Чтение онлайн

ЖАНРЫ

Шрифт:

30. Геометрический смысл уравнения Бернулли

Основу теоретической части такой интерпретации составляет гидравлическое понятие напор, которое принято обозначать буквой Н, где

Гидродинамический напор Н состоит из следующих разновидностей напоров, которые входят в формулу (198) как слагаемые:

1) пьезометрический напор, если в (198) p = pизг, или гидростатический, если p /= pизг;

2) U2/2g – скоростной напор.

Все слагаемые имеют линейную размерность, их можно считать высотами. Назовем эти высоты:

1) z – геометрическая высота, или высота по

положению;

2) p/g – высота, соответствующая давлению p;

3) U2/2g – скоростная высота, соответствующая скорости.

Геометрическое место концов высоты Н соответствует некоторой горизонтальной линии, которую принято называть напорной линией или линией удельной энергии.

Точно так же (по аналогии) геометрические места концов пьезометрического напора принято называть пьезометрической линией. Напорная и пьезометрическая линии расположены друг от друга на расстоянии (высоте) pатм/g, поскольку p = pизг + pат, т. е.

Отметим, что горизонтальная плоскость, содержащая напорную линию и находящаяся над плоскостью сравнения, называется напорной плоскостью. Характеристику плоскости при разных движениях называют пьезометрическим уклоном Jп, который показывает, как изменяется на единице длины пьезометрический напор (или пьезометрическая линия):

Пьезометрический уклон считается положительным, если он по течению струйки (или потока) уменьшается, отсюда и знак минус в формуле (3) перед дифференциалом. Чтобы Jп остался положительным, должно выполняться условие

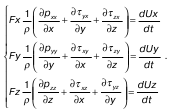
31. Уравнения движения вязкой жидкости

Для получения уравнения движения вязкой жидкости рассмотрим такой же объем жидкости dV = dxdydz, который принадлежит вязкой жидкости (рис. 1).

Грани этого объема обозначим как 1, 2, 3, 4, 5, 6.

Рис. 1. Силы, действующие на элементарный объем вязкой жидкости в потоке

Будем считать, что для любой точки жидкости

xy= yx; xz= zx; yz= zy. (1)

Тогда из шести касательных напряжений остается только три, поскольку попарно они равны. Поэтому для описания движения вязкой жидкости оказываются достаточными всего шесть независимых компонентов:

pxx, pyy, pzz, xy(или yx), xz(zx), yz(zy).

Аналогичное уравнение легко можно получить для осей OY и OZ; объединив все три уравнения в систему, получим (предварительно разделив на )

Полученную систему называют уравнением движения вязкой жидкости в напряжениях.

32. Деформация в движущейся вязкой жидкости

В вязкой жидкости имеются силы трения, в силу этого при движении один слой тормозит другой. В итоге возникает сжатие, деформация жидкости. Из-за этого свойства жидкость и называют вязкой.

Если вспомнить из механики закон Гука, то по нему напряжение, которое возникает в твердом теле, пропорционально соответствующей

относительной деформации. Для вязкой жидкости относительную деформацию заменяет скорость деформации. Речь идет об угловой скорости деформации частицы жидкости d/dt, которую поодругому называют скоростью деформации сдвига. Еще Исааком Ньютоном установлена закономерность о пропорциональности силы внутреннего трения, площади соприкосновения слоев и относительной скорости слоев. Также им был установлен

коэффициент пропорциональности динамической вязкости жидкости.

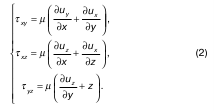
Если выразить касательное напряжение через его компоненты, то

А что касается нормальных напряжений ( —это касательная составляющая деформации), которые зависимы от направления действия, то они зависят также от того, к какой площади они приложены. Это их свойство называют инвариантностью.

Сумма значений нормальных напряжений

Чтобы окончательно установить зависимость между pud/dt через зависимость между нормальными

(pxx,pyy, pzz) и касательными (xy= yx; yx= xy; zx= xz), представив из (3)

pxx= —p + p'xx, (4)

где p'xx– добавочные нормальные напряжения, которые и зависят от направления воздействия, по

аналогии с формулой (4) получим:

Сделав то же самое для компонентов pyy, pzz, получили систему.

33. Уравнение Бернулли для движения вязкой жидкости

Элементарная струйка при установившемся движении вязкой жидкости

Уравнение для этого случая имеет вид (приводим его без вывода, поскольку его вывод сопряжен с применением некоторых операций, приведение которых усложнило бы текст)

Потеря напора (или удельной энергии) hПp – результат того, что часть энергии превращается из механической в тепловую. Поскольку процесс необратим, то имеет место потеря напора.

Этот процесс называется диссипацией энергии.

Другими словами, hПp можно рассматривать как разность между удельной энергией двух сечений, при движении жидкости от одного к другому происходит потеря напора. Удельная энергия – это энергия, которую содержит единичная масса.

Поток с установившимся плавно изменяющемся движением. Коэффициент удельной кинематической энергии Х

Для того, чтобы получить уравнение Бернулли в этом случае, приходится исходить из уравнения (1), то есть из струйки надо переходить в поток. Но для этого нужно определиться, что представляет собой энергия потока (которая состоит из суммы потенциальной и кинематической энергий) при плавно изменяющемся потоке

Разберемся с потенциальной энергией: при плавном изменении движения, если поток установившийся

Окончательно при рассматриваемом движении давление по живому сечению распределено согласно гидростатическому закону, т. е.

где величину Х называют коэффициентом кинетической энергии, или коэффициентом Кориолиса.

Коэффициент Х всегда больше 1. Из (4) следует:

Поделиться с друзьями: