Чтение онлайн

ЖАНРЫ

Шрифт:

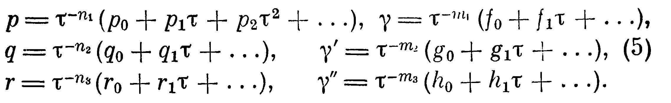
Подставляя эти ряды в уравнения (1), (2), Ковалевская нашла порядок возможных полюсов:

и условия существования решения вида (5). Оказалось, что они возможны в известных, указанных нами двух случаях и кроме того в новом, открытом Ковалевской случае, когда

Оказалось,

что в этом случае существует, кроме трех интегралов (3), также алгебраический четвертый интеграл.

185

Эти результаты в краткой форме и приведены Ковалев^ ской в указанном письме к Миттаг-Леффлеру. Далее она излагает часть работы, относящейся к отысканию p(t), q{t), ..., 4(f), ..., и добавляет, что последние из приведенных в письме формул она еще не успела развить.

Это очень досадно, потому что, как Вы видите, моя работа стала довольно интересной. Самое худшее это то, что я так устала, так изнемогла, что я сижу, сижу и размышляю в течение целых часов о какой-нибудь простой вещи, которую я при других обстоятельствах легко могла бы решить в полчаса.

Я буду Вам очень благодарна, если Вы напишете Эрмиту^ как Вы это предложили, и сообщите ему, как обстоит дело со мной и с моей статьей. У меня еще есть одна неделя работы над нею. Но я все же думаю, что едва ли успею.

Если статья не будет готова до тех пор, то придется ее отложить до следующей осени, потому что летом вряд ли я смогу много заниматься математическими работами. Досадно быть так близко к цели и все же не достигнуть ее! Но придется утешиться тем, что я, во всяком случае, сделала хорошую работу, и не слишком горевать о премии. Но будьте добры написать Эрмиту. Я, впрочем, сама напишу ему, чтобы дать отчет в своей работе. Но хорошо, чтобы Вы тоже написали.

Во всяком случае, утешением может служить то, что мне не в чем упрекнуть себя, по крайней мере за последнее время, потому что я была так прилежна, как только это было возможно [СК 273].

Письмо, написанное летом 1888 г., также относится к работе Ковалевской над задачей о вращении.

Дорогой Гёста!

Я сегодня исправляла свою статью: tant bien que mal, plutot mal que bien b Проблема совершенно разрешена. Все теоретические трудности преодолены. Я показываю, что все шесть величин р, q, г, 7, ч', ч" могут быть выражены рационально через отношения вида (^1^2)/тЭ1 (^1^2), где ut и 1/2 являются линейными функциями времени. Что это было не так легко, это Вы можете видеть из того, что Венерштрасс, которому я писала, до и после того как я нашла, что проблема решается через ультраэллиптические й-функции, и который, по-видимому, серьезно думал об этом деле, пе смог доказать этого. Он пишет мне, чтобы сказать, что он начинает думать, что это вещь невозможная и что, вероятно, я ошиблась в своих размышлениях о том, что р, q, г являются однозначными функциями времени. Но я пе успела по-настоящему выполнить все вычисления. Последние ведь чисто механические и, вероятно, могут быть выполпепы меньше чем за неделю каждым, кто сколько-нибудь привык обращаться с й-функциями. Но в данное время я так устала, что не могу ничего больше сделать. Поэтому я не решилась послать статью прямо в Академию наук и адресую ее Эрмиту в сопровождении длинного письма, в котором я подробно излагаю ему все причины, задержавшие меня в моей работе. Я рассказываю о

1 Худо ли, хорошо ли, скорее плохо, чем хорошо (франц.),

186

некоторых, как мне кажется, удивительных и интересных результатах, которые я нашла относительно общего случая. Теперь Эрмит должен решить, что следует сделать со статьей. В качестве девиза я выбрала

Dis ce que tu sais,

Fais ce que tu dois,

Advienne ce qui pourra 2.

Сегодня вечером я еду в Лондон. Я напишу Анне-Шарлотте из Копенгагена хотя бы несколько строчек.

Преданная Вам Сопя.

Мой адрес в Лондоне G. Russel street 90 [CK 274].

После

научного триумфа за границей, после избрания в члены-корреспонденты Петербургской академии наук, летом 1890 г. Ковалевская приехала в Россию. Посетив

B. Г. Имшенецкого, она записала в своем дневнике 18 мая (1890 г.): «Марков публично заявил, что мой мемуар полон ошибок, но что он покажет их лишь тогда, когда господа академики, представившие меня членом, потрудятся прочесть мой мемуар... После того как М[аркова] сделали экстраординарным] акад[емиком], он был так милостив, что заявил в частном разговоре, что мемуар мой не так плох, как ему сначала показалось» [64, с. 181].

Для лучшего понимания сущности нападок А. А. Маркова сформулируем теорему.

Теорема Ковалевской. Уравнения движения тяжелого твердого тела вокруг неподвижной точки в общем случае не имеют однозначных мероморфных решений, допускающих пять произвольных постоянных, за исключением трех указанных выше случаев, включая новый случай, найденный Ковалевской.

Впоследствии (письма Маркова не датированы), в письме А. М. Ляпунову, А. А. Марков писал:

«Первоначальное мое заявление о § 1 мемуара

C. В. Ковалевской имело только одну цель — доказать, что П. Л. Чебышев вовсе не знаком с работами С. В. Ковалевской и ценить их не может» 3.

В письме П. А. Некрасову, которое А. А. Марков написал уже после смерти С. В. Ковалевской, он говорит по поводу работы Ковалевской следующее:

«Вот подлинные слова ее, которые я считаю неосновательными: „Легко убедиться, сравнивая показатели

* Говори, что знаешь, делай, что должен, пусть будет, что может быть (фр.).

187

первых членов в левых и правых частях рассматриваемых уравнений, что должны иметь

Итак, мое возражение сводится к тому, что из одного сравнения показателей первых членов нельзя вывести заключения.

Я сомневаюсь, как Вы видите и может быть слышали от меня и раньше, не в самом случае, найденном С. В. Ковалевской, а только в единственности его» 4.

Приходится пожалеть, что А. А. Марков не высказал своих сомнений самой Софье Васильевне. Ученик П. А. Некрасова Г. Г. Аппельрот предпринял после смерти Ковалевской более подробные вычисления к § 1 мемуара Ковалевской. Но А. А. Марков объявил, что выкладки Аппельрота «лишены значения, так как построены они на ложном основании, состоящем в замене предложенной системы уравнений другою». На самом деле Аппельрот только видоизменил запись рядов (5) Ковалевской [194]. Марков же обратился за посредничеством к А. М. Ляпунову.

В архиве Академии наук сохранились три письма

А. А. Маркова А. М. Ляпунову с двумя ответными письмами А. М. Ляпунова.

А. А. Марков выставил два основных возражения.

Первое возражение. Из сравнения показателей нельзя заключить, что значения ni=n2=n3=l, mi=m2^=m3==2

являются единственно возможными. Действительно, рассматривая в § 1 первого мемуара Ковалевской равенства (3), «согласно известному со времен Ньютона началу наибольших и наименьших показателей... замечаем, что каждая из следующих шести систем должна содержать по крайней мере два равных числа:

С. В. Ковалевская уравнивает между собой в каждой из указанных здесь шести систем не два, а все (четыре или три) числа и, таким образом, отбрасывает без доста¬

188

точных оснований бесчисленное множество случаев, как, например, случай

.

Второе возражение. Ковалевская не рассматривает случая кратных корней своего основного определителя, между тем как не исключена возможность существования однозначного общего интеграла и при наличии кратных корней».

Поделиться с друзьями: