Чтение онлайн

ЖАНРЫ

Шрифт:

«Может ли система х, г/, z, удовлетворяющая уравнениям (I), вообще допускать полюсы, или же только существенно особые точки, другими словами,— возможно ли удовлетворить уравнениям (I) рядами вида

где m — целое положительное число (или, по крайней мере, какое угодно положительное число). Легко убедиться, что это возможно только в случае m = 1 и что тогда это всегда возможно».

181

Далее Ковалевская замечает, что при произвольных

ряды (II) будут определены с точностью до множителя, т. е. будут содержать лишь одну произвольную постоянную. Это показывает, что общие интегралы уравнений (I) должны бы иметь еще другие особенности, кроме полюсов.

В частном случае, когда имеется соотношение atb2c = = CLzbci, еще один коэффициент рядов (II) остается неопределенным, и ряды содержат три произвольных постоянных, следовательно, как и в указанном частном случае, имеем общее решение.

Ковалевская добавляет: «Это позволяет нам сделать заключение, что в этом [т. е. частном] случае общие, интегралы будут также однозначными функциями на всей плоскости, имея только одну существенно особую точку и=°°, а для конечных значений и — только полюсы первого порядка». Она надеется, что изучение свойств однозначных функций, существование которых она доказала, «возможно, прольет свет когда-нибудь на свойства более общих функций

где

— квадратичная форма п переменных» [75, с. 106].

На рассмотренной задаче, ясно виден ход мысли Ковалевской, который привел ее к открытию нового случая вращения.

Уже в 1886 г. Ковалевская получила основные результаты по своей задаче. В этом году Парижская академия наук объявила две премии на 1888 г. по физико-математическим наукам: одну по математике на большую премию математических наук, состоящую из медали и 3000 франков, — усовершенствовать теорию алгебраических функций двух независимых переменных, и другую — на премию Бордена, состоящую из медали и 3000 франков,— усовершенствовать в каком-нибудь важном пункте теорию движения твердого тела (см. Примечание 2).

Шарль Лоран Борден был нотариусом, передавшим в 1835 г. Институту Франции ренту в 15 000 франков, которая должна была распределяться поровну между пятью академиями Франции. Темы, которые могли выдвигаться на конкурс, согласно завещанию Бордена, должны были иметь целью общественные интересы, благо человечества, прогресс науки и национальную честь.

182

Ковалевская решила представить свою работу на премию Бордена. Однако ей предстояло еще произвести огромные математические выкладки и оформить работу, В письме к Миттаг-Леффлеру, относящемуся к лету 1888 г., она говорит:

«Моя голова так теперь полна математикой, что я не могу ни думать, ни говорить о чем-нибудь другом. Я пришла к определенному результату, и к очень приятному притом, а именно, что этот случай задачи о вращении интегрируется действительно посредством ультраэл- липтических функций. Но мне еще предстоит разработать окончательные формулы, и я не знаю, успею ли я это сделать до конца месяца. Не могу не сообщить Вам несколько подробнее о своей работе. Вследствие недостатка времени буду писать очень коротко, но, пожалуйста, постарайтесь все же вникнуть в вопрос» [СК 273].

Остановимся на этой задаче и выпишем систему шести уравнений движения тяжелого твердого тела вокруг неподвижной точки, состоящую из двух групп уравнений [146]:

Здесь X, y, z — координаты произвольной точки тела в подвижной системе координат, неизменно связанной с движущимся телом, причем начало координат помещено в неподвижной точке тела; р, q, г — составляющие вектора угловой скорости вращения тела; у, у', ч" “ направляющие

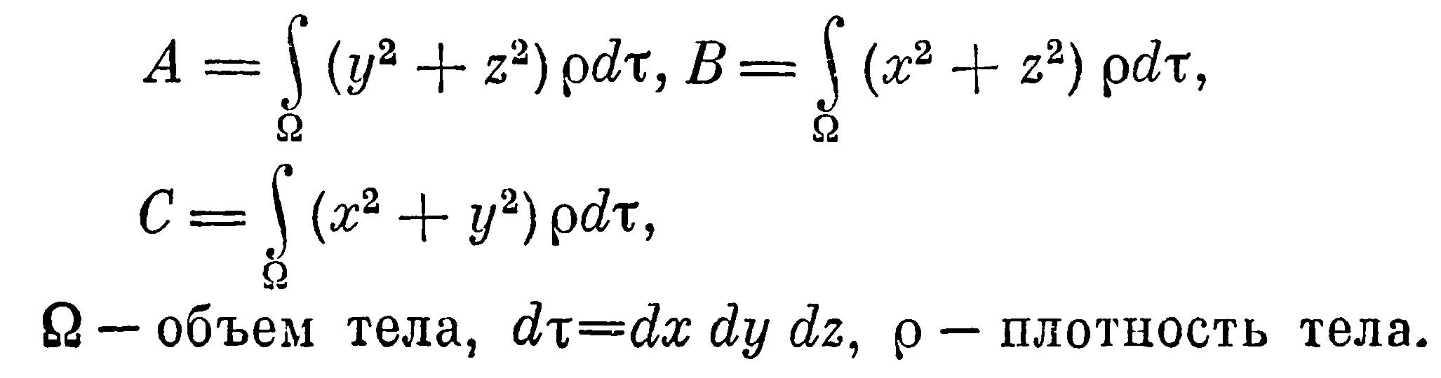
косинусы вертикальной оси относительно подвижных осей (х, у, z), Далее, через М обозначается масса тела, через (х0, у0, Zo) — координаты центра его тяжести, g — ускорение силы тяжести, А, В, С —главные моменты инерции тела, т. е. выражения

183

Задача состоит в нахождении

как функций времени, если известны начальные значения их
в момент времени
При этом между
должно выполняться соотношение

Известно, что система уравнений (1), (2) имеет три первых интеграла:

Система уравнений (1), (2) автономна, т. е. время в нее входит лишь в виде dt, поэтому, разрешив уравнения (1) относительно производных и разделив почленно все уравнения на одно из них, получают пять уравнений. Теория последнего множителя позволяет найти еще один интеграл. Поэтому достаточно иметь вдобавок к (3) еще один, четвертый интеграл, чтобы получить полное решение задачи.

Были известны такие частные случаи, когда имеется четвертый интеграл — он является также алгебраическим.

1. Случай Эйлера, когда Xo=y0=z0=0, т. е. центр тяжести совпадает с неподвижной точкой. Здесь нетрудно найти четвертый интеграл

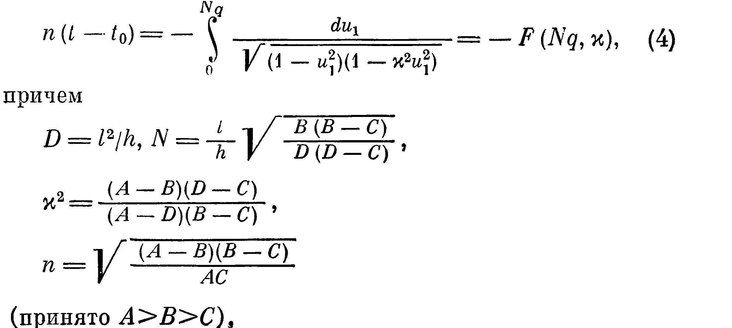
Выпишем лишь один член решения, определяющий зависимость между t и q (для случая, когда B>D, где D оп-* ределено ниже) :

84

Функция q (t) находится обращением эллиптического интеграла (4):

Для риг получены аналогичные соотношения;

определяются из уравнений

2. Случай Лагранжа, для которого А—В, х0=у0=01 т. е. рассматривается тело с симметричным эллипсоидом инерции, центр тяжести которого лежит на оси z. Здесь последнее из уравнений (1) выглядит очень просто: C(dr/dt)= 0, откуда г=С4 является новым, четвертым алгебраическим интегралом. Решение также сводится к обращению эллиптических интегралов.

Ковалевская подошла к задаче о вращении по-новому: она стала рассматривать, как это сделал Пуанкаре в задаче п тел, время t как комплексное переменное (для каждой конкретной задачи рассматриваются его действительные значения) и применила аппарат теории функций комплексного переменного. Она ищет решение, предполагая, что функции р, q, г, 7, 7', 7" имеют полюсы на комплексной плоскости переменного t. Если один из этих полюсов есть t=tu то, обозначая т=?—?4, можно искать решение в виде рядов

Поделиться с друзьями: