Чтение онлайн

ЖАНРЫ

Шрифт:

Таков результат первого этапа рассуждений Кельвина.

 

К расчету влияния кривизны поверхности жидкости на дав­ление пара над ней

Второй этап — естественное продолжение первого. Над всей поверхностью жидкости — и той, которая в трубке, и той, которая в широком со­суде,— имеется пар этой жид­кости, однако не везде дав­ление, оказываемое им на жидкость, одинаково: несколько большим оно будет над по­верхностью жидкости в труб­ке, так как слой пара над ней толще на величину h . Очевид­но, дополнительное давление этого слоя равно Р = 0 gh,

где 0 — плотность газа, которая много меньше плот­ности жидкости. Величину h мы знаем — она была найдена на первом этапе рассужде­ний — и, следовательно, можем определить величину Р. Она очень важна, и поэтому формулу, которая определяет эту величину, мы вынесем на отдельную строку:

 

По поводу этой формулы Эйнштейн заметил, что она действительна «независимо от того, какими причинами обусловлено возникновение кривизны поверхности».

Можно понять восхищение, испытанное Эйнштейном, когда он ознакомился с логикой рассуждений и формулой Кельвина. Ведь, казалось бы, Кельвин обсуждал совсем частный пример: широкий сосуд, в нем жидкость, в жид­кости капилляр и т. д. А пришел к закону природы огром­ной важности и выразил его формулой, в которой ничего не содержится от того частного примера, который обсуж­дался. Разве что только R — радиус тонкой трубочки. Но ведь трубочка, как оказалось, нужна была только для

того, чтобы получить участок изогнутой поверхности, ограничивающей жидкость.

Вспомним о капле — она вся ограничена изогнутой по­верхностью, и значит, давление пара вблизи нее будет повышено на величину, определяемую формулой Кельви­на: чем меньше радиус капли, тем большее давление пара над ней. В этом легко убедиться с помощью многих опытов — далее мы с ними еще встретимся, а здесь, вместе с Эйн­штейном, восхитимся талантом Кельвина — его проница­тельным умом и великолепной логикой.

Капля пустоты

Много лет подряд вместе с моим покойным учителем Бори­сом Яковлевичем Пинесом мы занимались изучением по­ристых кристаллических тел. Так случилось, что я ни разу не спросил, как у него возникло представление о капле пустоты — поре в кристалле. А сейчас, к сожа­лению, спросить уже некого и остается лишь стро­ить догадки, сопоставляя факты и отрывки случайных раз­говоров.

Образ капли пустоты прочно вошел в физику твердого тела, о нем вспоминают всякий раз, когда надо осмыс­лить поведение различных дефектов в кристалле. И я расскажу о том, как этот образ возник. На примере рож­дения образа капли пустоты можно проследить, как вя­жется логическое кружево мысли ученого, где сосущест­вуют и конкурируют фантазия и строгая формальная ло­гика.

Борис Яковлевич не очень был склонен к аналогиям, упрощенным моделям, картинам, иллюстрирующим мысль. Он часто повторял, что картина — образование дву­мерное и, следовательно, неглубокое. Аналогия может появиться позже, а вначале должна быть формула, числен­ная оценка. И еще, посмеиваясь, он любил говорить о том, что иных формулы гипнотизируют, поскольку формула — это математика, а математика, как известно, наука точ­ная. Это преувеличенное почтение к формулам обычно испытывают люди, которые никогда не создавали их и поэтому не чувствуют ни их слабостей, ни таящихся в них возможностей.

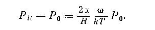
Первая работа Бориса Яковлевича, посвященная изуче­нию поведения пор в кристаллах (она появилась еще в 1946 году), начинается с анализа давно известной формулы лорда Кельвина, которая устанавливает связь между давлением пара вблизи изогнутой поверхности капли ( Р R ), ее радиусом ( R ) и давлением пара вблизи плоской поверхности жидкости, из которой капля состоит ( Р0 ).

Вот эта формула:

В нее входят величины поверхностного натяжения ( ), объема, приходящегося на один атом в жидкости ( ), тем­пературы ( Т ) и некоторая постоянная величина к , так на­зываемая постоянная Больцмана.

 

Легко заметить, что в формуле Кельвина нет ничего спе­цифически «жидкого» и ее можно применять и к твердым закристаллизовавшимся каплям. Надо только при этом помнить, что поверхностное натяжение зависит от ориен­тации кристаллографических плоскостей, охраняющих застывшую каплю. Но это деталь, а в главном формула применима к твердым кристаллическим каплям. Из фор­мулы следует, что, чем меньше капля, т. е. чем меньше ее радиус, тем на большую величину давление пара вблизи ее поверхности превосходит давление пара вблизи плоской поверхности вещества, из которого капля состоит.

Понять это легко. Ведь что означают слова «упругость пара больше» или «упругость пара меньше»? Они означают, что при прочих равных условиях в газе вблизи поверх­ности будет большая или меньшая концентрация атомов вещества капли. Атом, который расположен на искривлен­ной поверхности капли, имеет меньшее число соседей, чем тот, который расположен на плоской. В случае предельно маленькой капли, состоящей из одного атома, этот атом и находился бы па «поверхности» в единственном числе, вообще не имея соседей. Капля из одного атома, конечно же, никакая не капля, но эта условность помогает почув­ствовать тенденцию: чем меньше капля, тем меньше сосе­дей у атома, сидящего на ее поверхности. А меньше сосе­дей — меньше связей, удерживающих атом на поверхности, меньше связей — легче оторваться, легче оторваться — большее число атомов это совершит, и следовательно, боль­шая их концентрация будет в газе вблизи поверхности. Именно это строго и описывает формула.

Борис Яковлевич прочел эту формулу по-своему, не­ожиданно и формально очень строго. Он обратил внима­ние на то, что она примечательна не только теми величи­нами, которые входят в нее, но и теми, которые в ней отсутствуют. Из величин, характеризующих вещество капли, в формулу входят лишь поверхностная энергия и объем, приходящийся на один атом. Масса атома не входит. Формально это означает, рассуждал он, что формула го­дится для вещества с любой массой атома, от бесконечной до равной нулю. Бесконечная масса — это по ту сторону разумного, а вот о «веществе» с нулевой массой «атома» можно говорить вполне серьезно, не забывая, однако, о кавычках. Таким «веществом» является пустота.

Несколько странное соседство слов «вещество» и «пу­стота». В действительности имеется в виду не «вещество», а отсутствие вещества. Например, в узле кристаллической решетки нет атома, которому следовало бы в этом узле быть. Этот свободный от атома узел можно назвать «ато­мом пустоты», а физики его иногда называют «вакансией». Очевидно, скопление большого количества «атомов пу­стоты» должно образовать «каплю пустоты», т. е. пору. Все это по аналогии с реальными атомами и реальным ве­ществом: скопление большого количества, скажем, атомов железа, образует каплю железа. Разумеется, при темпе­ратуре более высокой, чем температура плавления железа.

Итак, пустой узел в кристаллической решетке — «атом пустоты», пора в кристалле — «капля пустоты», и они должны подчиняться формуле, которая впервые была написана более 100 лет назад и применительно к «капле пустоты» впервые прочтена Борисом Яковлевичем Пи­несом.

Теперь о следствиях нового прочтения формулы. И не о всех, а о самом главном, ради которого стоило присталь­но всмотреться в старую формулу и заново ее прочесть.

 

Перенос жидкости из капли в блюдце

Поделиться с друзьями: