Чтение онлайн

ЖАНРЫ

Шрифт:

где ii – скорость и площадь одного и того же сечения с номером i.

Уравнение (3) называют уравнением неразрывности в гидравлической форме.

22. Дифференциальные уравнения движения невязкой жидкости

Уравнение Эйлера служит одним из фундаментальных в гидравлике, наряду с уравнением Бернулли и некоторыми другими.

Изучение гидравлики как таковой практически начинается с уравнения Эйлера, которое служит исходным пунктом для выхода на другие выражения.

Попробуем вывести это уравнение. Пусть имеем бесконечно малый параллелепипед с гранями dxdydz в невязкой

жидкости с плотностью . Он заполнен жидкостью и движется как составная часть потока. Какие силы действуют на выделенный объект? Это силы массы и силы поверхностных давлений, которые действуют на dV = dxdydz со стороны жидкости, в которонаходится выделенный dV. Как силы массы пропорциональны массе, так и поверхностные силы пропорциональны площадям, на которые оказывается давление. Эти силы направлены к граням вовнутрь по нормали. Определим математическое выражение этих сил.

Назовем, как и при получении уравнения неразрывности, грани параллелепипеда:

1, 2 – перпендикулярные к оси ОХ и параллельные оси ОY;

3, 4 – перпендикулярные к оси OY и параллельные оси ОХ;

5, 6 – перпендикулярные к оси OZ и параллельные оси ОХ.

Теперь нужно определить, какая сила приложена к центру масс параллелепипеда.

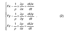
Сила, приложенная к центру массы параллелепипеда, которая и заставляет эту жидкость совершать движение, есть сумма найденных сил, то есть

Получили уравнение движения параллелепипеда с dV1 по направлению оси Х.

Делим (1) на массу dxdydz:

Полученная система уравнений (2) есть искомое уравнение движения невязкой жидкости – уравнение Эйлера.

К трем уравнениям (2) добавляются еще два уравнения, поскольку неизвестных пять, и решается система из пяти уравнений с пятью неизвестными: одним из двух дополнительных уравнений является уравнение неразрывности. Еще одним уравнением является уравнение состояния. Например, для несжимаемой жидкости уравнением состояния может быть условие = const.

Уравнение состояния должно быть выбрано таким образом, чтобы оно содержало хотя бы одно из пяти неизвестных.

23. Уравнение Эйлера для разных состояний

Уравнение Эйлера для разных состояний имеет разные формы записи. Поскольку само уравнение получено для общего случая, то рассмотрим несколько случаев:

1) движение неустановившееся.

2) жидкость в покое. Следовательно, Ux = Uy = Uz = 0.

В таком случае уравнение Эйлера превращается в уравнение равномерной жидкости. Это уравнение также дифференциальное и является системой из трех уравнений;

3) жидкость невязкая. Для такой жидкости уравнение движения имеет вид

где Fl – проекция плотности распределения сил массы на направление, по которому направлена касательная к линии тока;

dU/dt – ускорение частицы

Подставив U = dl/dt в (2) и учтя, что (U/l)U = 1/2(U2/l), получим

уравнение.

Мы привели три формы уравнения Эйлера для трех частных случаев. Но это не предел. Главное – правильно определить уравнение состояния, которое содержало хотя бы один неизвестный параметр.

Уравнение Эйлера в сочетании с уравнением неразрывности может быть применено для любого случая.

Уравнение состояния в общем виде:

Таким образом, для решения многих гидродинамических задач оказывается достаточно уравнения Эйлера, уравнения неразрывности и уравнения состояния.

С помощью пяти уравнений легко находятся пять неизвестных: p, Ux, Uy, Uz, .

Невязкую жидкость можно описать и другим уравнением

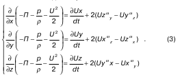
24. Форма Громеки уравнения движения невязкой жидкости

Уравнения Громеки – попросту другая, несколько преобразованная форма записи уравнения Эйлера.

Например, для координаты x

Чтобы его преобразовать, используют уравнения компонентов угловой скорости для вихревого движения.

Преобразовав точно так же y-вую и z-вую компоненту, окончательно приходим к форме Громеко уравнения Эйлера

Уравнение Эйлера было получено российским ученым Л. Эйлером в 1755 г., и преобразовано в вид (2) опять же российским ученым И. С. Громекой в 1881 г

Уравнение Громеко (под воздействием массовых сил на жидкость):

Поскольку

– dП = Fxdx + Fydy + Fzdz, (4)

то для компонентов Fy, Fz можно вывести те же выражения, что и для Fx, и, подставив это в (2), прийти к (3).

25. Уравнение Бернулли

Уравнение Громеки подходит для описания движения жидкости, если компоненты функции движения содержат какуююто вихревую величину. Например, эта вихревая величина содержится в компонентах x, y,z угловой скорости w.

Условием того, что движение является установившимся, является отсутствие ускорения, то есть условие равенства нулю частных производных от всех компонентов скорости:

Если теперь сложить

то получим

Если проецировать перемещение на бесконечно малую величину dl на координатные оси, то получим:

dx = Uxdt; dy = Uy dt; dz = Uzdt. (3)

Теперь помножим каждое уравнение (3) соответственно на dx, dy, dz, и сложим их:

Предположив, что правая часть равна нулю, а это возможно, если вторая или третья строки равны нулю, получим:

<
Поделиться с друзьями: