Чтение онлайн

ЖАНРЫ

Фейнмановские лекции по физике. 9. Квантовая механика II
Шрифт:

§ 1. Симметрия

В классической физике немало величин (та­ких, как импульс, энергия и момент количества движения) сохраняется. Теоремы о сохранении соответствующих величин существуют и в кван­товой механике. Самое прекрасное в квантовой механике это то, что теоремы сохранения в опре­деленном смысле удается в ней вывести из чего-то другого; в классической же механике они сами практически являются исходными для других законов. (Можно, правда, и в классиче­ской механике поступать так же, как в кванто­вой, но это удается только на очень высоком уровне.) В квантовой механике, однако, законы сохранения очень тесно связаны с принципом суперпозиции амплитуд и с симметрией физи­ческих систем относительно различных измене­ний. Это и есть тема настоящей лекции. Хотя идеи эти мы будем применять главным образом к сохранению момента количества движения, но существенно здесь то, что все теоремы о сохранении каких угодно величин всегда связа­ны —

в квантовой механике — с симметриями системы.

Начнем поэтому с изучения вопроса о симметриях систем. Очень простым примером слу­жат молекулярные ионы водорода (впрочем, в равной степени подошли бы и молекулы ам­миака), у которых имеется по два состояния. У молекулярного иона водорода за одно базис­ное состояние мы принимали такое состояние, когда электрон расположен возле протона № 1, а за другое базисное со­стояние то, в котором электрон располагался возле протона № 2. Эти два состояния (мы их называли |1> и |2>) мы снова показываем на фиг. 15.1, а.

Фиг. 15.1. Если состояния |1> и |2> отразить в плоскости Р—Р, они перейдут соответ­ственно в состояния |2> и |1>.

И вот, по­скольку оба ядра в точ­ности одинаковы, в этой физической системе име­ется определенная сим­метрия. Иначе сказать, если бы нам пришлось отразить систему в пло­скости, поставленной по­средине между двумя протонами (имеется в виду, если бы все находящееся с одной стороны плоскости симметрично перешло на другую сторону), то возникла бы картина, представленная на фиг. 15.1, б. А коль скоро протоны тождественны, операция отражения пе­реводит |1>в |2>, а |2> в |1>. Обозначим эту операцию отражения Р^ и напишем

Значит, наше Р^ — это оператор, в том смысле, что он «что-то делает» с состоянием, чтобы вышло новое состояние. Интересно здесь то, что Р^, действуя на любое состояние, создает какое-то другое состояние системы.

Далее, у Р^, как у всякого другого оператора, с которыми мы встречались, есть матричные элементы, которые можно определить с помощью обычных очевидных обозначений. Именно

суть матричные элементы, которые получаются, если Р^ |1> и

Р^|2>умножить слева на <1| . Согласно уравнению (15.1), они равны

Таким же путем можно получить и Р21, и Р22. Матрица Р^ относительно базисной системы|1> и|2> есть

Мы снова убеждаемся, что слова оператор и матрица в кван­товой механике практически взаимозаменяемы. Есть, конечно, легкие технические различия, как между словами «числитель­ное» и «число», но мы не такие педанты, чтобы забивать себе этим голову. Так что будем именовать Р^ то оператором, то мат­рицей, независимо от того, определяет ли оно операцию или реально использовано для получения численной матрицы.

Теперь мы хотели бы кое на что обратить ваше внимание. Предположим, что физика всей системы молекулярного иона водорода сама по себе симметрична. Этого могло бы и не быть — это зависит, например, от того, что находится с нею рядом. Но если система симметрична, то с необходимостью должна быть справедлива следующая идея. Предположим, что вначале, при t=0, система находится в состоянии |1>, а через промежуток времени t мы обнаруживаем, что система оказалась в более сложном положении — в какой-то линейной комбинации обоих базисных состояний. Вспомните, что в гл. 6 (вып. 8) мы привыкли представлять «эволюцию во времени» умножением на оператор U^. Это

означает, что система через мгновение (скажем для опреде­ленности, через 15 сек) окажется в каком-то ином состоянии.

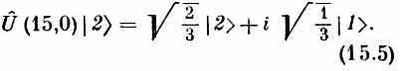
Например, это состояние на Ц 2/3 может состоять из состояния |1> и на iЦ1/3 из состояния |2>, и мы бы написали

|y на 15-й секунде>=

.(15.4)

Теперь спросим: что же произойдет, если вначале мы запустим систему в симметричном состоянии |2> и при тех же условиях подождем 15 сек? Ясно, что если мир симметричен (что мы и предполагаем), то обязательно получится состояние, симметрич­ное с (15.4):

|yна 15-й секунде>=

Те же идеи схематично изображены на фиг. 15.2.

Фиг. 15.2. Если в симметричной системе чистое состояние |1> развивается во вре­мени так, как показано в части (а), то чистое состояние |2> будет во времени развиваться так, как показано в части (б).

Итак, если физика системы симметрична относительно некоторой плоскости и мы рассчитали поведение того или иного состояния, то нам также известно поведение состояния, которое получилось бы после отражения исходного состояния в плоскости симметрии.

То же самое можно высказать чуть более общо, т. е. чуть более отвлеченно. Пусть Q^ — любая из множества операций, которые вы можете произвести над системой, не меняя физики. К примеру, за Q^ мы можем принять операцию отражения в пло­скости, расположенной посредине между двумя атомами моле­кулы водорода. Или в системе с двумя электронами можно было бы под Q^ подразумевать операцию обмена двумя электронами. Третьей возможностью явилась бы в сферически симметричной системе операция поворота всей системы на конечный угол вокруг некоторой оси; от этого физика не изменится. Конечно, в каждом отдельном случае мы бы обозначали Q^ по-своему. В частности, через R^y(q) мы обычно будем обозначать операцию «поверни систему вокруг оси у на угол q». Под Q^ мы просто понимаем один из названных операторов или любой другой, который оставляет всю физическую ситуацию неизменной.

Оператор Q^ мы будем называть оператором симметрии для системы.

Вот вам еще примеры операторов симметрии. Если у нас имеется атом, а внешнее магнитное или внешнее электрическое поле отсутствует, то после поворота системы координат вокруг любой оси физическая система остается той же самой. Опять-таки молекула аммиака симметрична относительно отражения в пло­скости, параллельной той, в которой лежат три атома водорода (пока нет электрического поля). Если есть электрическое поле, то при отражении надо было бы обратить и поле, а это меняет всю физическую задачу. Но пока внешнего поля нет, молекула симметрична.

Теперь рассмотрим общий случай. Положим, мы начали с состояния |y1>, а через некоторое время или под влиянием других физических условий оно превратилось в состояние |y2>. Напишем

[Посмотрите на формулу (15.4).] Теперь вообразите, что над всей системой мы проводим операцию Q^. Состояние |y1> преобра­зится в состояние |y'1>, которое также записывается в виде Q^|y1>. А состояние |y2> превращается в |y'2>=Q^|y2>. И вот, если физика симметрична относительно Q^ (не забывайте про это, если это отнюдь не общее свойство системы), тогда, подождав в тех же условиях то же время, мы должны получить

Поделиться с друзьями: