определять положение и скорость электрона. В этом микроскопе вместо видимых лучей света использовались гамма-лучи, то есть лучи света с очень малой длиной волны. Речь идет о мысленном эксперименте, то есть о логически возможном, но нереализуемом: сегодня не существует материалов, способных фокусировать гамма-лучи подобно тому, как линзы фокусируют лучи видимого спектра. Однако микроскоп Гейзенберга подчинялся тем же принципам, что и классические микроскопы. Лучи видимой части спектра не позволяют увидеть объекты, размер которых значительно меньше длины волны этих лучей, заключенной на интервале 400-700 нм. С их помощью можно увидеть бактерии, размер которых исчисляется микрометрами, то есть тысячами нанометров, однако вирусы, в сто раз меньшие, с помощью классического микроскопа уже не различить.

Гейзенберг предположил, что точность измерения положения электрона определяется длиной волны гамма-лучей x = , а точность измерения импульса равна точности измерения импульса фотона, определяемой по формуле де Бройля, p ~ h/. Отсюда следует соотношение ?x • p ~ h. Однако Бор показал, что эксперимент основан на двух противоречивых представлениях о природе света. Любопытно, что, помимо интерпретации, связанной с корпускулярно-волновым дуализмом, Гейзенберг ничего не знал о разрешающей способности описанного им микроскопа – то же произошло, когда он сдавал экзамен на получение докторской степени.

Разрешающая способность микроскопа

В силу дифракции света изображение точки, наблюдаемой через линзу или систему линз, представляет собой не точку, а ряд расплывчатых окружностей (см. Рис. 1).

Рис. 1

Рис. 2

Если две точки расположены очень близко друг от друга, определить, одна это точка или две, невозможно из-за наложения окружностей. Разрешающая способность микроскопа – это наименьшее расстояние между двумя точками, которые можно различить при наблюдении через систему линз. Законы оптики позволяют доказать, что это расстояние определяется по формуле

где коэффициент 1,22 получен по результатам анализа расплывчатой окружности, которая является изображением точки. Как показано на рисунке 2, на разрешающую способность микроскопа также влияют длина световой волны , показатель преломления среды между объективом и предметом и синус угла (Рис. 2), равного половине угла, стягиваемого линзой и наблюдаемым объектом. Если между объективом и предметом находится обычный воздух, показатель преломления будет равен единице, а общий коэффициент будет равен 0,61. При качественной оценке этот коэффициент часто можно принять равным единице.

Поделиться с друзьями: