Чтение онлайн

ЖАНРЫ

Карты метро и нейронные сети. Теория графов
Шрифт:

* * *

Все стороны различаются между собой? Это невозможно!

Если вы не привыкли следовать правилам, то возможно, что вы задавались вопросом, существуют ли фигуры без повторяющихся элементов. Например, существует ли многогранник, все стороны которого являются различными многоугольниками: один треугольник, один четырехугольник, один пятиугольник и так далее. Это был бы образцовый многогранник — он мог бы поворачиваться разными сторонами и демонстрировать разные многоугольники. Живительно, но подобный многоугольник не может существовать. И этому есть очень красивое доказательство, в котором используются методы комбинаторики.

Представим на мгновение все возможные многогранники — правильные или неправильные. Если мы нарисуем все эти многогранники,

то заметим, что всегда существует как минимум несколько граней, которые являются выпуклыми многоугольниками с одинаковым числом сторон. Чтобы ограничить многоугольниками какую-то область пространства, необходимо чтобы как минимум несколько из них повторялись.

Графы и мозаики

Рассмотрим три разных мозаики, которые представлены на рисунке. Все они, несомненно, знакомы вам, так как часто встречаются в повседневной жизни.

Это четырехугольная, треугольная и шестиугольная мозаики соответственно. Каждая из них представляет собой геометрический граф (определение геометрического графа приводилось выше). Число граней в этих графах может увеличиваться бесконечно: любым из этих графов можно заполнить всю плоскость. Заметим, что при увеличении мозаики для вершин, находящихся внутри, число ребер остается неизменным, и каждая грань ограничивается одним и тем же числом ребер за исключением бесконечно удаленных граней. Если на каждом шаге увеличения мозаики мы будем подсчитывать число вершин V и число вершин Vc, расположенных на краю (во внешнем цикле графа), то увидим, что с ростом V отношение Vc/стремится к нулю.

Это справедливо для всех трех рассмотренных типов мозаики. Далее мы продемонстрируем удивительный результат, основанный на следующем определении.

Правильная мозаика — это геометрический граф, который может покрыть плоскость; при этом число ребер а, сходящихся в каждой вершине, и число ребер Ь >= 3 каждой грани являются постоянными (за исключением внешних граней), причем Vc/V стремится к нулю.

Единственно возможными правильными мозаиками в соответствии с этим определением являются треугольная, четырехугольная и шестиугольная мозаики.

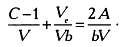
Пусть дана правильная мозаика М, которая имеет вершин, А ребер и Vc граничных вершин. Тогда 2А < aV, так как aV — это общее число ребер, получаемое, если поставить в соответствие каждой вершине (включая граничные) а ребер.

Если же мы не будем учитывать ребра, которые выходят из граничных вершин, получим аV — aVc < 2А.

Объединив эти два неравенства, имеем aV — aVc < 2А < aV.

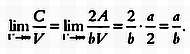
Разделим все части неравенства на

Перейдем к пределу. При V, стремящемся к бесконечности, Vc/V стремится к нулю:

Подсчитаем число граней С

мозаики М. С — 1 грань будет иметь Ь ребер, бесконечно удаленная грань будет иметь Vc ребер. Следовательно,

(C — 1)b + Vc = 2А.

Разделив на bV, получим:

Перейдя к пределу при V, стремящемся к бесконечности, с учетом выражения (*) получим:

(**)

Так как мозаика М — это геометрический граф, для нее выполняется формула Эйлера, которую можно записать в следующем виде:

При переходе к пределу имеем:

Иными словами, постоянные а и Ь связывает равенство

2а + 2Ьab,

что можно записать в таком виде:

(а — 2)(Ь — 2) = 4.

Все возможные натуральные решения этого уравнения представлены в таблице:

Интересно, что это доказательство относится исключительно к теории графов и не зависит от каких-либо геометрических свойств (расстояний, углов, параллельности сторон) фигур, образующих мозаику. Например, следующие мозаики относятся к тем же трем типам, хотя очевидно состоят из других фигур. Единственная разница заключается в изоморфизме соответствующих им графов.

* * *

ФОРМУЛА НА МАРКАХ

На этой марке, выпущенной в ГДР в честь Леонарда Эйлера, изображен икосаэдр и формула AC + V = 2 в немецком варианте. Интересный способ рассказать о формуле всему свету.

* * *

Другие геометрические задачи с графами

Помимо формулы Эйлера и ее удивительных следствий, существует множество других областей геометрии, где теория графов представляет особый интерес. Далее мы приведем несколько примеров.

Гамильтоновы циклы в многогранниках

Мы уже рассказали о том, что Гамильтон впервые представил цепи, которые сегодня носят его имя, в игре, где нужно было обойти по разу все вершины додекаэдра. (Напомним, гамильтоновы цепи — это пути в графе, которые проходят через все его вершины ровно по одному разу.) Именно поэтому позднее были предприняты попытки найти гамильтоновы цепи во всех возможных многогранниках либо показать, что они не существуют. На следующих рисунках представлены так называемый граф Гершеля и граф Петерсена — два примера графов, в которых не существует гамильтоновых цепей. Попробуйте убедиться в этом самостоятельно, проведя карандашом линию, проходящую через все вершины этих графов ровно один раз.

Поделиться с друзьями: