Чтение онлайн

ЖАНРЫ

Химические и нефтяные аппараты с мешалками
Шрифт:

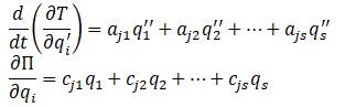
В результате получается уравнение движения Лагранжа:

__

Равновесное положение системы вала принимается за начало обобщенных координат, т.е.

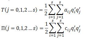
Кинетическая и потенциальная энергии системы:

коэффициенты

инерции,

– коэффициенты жесткости.

Существует форма записи обобщенного закона Гука [5,с.314], связывающая все силы и перемещения:

В условиях равновесия:

С учетом этого, уравнение Лагранжа можно записать в виде системы линейных однородных дифференциальных уравнений второго порядка с постоянными коэффициентами:

Частными решениями уравнений системы будут уравнения:

В частных решениях (j = 0, 1,2,3…s):

Частным решениям соответсвуют резонансные частоты колебаний.

Для неизвестных

получают систему линейных однородных уравнений подстановкой полученного частного решения в приведенную систему уравнений (основные уравнения система малых колебаний с s степенями свободы):

Полученная система уравнений имеет решение, отличное от нуля в случае равенства нулю определителя этой системы.

На этом основании записывается вековое уравнение (уравнение частот). Вековое уравнение является уравнением s– степени относительно :

Искомые частота колебаний р и амплитуды , возникающие при этой частоте (k = 1,2,3…n), находятся из:

– основных уравнений системымалых колебаний с s степенями свободы,

– векового уравнения.

Вековое уравнение является уравнением s степени относительно k2. И из этого уравнения находятся все частоты свободных колебаний k системы.

Так как определитель k2 = 0, одно из уравнений системы при = 1 является следствием других уравнений системы. Последовательно подставляя в уравнения системы все полученные значения k2 получается система уравнений:

Находятся значения коэффициентов :

– определитель матрицы, получаемый вычеркиванием из определителя

первых столбца и строки.

– минор

элемента первой строки и

j

–го столбца со знаком (-1) основного

определителя

– коэффициенты распределения равные 1.

В результате частные решения первой системы уравнений:

– первое главное колебание с частотой

k

1

и начальной фазой

1

.

– второе главное колебание с частотой

k

2

>

k

1

и начальной фазой

2

.

– третье главное колебание с частотой

k

3

>

k

2

и начальной фазой

3

.

…..

Коэффициенты

определяют форму главных колебаний:

– форму первого главного колебания,

– форму второго главного колебания,

– форму третьего главного колебания,

и тд.

Общее решение первой системы уравнений можно получить суммированием частных решений:

2s неизвестные постоянных

определяются по 2s и по начальным обобщенным скоростям
и координатам
:

На основании приведенного выше, алгоритм полного исследования свободных колебаний системы с s степенями свободы состоит из следующих действий:

а) нахождение частот свободных колебаний k1, k2ks из векового уравнения,

б) нахождение коэффициентов распределения

в) нахождения амплитуд

и начальных фаз

Применение программы MathCAD

Яблонский отмечает [3,с.143] если число степеней свободы превышает 4, то доя полного решения задачи потребуется громадная вычислительная работы.

Однако, в настоящее время возможно применение математических пакетов таких как MathCAD.

Программа MathCAD позволяет для матриц выполнять нахождение определителя, решать матричные уравнения. Применение этой программы исключает выполнение громоздких ручных расчетов и позволяет по приведенному выше алгоритму получать точное решение без каких-либо приближенных методов.

Поделиться с друзьями: