Чтение онлайн

ЖАНРЫ

Магазин запасных частей. Стандарты управления: Практическое пособие
Шрифт:

Цены обычно корректируют ежеквартально или раз в полгода с учетом роста закупочных цен, инфляции, корректировка на коэффициент, учитывающий непрогнозируемые параметры: отклонение инфляции от расчетной, нормативные акты об изменении налогов, ставок заработной платы, тарифов за энергию.

Бонусы за объемы закупок на самом деле не стимулируют увеличение закупок – никто не хочет замораживать средства в запасах. Так что премировать приходится, искусственно занизив планку требований. Это выбрасывание денег. Лучше за счет бонуса снизить цены.

За рубежом бонусы используют иначе – наряду с бонусами за продажу автомобилей и качество сервиса они используются главным образом для стимулирования дилеров на ежегодных дилерских собраниях в виде памятных подарков с гравировкой, путевок всей семье на курорт, в турпоездку, в поездку на завод – изготовитель автомобилей, где их принимают как почетных коллег и только в последнюю очередь

– финансовых выплат.

Этим способом задействуется психологический фактор – честолюбие каждого человека; ведь предпринимателя никто не хвалит, его успех – в прибыльности дела, но желание общественного признания его заслуг прочно остается у каждого человека в подсознании с детства, когда его хвалили или порицали за результаты в школе или спорте.

Кроме того, предлагаемые поездки – из тех, в которые дилер никогда сам не выберется по причине занятости, скупости или финансовых трудностей – большинство дилеров являются вовсе не богачами, а обыкновенными “трудягами”, не имеющими резервов не только на роскошь, но и на период проблем со сбытом. Не случайны частые банкротства дилеров.

Положение об анализе результатов торговли

Анализ

спроса

Анализ спроса на отдельные запасные части является одним из элементов системы управления запасами. Спрос – это совокупность требований на запасные части, предъявляемых к сбытовой сети. Для управления запасами важно знать характеристики спроса. Спрос, предъявляемый дилерами к поставщикам, а последними к изготовителям, отличается от фактического потребительского спроса. Заказы дилеров региональному складу и последнего изготовителю выражаются конкретной величиной, т. е. в этих звеньях спрос имеет детерминированный характер. Объем спроса покупателей при розничной продаже подвержен значительным колебаниям и не может рассматриваться в качестве конкретной величины, поэтому в системах управления запасами учитывается стохастический (неопределенный) характер спроса в розничной торговле. Анализ спроса проводится по каждому наименованию запасных частей.

В таблице приведены данные анализа спроса на группы деталей автомобилей “FIAT” на итальянском рынке. Видно, что наибольшим спросом пользуются механические детали.

При анализе статистических данных выявляют соотношения между количеством машин данной модели в исследуемом районе и количеством ремонтов, номенклатурой и количеством заказанных в течение года запасных частей, а также их стоимостью и весом. Полученные в результате анализа данные помогают выяснить средний спрос, частоту замены деталей и среднюю величину расходов владельцев машин на их содержание.

Свой анализ проводят и страховые компании, которым приходится оплачивать замену поврежденных деталей. Количество замен подверженных ударам деталей в поврежденных автомобилях на 7000 страховых случаев в Швеции показано в таблице.

В целях подчинения производства запасных частей условиям сбыта практикуется именно анализ спроса, а не фактических продаж, т. е. ведется учет и анализ как выполненных заказов, так и неудовлетворенного спроса. Наиболее совершенными считаются компьютерные программы анализа, обеспечивающие получение данных статистики, анализов и прогнозов по каждому наименованию деталей в различных аспектах. Отобранная и систематизированная информация, полученная при анализе спроса, служит базой для планирования производства и поставок, управления запасами в сети распределения и сбыта. Чтобы сконцентрировать основное внимание на тех деталях, которые чаще продаются и дают основную долю объема сбыта, данные о сбыте и прибылях разбивают по группам деталей, выделенным в результате анализа спроса. Практикой установлено, что основная стоимость продажи запасных частей обычно приходится на очень небольшую долю всех наименований деталей, и экономисты говорят о законе “80/20”, когда 20 % номенклатуры дают 80 % продаж по сумме.

Разделение номенклатуры запасных частей на группы по степени спроса выполняется по установленным критериям на основании анализа статистики продаж деталей за ряд лет. По результатам анализа спроса практикуется разделение номенклатуры на группы спроса по количеству А, В и С, с тем чтобы знать, каким товарам необходимо уделять больше внимания. Разделение запасов на группы спроса имеет большие преимущества, хотя первоначальная работа особенно трудоемка. Компания “Volkswagen” делит номенклатуру на шесть групп. Деление номенклатуры компании “Renault” на четыре группы показано в таблице.

Очевидно, что вся деятельность в области маркетинга концентрируется на товарах группы А и Б, которые обеспечивают основную массу товарооборота. К номерам деталей, отнесенным к той или иной группе, программным путем “привязывают” признаки, обозначающие группы, т. е. индексы А, В, С и X, У, Z, а также коэффициент оборачиваемости за год. Набор признаков позволяет судить о необходимости

усиленного или слабого контроля формирования запасов той или иной детали. Индекс группы спроса указывается при печатании прейскурантов, статистики расхода, ведомости излишних запасов. По индексу можно вызвать печать необходимых для анализа документов. Спрос на детали внутри групп тоже тщательно анализируют, т. к. распределение спроса на разные детали в данный период или в заданном количестве заявок различно. Распределение спроса деталей групп А, В и С может быть описано различными закономерностями. Качество системы управления запасами зависит не только от прогнозирования спроса на определенный период, но и от прогнозирования распределения спроса в периоде.

Очевидно, что вся деятельность в области маркетинга и управления запасами концентрируется на деталях тех групп, которые обеспечивают основную массу товарооборота. Если планируется исключить из ассортимента медленно или плохо продающиеся детали, то решение принимается только после тщательного анализа причин сокращения сбыта. Из-за неэффективности сбыта, недостаточности рекламы, острой конкуренции или ограниченной емкости рынка замедляется движение даже тех запасных частей, которые пользуются большим спросом. После установления причин делают вывод о целесообразности складирования той или иной детали.

Анализ реализации

Анализ объема оборота товаров, реализованных по различным торговым каналам, например, дилерам и независимым мастерским, позволяет выявить наиболее эффективные каналы. Если обнаруживается сокращение продаж, то выясняются причины и принимаются меры по исправлению положения. В таблице приведен пример результатов анализа сбыта по каналам одного из региональных складов “FIAT”.

Анализируют также относительные объемы продаж в различных районах рынка. Сравнение фактического сбыта с расчетным показывает те районы, в которых сбыт значительно отклоняется от ожидавшегося. Сокращение объема сбыта в некоторых районах может быть результатом их низкого потенциала, падения спроса, изменений в мотивах и привычках покупателей, неудачной рекламы, острой конкуренции и плохой работы дилера.

Анализ продаж запчастей по моделям машин помогает уточнить долю запчастей к тем или иным моделям в общем обороте и соответственно распределить внимание на контроль, заказы и т. д. Анализ спроса на отдельные запасные части обязателен для управления запасами.

Учет и анализ упущенных продаж – заказываемых, но отсутствующих в наличии запасных частей ведут дилеры, региональные склады и независимые торговцы для того, чтобы определить спрос и принимать решения о целесообразности хранить подобные детали в запасах. Например, крупные дилеры компании “Massey Fergusson” в Канаде включают в номенклатуру постоянного хранения деталь, если ее заказывали не менее трех раз в год. Компания «Mercedes» рекомендует дилерам включать в число постоянно хранимых детали, спрос на которые составил 4 штуки в год.

Анализ соотношения розничных и закупочных цен позволяет выявить доходность по каждой запасной части. Затем изучаются цены конкурентов и устанавливаются новые розничные цены. При снижении доходности либо повышают цены, либо добиваются скидок у поставщиков, либо шире используют предварительные заказы с повышенной скидкой.

Анализ расходов по закупке проводят с целью определения фактических расходов по закупкам. Пошлины на импортируемые запасные части установлены различные, и определить средний размер пошлины по всем наименованиям в целом можно только обсчетом фактических расходов за год. Транспортные расходы, сборы в портах и на станциях прибытия, погрузочно-разгрузочные

расходы также различны и зависят от расстояний, количества партий, числа мест и веса. При этом плата за перевозку партии весом до определенного предела, например до 100 кг, такая же, как и за партию весом 20 кг. Средние расходы также можно уточнить только по результатам года.

Анализ торговых издержек выполняют систематически в течение года для своевременного предотвращения их повышения. Проверяют целесообразность каждого вида расходов, возможности их снижения, сравнивают однотипные расходы по разным каналам сбыта и районам рынка. Выявляют звенья сбытовой сети, которые обеспечивают наибольшую прибыль при обороте данного объема, выгодность территорий, размеры прибыли по отдельным категориям товаров. На основании этой информации изменяют при необходимости границы районов сбыта для увеличения доходов и систему скидок для дилеров и других посредников.

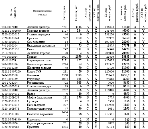
Пример анализа продаж. Ниже приведены примеры выполнения объемно-стоимостного анализа продаж с группировкой по категориям спроса. Сортировка по количеству продаж

Детали расположились по степени спроса, их делят на группы ABC по своим критериям. В данном случае, группа А – спрос более 500 шт. в периоде, группа В – спрос от 100 до 499 шт., группа С – спрос менее 100 шт.

Примечания: R – индекс, означающий необходимость ручного контроля наличия и движения. N – индекс для отметки неликвидов.

Попутно можно выполнить анализ загрузки персонала: Если штат склада = 3 человека, то каждым обработано в периоде =18821 деталей. При анализе за следующий период сравните степень загрузки.

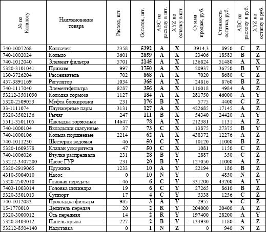
Сортировка по стоимости продаж. Детали расположились по степени большей выручки, их делят на группы ABC. В данном случае группа А – выручка более 50 тыс. руб. в периоде, группа В – выручка от 10 до 49 тыс. руб., группа С – выручка менее 10 тыс. руб.

Примечание: R – индекс, означающий необходимость ручного контроля наличия и движения. N – индекс для отметки неликвидов.

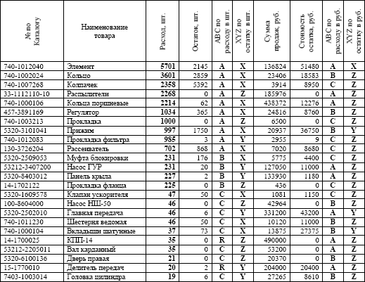
Сортировка по количествам остатков. Детали расположились по наличию на складе, их делят на группы АВС. В данном случае группа X – наличие более 50 шт., группа У – наличие от 10 до 49 шт., группа Z – наличие менее 10 шт. Видно, что слишком малые остатки требуют закупок.

Примечание: R – индекс, означающий необходимость ручного контроля наличия и движения.

N – индекс для отметки неликвидов.

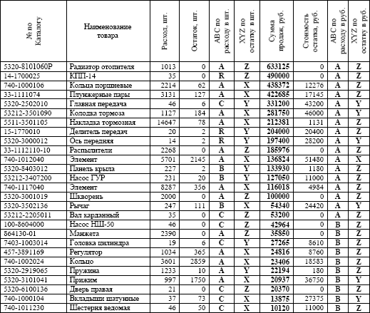
Сортировка по стоимости остатков. Детали расположились по стоимости остатков, их делят на группы ABC. В данном случае группа X – остаток более 50 тыс. руб., группа У – остаток от 21 до 49 тыс. руб., группа Z – остаток менее 21 тыс. руб. Видна стоимость неликвидов.

Примечание: R – индекс, означающий необходимость ручного контроля наличия и движения. N – индекс для отметки неликвидов.

Анализ организации работы

В качестве примера приведем анализ положения дел в службе запчастей реальной фирмы. Анализ показывает характерное для многих фирм пренебрежительное отношение к складам, хотя именно они приносят доход. Руководителям складов целесообразно вести контроль по приведенным ниже параметрам для своевременной постановки перед руководством требований об увеличении штата, улучшении технической оснащенности.

На начало 2008 г. ситуация в работе службы запасных частей следующая.

1. По сравнению с 2006. увеличились:

объем продаж по стоимости – в 3,25 раз;

оптовые продажи субдилерам – в 25,0 раз;

количество проданных деталей – в 8,44 раза;

количество сотрудников – в 1,66 раз;

производительность труда по суммовым показателям – в 2,13 раз;

производительность труда по физическим показателям – в 5,05 раз;

качество управления запасами (коэффициент оборачиваемости) – в 2 раза.

Примечания: Рост количества проданных деталей в 8,44 раз говорит о росте трудоемкости учета, закупок, продаж, складской обработки: разгрузки, погрузки, раскладки, отбора (росте физической загрузки персонала). Продажа количества деталей на каждую тысячу рублей увеличилась в 2,4 раза – это говорит о том, что относительная трудоемкость закупок и продаж растет – каждая следующая тысяча рублей прироста сбыта требует больше работы с номенклатурой.

2. Работа склада запасных частей выполняется при значительном опережении объемов, хранения и обработки товаров по сравнению с обеспечением необходимых условий для хранения товаров.

При увеличении номенклатуры товаров в 2,4 раза, а хранимых количеств деталей в 5,9 раз, объем склада увеличился всего лишь в 1,66 раз.

Вследствие этого грузонапряженность склада втрое превышает норму – в складе уже невозможно ходить и некуда класть детали. Это приводит к повреждению деталей, потере мест хранения, пересортице, путанице в учете, неудовлетворению спроса и излишним заказам.

В таких условиях материально ответственные лица имеют право отказаться от своих обязательств ввиду не обеспечения руководством фирмы условий хранения материальных ценностей.

3. Работа службы запасных частей выполняется при значительном опережении объемов обработки учетных данных и документооборота по сравнению с обеспечением необходимых условий труда.

При трехкратном росте оборота и пятикратном росте физической загрузки персонала:

• условия труда персонала не улучшились;

• штат увеличился в меньшей степени, без учета перспективы;

• оплата труда не изменилась;

• оснащение оргтехникой и связью не улучшилось – это негативно сказывается на продажах, особенно дилерам;

• отладка компьютерной системы затянулась втрое против нормальных сроков.

Выводы: Фирма приняла на себя обязательств больше, чем могла выполнить при имеющемся оснащении. Результатом уже стало торможение развития и может стать потеря наработанных каналов сбыта, ухудшение имиджа фирмы, снижение объемов продаж.

Экономия на связи и оргтехнике заведомо ошибочна – она тормозит развитие, приводит к убыткам, многократно большим, чем стоимость связи и оргтехнике. Сейчас стоимость оргтехники намного ниже стоимости содержания сотрудников и при достаточном оснащении темпы роста штатов снизятся.

Наращивание номенклатуры хранимых запчастей возможно лишь при увеличении объемов склада до нормативных. Новое помещение склада после его оборудования позволит улучшить условия хранения существующих 1200 наименований и увеличить количество наименований максимум на 500–700 позиций при всего лишь удвоении объема сбыта по стоимости. Это значит, что следует очень осторожно принимать на фирму обязательства по расширению номенклатуры и объемов.

Отладка компьютерной системы затянулась вследствие отказа от сопровождения ее фирмой-разработчиком и самодельных изменений программ системы.

Перегрузки при пятикратном росте физических объемов работы – не дает возможности ритмично работать на опережение – перегрузка персонала и постоянные авралы при совершенно плохих условиях труда вызывает неудовлетворенность сотрудников, что приводит к трудностям найма новых людей, текучести кадров, снижению качества работы, а, следовательно, объемов сбыта и к прямым убыткам.

Поделиться с друзьями: