Чтение онлайн

ЖАНРЫ

Астероидно-кометная опасность: вчера, сегодня, завтра
Шрифт:

p(E1…, E6) = p1(E1)p2(E2)… p6(E6).

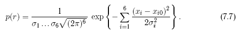
Каждый сомножитель в правой части последней формулы определяется формулой типа (7.5). Из этого вытекает, что плотность вероятности в точке r в случае шестимерного нормального распределения при сделанном предположении определяется формулой

Указанная плотность вероятности остается неизменной во всех точках пространства, где

При

любом положительном значении постоянной это выражение представляет собой уравнение эллипсоида в осях, совпадающих по направлению с главными осями эллипсоида и имеющих начало в точке (x10, x20, x30…, x60) шестимерного пространства. Если представить, что в шестимерном пространстве элементов по осям прямоугольной системы координат с началом в точке, отвечающей номинальной орбите, отложены величины i и представить себе шестимерный эллипсоид с полуосями i, то плотность вероятности на таком эллипсоиде будет всюду одинаковой. То же самое будет справедливо и для любого другого подобного и подобным образом расположенного эллипсоида. Такие эллипсоиды называются эллипсоидами равных плотностей вероятностей.

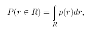
По аналогии с одномерным случаем можно заключить, что вероятность попадания точки внутрь некоторого эллипсоида равна интегралу

где интегрирование распространяется на все пространство, ограниченное эллипсоидом. Если полуоси эллипсоида неограниченно увеличиваются, то интеграл по всему пространству равен единице. Если представить эллипсоид с полуосями, равными 3i, то вероятность попадания точки в область пространства, ограниченную этим эллипсоидом, близка к единице (0,99736). Такой эллипсоид будем называть доверительным.

Выше предполагалось, что ошибки элементов независимы. На самом деле они корреляционно связаны. Отражением этих связей между ошибками отдельных элементов, найденных по методу МНК, являются величины недиагональных элементов обратной матрицы Q– 1, которую называют корреляционной матрицей решения или матрицей ковариаций. Корреляционные связи могут проявляться по-разному. Примером двух элементов, находящихся в жесткой корреляционной зависимости, являются долгота узла и угловое расстояние перигелия от узла при малом наклоне орбиты. Ошибки этих величин близки по величине и противоположны по знаку.

Сделанное выше допущение о независимости случайных ошибок элементов эквивалентно допущению, что все недиагональные элементы матрицы ковариаций равны нулю. В том случае, если это допущение неверно, плотность вероятности многомерного нормального распределения будет иметь более сложный вид по сравнению с (7.7). В показателе экспоненты будет присутствовать сумма не только квадратов, но и смешанных членов вида (xi — xi0)(xj — xj0) с коэффициентами, зависящими от недиагональных элементов матрицы ковариаций (коэффициентов корреляции). Приравнивание суммы в показателе экспоненты к положительной постоянной дает уравнение эллипсоида равной плотности вероятности, но в этом случае ориентация главных осей эллипсоида не совпадает с ориентацией координатных осей. Путем поворота координатных осей уравнение эллипсоида может быть приведено к виду (7.8), в котором отсутствуют смешанные члены.

Корреляционные матрицы, определяющие погрешности элементов и корреляционные связи между ними, находят важное применение при определении погрешностей различных функций этих элементов. Этот вопрос еще будет обсуждаться в следующих параграфах.

Подводя

итог, важно обратить внимание на то, что элементы истинной орбиты тела остаются неизвестными. Любая точка внутри доверительного эллипсоида представляет некоторую орбиту, совместимую с имеющимися наблюдениями. Однако вероятность того, что реальная орбита находится в малой окрестности номинального решения, является максимальной по сравнению с другими возможными решениями.

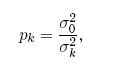
Отметим, что до сих пор мы рассматривали все наблюдения как имеющие одинаковую точность. На практике приходится определять элементы орбиты на основе рядов наблюдений, выполненных с различными точностями (имеющими различные среднеквадратичные ошибки 1, 2…, n). В таких случаях вводят понятие веса наблюдения, определяя его как

где 0 — произвольное положительное число.

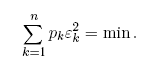
Решение системы условных уравнений в таком случае ищут исходя из обобщенного принципа Лежандра: решение системы должно минимизировать взвешенную сумму квадратов остающихся невязок:

Из этого требования вытекает правило преобразования системы условных уравнений и ее решения: каждое условное уравнение должно быть умножено на корень квадратный из веса соответствующего наблюдения. После этой операции (так называемого приведения к равноточным наблюдениям) система решается так же, как в случае наблюдений, имеющих одну и ту же среднюю ошибку.

7.2. Нелинейный характер распространения ошибок начальных данных. Поиск потенциально опасных сближений астероидов с Землей и оценка вероятности столкновений

После того как номинальная орбита астероида определена, появляется возможность предвычислить его движение в предстоящий период времени и определить, угрожает ли Земле столкновение с ним в обозримом будущем. В зависимости от точности найденной орбиты такие расчеты желательно выполнять для всех АСЗ на интервалах от нескольких лет до нескольких десятков лет, а иногда и до нескольких сотен лет. Прогнозирование движения выполняется методом численного интегрирования уравнений движения, в которых учитываются члены, обусловленные притяжением больших планет и наиболее массивных астероидов (в случаях, требующих особой точности, иногда учитываются возмущения от трехсот наиболее массивных астероидов, см. раздел 7.3). В ходе численного интегрирования фиксируются моменты тесных сближений с Землей и другими большими планетами, которые могут заметным образом трансформировать орбиту тела и тем самым оказать влияние на ее последующие сближения с Землей.

Поскольку столкновения достаточно крупных тел с Землей — весьма редкие события, то при прогнозировании движения тела по номинальной орбите столкновения с Землей, как правило, не обнаруживаются. Нужно, однако, иметь в виду, что номинальная орбита является лишь одной из бесчисленного количества других возможных орбит, элементы которых более или менее близки к элементам номинальной орбиты. Фактическая орбита тела, которая нам не известна, находится где-то внутри области, ограниченной доверительным эллипсоидом (см. раздел 7.1).

Аналогичное представление об области неопределенности начальных условий движения справедливо и в том случае, если рассматривать точки не в пространстве элементов орбит, а в пространстве начальных значений прямоугольных координат и скоростей тел, что имеет несколько большую наглядность.

По мере увеличения числа использованных наблюдений и расширения покрываемого ими временного интервала, ошибки определения элементов, вообще говоря, уменьшаются, а вместе с тем сокращаются и полуоси доверительного эллипсоида. Его центр, соответствующий новому номинальному решению, при этом также несколько смещается в пространстве.

Поделиться с друзьями: