Чтение онлайн

ЖАНРЫ

Государство и рынок: механизмы и методы регулирования в условиях преодоления кризиса

авторов Коллектив

Шрифт:

Исследования показывают, к главным методам антикризисного управления следуют отнести мониторинг, контроллинг, диверсификацию, реструктуризацию и санацию предприятия [232] (табл. 6.2). Их качественный анализ дал возможность сделать такие выводы: все методы целесообразнее классифицировать за фазой развертывания кризиса; методы разделяются на универсальные (то есть приемлемые для всей фазы кризисы) и специфические; методом, применение которого целесообразно на всех фазах кризиса, является мониторинг.

Поскольку комплексной характеристикой результатов функционирования предприятия является его финансовое состояние, то в дальнейшем исследуется именно мониторинг финансового состояния предприятия. Как уже отмечалось, серьезной проблемой остается инструментарий, с помощью которого осуществляется антикризисный мониторинг. Современное состояние разработки методического обеспечения диагностики кризисного состояния предприятия характеризуется разнообразием подходов и инструментов ее проведения.

Таблица 6.2. Классификация методов антикризисного управления

Практически ни одно исследование зарубежных и отечественных специалистов по финансовому анализу и антикризисному управлению не обходится без изложения отдельных методов, которые могут использоваться для осуществления этой работы. При этом многие попытки формализовать процесс оценки уровня риска банкротства не привели к созданию модели, которая бы была защищена от неопределенности.

Производственно-коммерческую деятельность предприятия в большей или меньшей степени характеризуют множество самых различных показателей, которые могут быть разделены на определенные группы. Как нам представляется, в контексте проводимого нами исследования следует выделить две основные группы показателей, которые являются в основном определяющими при оценке уровня производственно-предпринимательской деятельности предприятия

и его финансовой устойчивости: (а) показатели рыночного успеха продукции предприятия в данный период времени; (б) показатели финансовой устойчивости предприятия в рыночной среде.

Существующая база исследований рекомендует в группах «а» и «б» значительное количество показателей, учесть которые в ряде случаев или вообще не представляется возможным или этот учет несет в себе значительную погрешность, которая приводит в некоторых случаях к ошибочным выводам. В этой связи нами выбраны, оценены и обоснованы с каждой из указанных выше групп только по два показателя, которые, на наш взгляд, позволяют в итоге сделать вполне достоверные выводы и рекомендации.

Из показателей группы «а» нами выделены показатели объема производства и объема реализации продукции и их взаимосвязь на каждом этапе рассматриваемого периода времени. Из показателей группы «б» – показатель дебиторской задолженности и показатель расширенной кредиторской задолженности, т. е. объемы финансовой задолженности данного предприятия своим кредиторам, в бюджет государства и своим работникам в виде заработной платы.

Исследование взаимодействия указанных показателей в течение определенного периода времени позволяет определить объективные тенденции в изменении уровня работоспособности конкретного предприятия, дает возможность оценить перспективы его устойчивого стабильного развития. Вместе с тем, выделенные нами показатели используются в различных корреляционных зависимостях, описывающих статическое состояние и динамические перспективы развития предприятия, вид которых во многом определяется уровнем серийности производственной деятельности предприятия, его производственной программой, размером себестоимости выпускаемой продукции.

Для объективной оценки состояния производственно-коммерческой деятельности машиностроительного предприятия предлагается использовать механизм взаимодействия выбранных показателей из группы «а» и группы «б» за период времени равный одному году (кварталу, месяцу, декаде и т. п.). Как нам представляется, характеристика производственной деятельности машиностроительного предприятия может быть получена с использованием функции F1, формирование которой имеет двухвариантный алгоритм:

Первый вариант:

F1 = tg [π (y – x)/4 y], если x > y. (6.1)

Второй вариант:

F1 = tg [π (x – y)/4x], если y > x, (6.2)

где х – объем производства продукции, тыс. грн.; у – объем реализации продукции, тыс. грн.

Определенным ограничением данной функции является то, что в обоих вариантах должно соблюдаться условие (y + x) > 0. Это означает, что предлагаемая функция F1 в обеих своих разновидностях предполагает анализ производственно-коммерческой деятельности только производственно активных предприятий, т. е. обязательно осуществляющих производство и (или) сбыт самостоятельно изготовленной продукции. С учетом некоторых преобразований функции F1, ее разновидности (1) и (2) принимают вид более удобный для исследовательского анализа и экономической интерпретации отдельных значений данной функции:

первый вариант (функция определена в интервале [0; 1]):

второй вариант (функция определена в интервале [-1; 0]):

Проведем исследование экономической сущности предлагаемой для анализа функции, а также предложим экономическую интерпретацию отдельных наиболее интересных ее значений. При построении функции F1 мы исходили из посылки, что она должна отражать основные варианты взаимодействия объема производства (х) и объема реализации продукции (у). В предложенном виде функция F1 характеризует как успешную работу машиностроительного предприятия (при условии у > х), так и наличие определенных рыночных проблем в его работе (при условии х > у). Указанная разность между объемом производства и объемом реализации продукции может быть использована в качестве определенной нормировки в зависимости от значений х или у.

Выбор для функции F1 тангенциальной аналитической зависимости позволяет ограничить область значений данной функции интервалом [-1; +1] и в силу нелинейности функции F1 есть возможность отследить градиент изменения объемов производства продукции или объемов реализации продукции на рынке. В частности, можно прогнозировать интервалы падения объема производства (при х → 0) или объема продаж (у → 0). Таким образом, исходя из изложенных выше посылок, диапазон значений функции F1 характеризуется определенными характерными состояниями, экономическая интерпретация которых может быть сведена к посылкам, суть которых представлена в табл. 6.3.

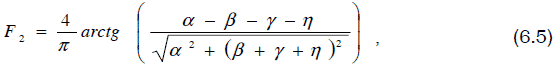
Вместе с тем, как нам представляется, использование в антикризисном мониторинге только значений функции F1 является необходимым, но не достаточным условием получения объективной и достоверной информации о существующей ситуации на предприятии. В этой связи, предлагается к использованию еще одна мониторинговая функция F2, отражающая внешние финансовые взаимоотношения предприятия-изготовителя со своими контрагентами. В основу формирования функции F2 предлагается положить показатели производственно-финансовой устойчивости предприятия в рыночной среде, в частности, дебиторско-кредиторские соотношения. В данном случае предлагается в показателе дебиторской задолженности учитывать объемы финансовой задолженности данному предприятию его должниками (традиционный подход к формированию данного показателя), а показатель кредиторской задолженности трактовать в более расширенном, несколько отличающимся от традиционной формулировки смысле. Предлагается к кредиторской задолженности относить объемы финансовой задолженности данного предприятия своим кредиторам, а также долги предприятия в бюджет (государственный и местный) и свои работникам в виде зарплаты.

Таблица 6.3. Экономическая характеристика области значений функции F1

С учетом приведенных выше посылок аналитический вид предлагаемой функции F2 предлагается следующий:

где α – дебиторская задолженность предприятия, тыс. грн.; β – кредиторская задолженность, тыс. грн.; γ – задолженность предприятия перед бюджетом (государственным и/или местным), тыс. грн.; η – задолженность предприятия по заработной плате своему персоналу, тыс. грн.

Функция F2 предназначена для оценки финансового состояния конкретного предприятия, она дает возможность выявить и описать особые финансовые ситуации на предприятии (например: взяты и не возвращены кредиты, тогда (β+γ+η)>α). Выбор функции арктангенса обусловлен более точным и более объективным анализом ситуации, когда сумма (β+γ+η) стремится к значению α, а в целом функция F2 стремится к нулю. Также выбору вида аналитической функции арктангенса способствует и тот факт, что она в большей мере поддается нормировке в интервале значений [-1; +1]. Анализ области значений функции F2 позволяет выделить и обосновать ряд характерных ситуаций в финансовой деятельности предприятия (табл. 6.4).

Таблица 6.4. Экономическая характеристика области значений функции F2

Таким образом, область расчетных значений функции F2 позволяет проанализировать и оценить финансовые показатели работы машиностроительного предприятия, осуществлять постоянный финансовый мониторинг своей деятельности, своевременно предупреждать нежелательные тенденции, как на самом предприятии, так и на рынке его продукции. Если мониторинговый контроль значений функции F2 определяет ее стремление к значению к (-1), то это значит, что суммарные кредиторские задолженности предприятия существенно превышают суммарные обязательства должников предприятия, которое может быть функционирует не по средствам, имея чрезмерный объем кредиторских обязательств. Стремление функции F2 к нулю свидетельствует о том, что в рамках определенной доверительной области дефицит платежного баланса предприятия не вызывает особых опасений. Когда наблюдаются тенденции приближения значения функции F2 к (+1) – на предприятии наметились устойчивые предпосылки достаточно успешного функционирования.

Использование в целях антикризисного мониторинга финансовых и производственных показателей работы машиностроительных предприятий функций F1 и F2 дает свои положительные результаты. Однако, каждая из указанных функций отражает результаты состояния в отдельной сфере – производственной или финансовой, которые, несмотря на их важнейшее значение в деятельности предприятия, имеют достаточно автономные сферы влияния. Поэтому, как нам представляется, комплексный антикризисный мониторинг финансово-экономических показателей работы машиностроительного предприятия может быть осуществлен только с одновременным (интегральным) использованием функций F1 и F2. Для достижения этой цели предлагается использовать декартовую систему координат, нормировка осей в которой будет осуществляться с использованием значений функций F1 иF2. В связи с тем, что область значений каждой из рассматриваемых нами функций ограничена значениями +1…-1, это означает, что внутренние

точки квадрата (-1)? F1? (+1); (-1)? F2? (+1) охватывают все многообразие совместных значений функций F1 и F2. Определив в каждый конкретный момент времени значение данных функций, мы находим на фазовой плоскости точку и в зависимости от ее расположение можем сделать экономический комментарий производственно-финансового состояния предприятия.

Мониторинг значений функций F1 и F2 в течение нескольких периодов по одному и тому же предприятию дает возможность отследить изменение положения интегральной оценки на фазовой плоскости (движение интегральной точки внутри квадрата) и тем самым оценить тенденции в изменении состояния дел на предприятии и, что является чрезвычайно важным, оценить эффективность предпринимаемых на предприятии усилий по улучшению (укреплению) производственно-финансовой ситуации. На рис. 6.1 приведен пример построения такой фазовой плоскости.

Рис. 6.1. Фазовая плоскость совместного действия функций F1 и F2

Фаза I A. Характеризуется превышением объема продаж над объемами производства (y > x) и наличием отрицательного сальдо по дебиторскокредиторским обязательствам предприятия [α < (β + γ + η)]. В связи с тем, что существующих объемов производства недостаточно для покрытия имеющегося спроса, продукция частично продается со складов. Финансовая ситуация на предприятия в целом неудовлетворительная: предприятия находится в ранге должника, так как его долги превышают долговые обязательства его партнеров по бизнесу. Данная фаза находится в области значений рассматриваемых функций -1 < F1 < 0 и 0 < F2 < 1, что позволяет сделать определенные выводы и обобщения. Во-первых, чем ближе значение функции F2 к значению «1», тем успешнее продается продукция предприятия на рынке. Во-вторых, чем ближе значение функции F1 к значению (-1), тем большие финансовые проблемы испытывает предприятие. В-третьих, более положительную ситуацию на предприятии и его рынке характеризует одновременное стремление F1 и F2 к нулю.

Фаза II B. Область значений этой части фазовой плоскости характеризуется значениями фазообразующих функций в пределах: 0 < F1 < 1 и 0 < F2 < 1. Экономическое содержание данной фазы сводится к следующим положениям. Во-первых, это область достаточно успешной деятельности предприятия на рынке. Оно имеет положительное дебиторско-кредиторское сальдо (долги предприятию превышают собственные долги по кредитам), т. е. α > (β + γ + η), что позволят предприятию достаточно уверенно чувствовать себя как при проведении рыночных операций, так и при принятии решении в отношении инновационно-инвестиционных проектов даже с достаточно высоким уровнем риска. Во-вторых, в связи с наличием достаточно большого уровня спроса на продукцию предприятия (y > x), оно имеет возможность не только успешно реализовать всю произведенную продукцию, но и устранить накопившиеся с прошлых, не столь удачных, временных периодов складские запасы товаров. В качестве определенной опасности и повышенного риска в этой части фазовой плоскости следует отметить сложности в организации производственного процесса (выяснить и устранить причины нехватки произведенной продукции для удовлетворения возрастающих потребностей потребителей), а также трудности в возврате дебиторской задолженности, которые очень даже возможны в данном случае.

Фаза III C. Для данной фазы характерным являются области значения исследуемых функций 0 < F1 < 1 и -1 < F2 < 0, что дает возможность сделать следующие выводы и рекомендации. Во-первых, финансовое положение предприятие, анализ которого производится, имеет достаточно устойчивые позиции, так как α > (β + γ + η), т. е. предприятие имеет положительное дебиторско-кредиторское сальдо. Во-вторых, несмотря на пока еще устойчивое финансовое положение, предприятию угрожает неудовлетворительное развитие рыночной ситуации, которая характеризуется снижением спроса на производимую продукцию (x > y) и увеличением складских запасов нереализованных товаров. Работа предприятия «на склад» в принципе возможна, но в течение не очень продолжительного времени, в связи с ограниченными складскими мощностями и объемами собственных оборотных средств.

Фаза IV D. Это наименее комфортная и в определенной мере чрезвычайно опасная для данного предприятия часть фазовой плоскости. Такое утверждение подтверждается следующими посылками. Во-первых, область значений каждой из исследуемых функций F1 и F2 находится в зоне наибольшего для предприятия риска наступления кризисных явлений, функции имеют отрицательные значения. Их совместное действие в нежелательном направлении существенно усугубляет кризисные явления на предприятии. Во-вторых, предприятию необходимо срочно усиливать свои рыночные позиции, так как низкий спрос на производимые товары (х > у) неизбежно будет ухудшать и без того сложную финансовую ситуацию на предприятии. В-третьих, отрицательное дебиторско-кредиторское сальдо предприятия [α < (β + γ + η)] не позволяет предпринять действенных мер по кардинальному изменению рыночной ситуации. Данное положение дополнительно усугубляется продолжением производства продукции сверх ее потребности, что ведет к заполнению складских помещений и превышению нормативов оборотных средств. Анализ показывает, чем ближе значение функции F2 к (-1), тем все меньше и меньше продается продукция предприятия на рынке, а чем ближе значение функции F1 к значению (-1), тем большие финансовые проблемы испытывает предприятие. И, наконец, наибольшей степени отрицательную ситуацию на предприятии и его рынке характеризует одновременное стремление обеих функций к (-1).

Таким образом, область расчетных значений совместного действия функций F1 и F2 позволяет проанализировать и оценить рыночные, производственные и финансовые показатели работы машиностроительного предприятия, осуществлять постоянный производственно-финансовый мониторинг своей деятельности, своевременно предупреждать нежелательные тенденции как на самом предприятии, так и на рынке его продукции.

На каждом из рассмотренных квадрантов фазовой плоскости совместного действия функций F1 и F2 значение их аргументов может колебаться в достаточно широких пределах, что может в итоге выйти за рамки изложенных выше выводов и рекомендаций. Например, для «фазы I А» значения функций F1 и F2 «0,1» и «-0,1» соответствует принципиально другому состоянию дел на предприятии (довольно стабильное и в целом положительное состояние дел), чем при значении этих же функций «1» и «-1» (резко обострившиеся тенденции ухудшения микроэкономических показателей на предприятии). Хотя оба эти положения дел на предприятии соответствуют условиям «фазы I А». Такого рода в большей или меньше мере приемлемые для предприятия части фазовой плоскости, имеют место и в других квадрантах.

Указанные предпосылки позволяют высказать предположение, что для определенной группы предприятий на фазовой плоскости может быть определена некоторая в определенной мере благоприятная для всех фаз область совместных значений функций F1 и F2, в рамках которой финансовое положение предприятия можно считать приемлемым. Такая область на рисунке условно определена нами координатами -0,5<F1<0,5 и -0,5<F2<0,5. Как нам представляется, более точной данная область будет выглядеть при ее ограничениями не прямыми линиями, а кривыми, например, окружностью (см. рисунок). Кроме того, такой подход позволяет проводить дополнительный мониторинг состояния предприятия даже в рамках одного квадранта фазовой плоскости.

Таким образом, предложенный подход к организации мониторинга производственно-коммерческой деятельности промышленного предприятия позволяет достаточно объективно оценивать уровень антикризисной, инновационной или рыночной работы на предприятии. Использование в качестве временного интервала мониторинга различных временных интервалов (вплоть до посуточного) делает предложенный методический подход очень гибким и приемлемым для выполнения самых различных задач на промышленных предприятиях.

6.3. Методы оценки потенциала промышленного предприятия

Конкурентоспособность и эффективность промышленного производства определяется выбором инновационного курса и стратегией развития, направленных на внедрение в международные технологические системы при использовании своих ключевых преимуществ. За последний период при тенденции сокращения инвестиций в основной капитал, падения технологического уровня основных фондов производства, наблюдается снижение доходности промышленных предприятий (материалы раздела подготовлены авторами из Украины – примечание научного редактора).

Технологическое отставание значительной части украинских промышленных предприятий связано с неадекватностью инфляционных и приватизационных процессов в теневой экономике, уменьшением стоимости основного капитала искусственными методами от фиктивного банкротства до сокрытия прибыли. В этих условиях для оживления экономики, движения к более высоким рубежам, реконструкции, техническому перевооружению, диверсификации, производству конкурентоспособной продукции становится необходимы кардинальные решения по определению приоритетов научнотехнического развития.

Запустить механизм реального выхода из затяжного экономического кризиса на промышленных предприятиях Украины возможно при условии концентрации усилий на реализацию финансовой стратегии управления промышленными предприятиями и важнейшего принципа организации финансов, который характеризуется обеспечением инвестиционной привлекательности и размещением капитала в высокоэффективное производство. Инвестирование в инновационные программы на промышленных предприятиях необходимо для создания рыночных механизмов и конкурентоспособной ниши на глобальных рынках высокотехнологичной продукции широкого ассортимента в условиях снижения затрат. Это предполагает полную реализацию инвестиционного потенциала промышленных предприятий Украины, развитие их совокупных инвестиционных возможностей в целях достижения инновационных стратегий. Инвестиции справедливо рассматривают как важнейший фактор экономического роста и обновления промышленного производства, материальных и нематериальных ресурсов, вкладываемых в объекты предпринимательской деятельности, направленной на достижение экономических и социальных результатов и получение прибыли.

Поделиться с друзьями: