Чтение онлайн

ЖАНРЫ

Компьютерная обработка звука
Шрифт:

Поэтому за образующими его тонами, начиная от ля, и закрепились в качестве буквенных обозначений первые семь букв латинского алфавита – A (a), B (b), C (c), D (d), E (e), F (f), G (g). Когда же впоследствии произошло изменение строя и основным тоном звукоряда стал звук C – до, то для обозначения нового звука, возникшего на VII ступени, стали использовать очередную букву латинского алфавита – H (h), соответствующую звуку си.

Слоговая система названий музыкальных звуков основана на начальных слогах первых шести строчек средневекового римского католического гимна в честь св. Иоанна (легендарного покровителя певцов), сочиненного около 700 года Павлом Диаконом:

Ut queant laxis

Re sonare fibris

Mi ra gestorum

Fa muli tuorum

Sol ve polluti

La bii reatum, Sancte Johannes

Каждый стих этого гимна начинался тоном выше предыдущего. Название для ноты си было установлено несколько позже, а во второй половине XVII столетия итальянским теоретиком Бонончини (1642–1678) неудобный для распевания слог ут (ut) был заменен слогом до.

Обе системы – буквенная и слоговая – не противоречат друг другу, и каждая из них

в настоящее время находит свое практическое применение. Соответствие двух систем названий музыкальных звуков приведено в табл. 5.1.

Таблица 5.1. Соответствие двух систем названий музыкальных звуков

Ключи

Свое точное значение и название ноты получают лишь в том случае, когда известно фактическое звуковысотное местоположение хотя бы одной из них. Поскольку нотоносцы сами по себе ничем не отличаются друг от друга, то в начале каждого из них выставляются особые знаки – музыкальные ключи, точно определяющие местонахождение ноты, соответствующей названию самого ключа, а вместе с ней и всех остальных нот звукоряда. Исторически названия и современные графические написания ключей произошли от буквенной нотации. В настоящее время основными (то есть наиболее употребительными) являются два ключа: Соль и Фа, однако наряду с ними применяется также (хотя и в значительно меньшей степени) еще и ключ До.

На нотном стане ключ Соль пишется начиная со второй линии и таким образом показывает, что именно на ней должна находиться нота соль первой октавы. Ключ Соль, поставленный на второй линии нотоносца, называется также скрипичным ключом, поскольку он оказался весьма удобным при записи нот для скрипки (учитывая строй и диапазон этого инструмента).

Ключ Фа пишется начиная с четвертой линии нотоносца. Справа от него ставятся две точки, с обеих сторон обрамляющие четвертую линию нотного стана и указывающие, что именно на ней должна помещаться нота фа малой октавы. Ключ Фа, поставленный на четвертой линии нотоносца, называется еще басовым ключом, поскольку он очень удобен при записи нот (без большого количества добавочных линий) для низких человеческих голосов (баритон, бас) и басовых музыкальных инструментов.

В средние века широко применялся также ключ До, определявший местонахождение на нотном стане ноты до первой октавы. Ключ До мог помещаться на любой линии нотоносца – в зависимости от голоса, для которого была написана та или иная партия, – и в связи с этим получал частное наименование: сопрановый (если помещался на первой линии), альтовый (на третьей линии), теноровый (на четвертой линии) и др.

Графическое изображение музыкальных ключей – скрипичного, альтового, тенорового и басового – показано на рис. 5.7.

Рис. 5.7. Музыкальные ключи: скрипичный, альтовый, теноровый и басовый

Каждый ключ ставится только на одной из линий нотного стана. На добавочных линиях и в промежутках между линиями ключи не пишутся. Все вместе они образуют единую систему, охватывающую весь музыкальный диапазон звуков.

В этой системе есть своя подсистема, образуемая только скрипичным и басовым ключами, которые как бы продолжают друг друга, а звеном, соединяющим их, является нота до первой октавы, которая в скрипичном ключе пишется на первой добавочной линии снизу, а в басовом – на первой добавочной сверху, то есть практически на одной и той же линии, пролегающей между обоими нотоносцами и объединяющей их в одну одиннадцатилинейную систему.

В настоящее время из всех разновидностей ключа До практическое значение сохранили лишь альтовый и теноровый ключи: в альтовом пишутся ноты для смычкового альта, а в теноровом – высокие ноты для виолончели и тромбона. Тем не менее все ключи До могут с успехом использоваться при транспозиции, значительно облегчая ее, особенно при чтении с листа.

Замена ключа в Cakewalk

При открытии окна Cakewalk автоматически выбирает для каждого трека ключ – басовый или скрипичный – в зависимости от диапазона нот. Если в треке имеются ноты, которые относятся как к одному, так и к другому диапазонам (или ноты вообще отсутствуют), Cakewalk разбивает трек на два нотных стана – со скрипичным и басовым ключами. Вы можете заменить назначенный программой ключ в диалоговом окне Staff View Layout (Размещение нот), изображенном на рис. 5.8.

Рис. 5.8. Окно Staff View Layout

Окно Staff View Layout вызывается при нажатии на кнопку Layout (Размещение) инструментальной панели окна Staff View. В списке Track выведены названия треков, из которых образована нотная запись.

Выберите трек. В поле Clef (Ключ) будет показан примененный к треку ключ. Если требуется заменить ключ, выберите нужный из разворачивающегося списка:

Treble (Скрипичный);

Bass (Басовый);

Treble/Bass (Скрипичный/Басовый);

Alto (Альтовый);

Tenor (Теноровый);

Octave-Treble (Скрипичный с транспозицией на октаву);

Percussion (Ключ ударных инструментов);

Percussion Line (Ключ ударных инструментов с однолинейным нотным станом).

Опция Split (Разбивка) используется для задания высотного положения ноты, делящей графическое отображение MIDI-записи на два диапазона. Ноты, начиная с указанной и выше, будут располагаться на нотном стане скрипичного ключа, остальные – на стане с басовым ключом. Эта опция используется в единственном случае – когда применяется сдвоенный ключ Treble/Bass. В этом единственном случае ноты одного трека будут располагаться на двух нотных станах: один в скрипичном ключе, другой в басовом.

Если выбраны ключи Percussion или Percussion Line, можно нажать на кнопку Percussion Settings (Настройки нот для ударных инструментов), и тогда откроется окно Percussion Notation Key (Ключ нотации для ударных инструментов), показанное на рис. 5.9.

Рис. 5.9. Окно Percussion Notation Key

В этом окне определяется вид нотации для ударных в зависимости от ваших задач.

Вернемся к окну Staff View Layout. Опция Beam Rests (Связывание пауз) применяется для придания наглядности нотной записи.

Нотатор поддерживает популярный способ записи ритмически сложной музыки: связывание пауз. Ребра, объединяющие ноты в группы, продлеваются, чтобы включить в состав групп паузы, которые являются неотъемлемыми частями групп связанных нот. Это делает нотную запись более легкой для чтения, потому что ритмические границы становятся нагляднее.

Ребра связывают паузы так, словно они являются нотами. Вариант нотации без связывания пауз (вверху) и со связыванием (внизу) показан на рис. 5.10.

Рис. 5.10.
Вверху – фрагмент нотации без применения опции Beam Rests, внизу – опция включена

Кроме уже описанных, в окне Staff View Layout можно использовать еще две опции: Show Pedal Events (Показывать знаки управления педалью) и Show Chord Grids (Показывать схемы аккордов), применение которых ясно из названий.

В этом же окне можно подобрать шрифты надписей отдельно для:

Track names (Наименования треков);

Measure numbers (Номера тактов);

Lyric text (Слова песен);

Expression text (Знаки выразительности);

Chord text (Названия аккордов);

Triplet numbers (Числа для обозначения триолей, квинтолей и т. д.).

Вставка и замена ключа в Finale

Для вставки или замены музыкального ключа используется кнопка Clef (Ключ) на инструментальной панели. После того, как она выбрана, щелкните мышью по тому такту, в который хотите вставить новый ключ (или заменить старый), и тогда раскроется окно Change Clef (Замена ключа), показанное на рис. 5.11.

Рис. 5.11. Окно Change Clef

Собственно для выбора служит секция Clef Selection (Выбор ключа) с изображениями ключей.

В окне нужно пометить опцию Create a Clef Change at Beginning of Measure (Создать ключ в начале такта) или Create a Movable Midmeasure Clef (Создать перемещаемый по такту ключ).

В первом случае в секции Measure Region (Область тактов) следует указать номера тактов, на которые распространяется действие вводимого ключа: Measure (От такта…) Through (До…) или Measure Through End of Piece (От такта. до конца).

Во втором случае в текущем такте размещается новый ключ, который вы в любое время сможете переместить на другое место.

Ритм в музыке. Длительности нот

Всякое музыкальное произведение длится определенное время. Между частями музыкального целого образуются определенные временные соотношения.

Важнейшие проявления временных закономерностей отражаются в ритме произведения. Ритмом в музыке называется организация звуков и пауз по их длительностям. Любая последовательность звуков различной длительности (а в частном случае – и одинаковых длительностей) является проявлением ритма. Однако в музыке чаще используются ритмы, заключающие в себе, с одной стороны, соизмеримость длительностей, а с другой – ту или иную степень внутренней организованности, которая достигается повторами, периодичностью появления элементов музыкального произведения.

Соизмеримость длительностей – понятие относительное, зависящее от близости или удаленности отдельных звуков. Так, можно говорить о близости или соизмеримости четвертной и восьмой, четвертной и половинной, половинной и восьмой, всех их вместе между собой. Гораздо сложнее говорить о соизмеримости при восприятии на слух шестьдесят четвертой и целой длительностей.

Математическая соизмеримость длительностей очевидна:

• в целой – 64 шестьдесят четвертых, 32 тридцать вторых, 16 шестнадцатых, 8 восьмых, 4 четвертных, 2 половинных;

• в половинной – 32 шестьдесят четвертых, 16 тридцать вторых, 8 шестнадцатых, 4 восьмых, 2 четвертных;

• в четвертной – 16 шестьдесят четвертых, 8 тридцать вторых, 4 шестнадцатых, 2 восьмых;

• в восьмой – 8 шестьдесят четвертых, 4 тридцать вторых, 2 шестнадцатых;

• в шестнадцатой – 4 шестьдесят четвертых, 2 тридцать вторых;

• в тридцать второй – 2 шестьдесят четвертых.

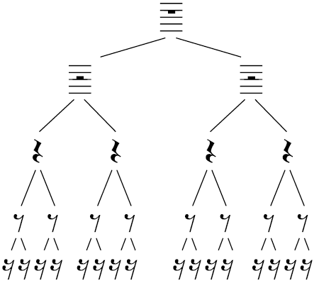
При написании нот указанная соизмеримость отражается в их различном графическом начертании, как показано на рис. 5.12: длительность каждой ноты соответствует половине длительности ноты, изображенной строкой выше. Графическое начертание целой ноты показано на этом рисунке в самой верхней строчке. Далее (сверху вниз) показано начертание нот соответственно: половинной, четвертной, восьмой и шестнадцатой.

Рис. 5.12. Графическое начертание нот разной длительности и их соизмеримость

То же самое относится и к паузам в музыкальном произведении. Поэтому паузы, как и ноты, имеют различное графическое начертание в зависимости от длительности, что и показано на рис. 5.13.

Рис. 5.13. Начертание пауз разной длительности и их соизмеримость

Встречается также крупная длительность, равная двум целым, называемая брэвис (нем. Brevis) – показана на рис. 5.14.

Рис. 5.14. Длительность, равная двум целым – брэвис

Если в нотации крупные длительности сопоставляются с мелкими, то обычно соизмеримость их обеспечивается объединением (связыванием) мелких длительностей в группы, равные по общей протяженности более крупным длительностям. Связывание в свою очередь обеспечивается при помощи так называемых ребер (ноты в правой части рисунка объединены именно такими ребрами).

Помимо соизмеримости длительностей, музыкальный ритм должен обладать внутренней организованностью. Внутренняя организованность достигается равномерной периодичностью появления более долгих звуков после коротких. Для восприятия ритма эти долгие (или относительно долгие) длительности оказываются как бы акцентируемыми, более «тяжелыми», чем остальные. Внутреннее деление ритма на равновеликие отрезки времени – это проявление музыкального метра. Иногда для внесения в ритм элементов неожиданности и остроты применяется синкопа – смещение акцента с сильной (или относительно сильной) доли на слабую. Начало синкопы чаще всего акцентируется, благодаря чему синкопический акцент вступает в противоречие с тактовым (метрическим) акцентом.

Кроме описанного изображения длительностей нот, для обозначения продления звука применяются точки, которые ставятся справа от ноты, и лига, то есть дуга, соединяющая одинаковые по высоте соседние ноты. Одна точка удлиняет ноту на половину ее основной длительности. Реже применяются ноты с двумя точками. Вторая точка удлиняет ноту на половину длительности ноты с одной точкой. Совсем редко встречаются ноты с тремя точками. Третья точка удлиняет ноту на половину длительности ноты с двумя точками. Из соединенных лигой нот образуется одна более крупная длительность, равная их сумме.

Мелкими нотами обозначаются часто применяющиеся мелодические фигуры (обороты), которые называются мелизмами, или украшениями.

Мелизм, состоящий из одного или нескольких очень коротких звуков, исполняющихся перед основным звуком, называется коротким форшлагом. Он играется за счет основного звука, перед которым находится, или за счет предшествующего ему звука, отнимая от него минимальную часть его длительности, которая точно не регламентирована. Короткий форшлаг из одного звука обозначается мелкой восьмой нотой с перечеркнутым наискось штилем, который всегда направлен вверх.

Долгий форшлаг состоит из одного звука, который исполняется перед основным звуком и всегда за его счет и обозначается мелкой нотой (не крупнее четверти) со штилем без перечеркивания, направленным вверх. Длительность долгого форшлага обычно равна половине длительности двухдольного или двум третям трехдольного звука.

Звук форшлага, как правило, отстоит от основного звука на секунду (напомним, что секундой в музыке называется высотный интервал, расстояние от одной ступени звукоряда до ближайшей к ней сверху или снизу).

На рис. 5.15 показаны короткий (слева) и долгий (справа) форшлаги.

Рис. 5.15. Короткий (слева) и долгий (справа) форшлаги

Поделиться с друзьями: