Чтение онлайн

ЖАНРЫ

Rasovyie razlichiia v intielliektie. Evo
Шрифт:

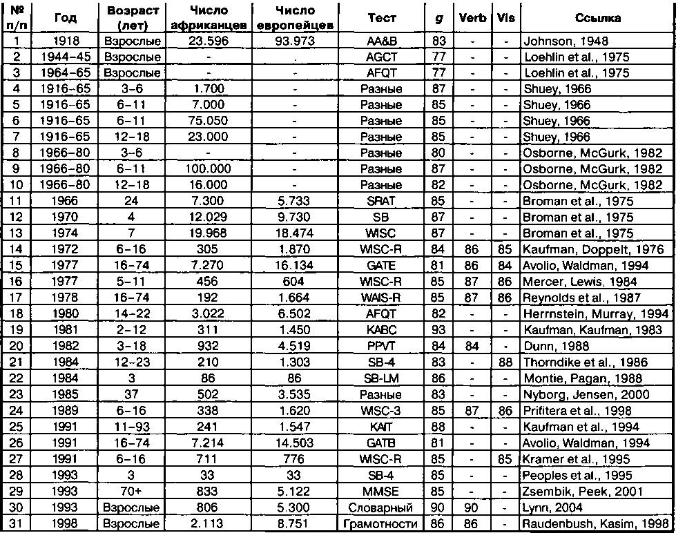
Все сокращения, в том числе в других таблицах — см. Таблицу 4.1.

Афроамериканцы в Соединенных Штатах Америки

В Соединенных Штатах проводились сотни исследований интеллекта афроамериканцев. Результаты наиболее важных из них приведены в Таб­лице 4.4.

В строке 1 даны результаты первого из больших исследований — сре­ди призывников в период Первой Мировой войны, проводившегося с по­мощью объединённых армейских Альфа и Бета тестов, которые измеряли невербальный и вербальный IQ и впоследствии легли в основу тестов Векс­лера. Число европеоидов составляло 93.973 чел. В строке 2 приведены дан­ные для призывников Второй Мировой войны, а в строке 3 — результаты

Расовые различия в интеллекте

59

тестирования призывников Вьетнамской войны. Примечательно,

что сред­ний IQ африканцев в периоды Второй Мировой и Вьетнамской войн был ниже (77 баллов), чем в период Первой Мировой войны, и ниже обычно приводимого среднего значения IQ афроамериканцев в Соединенных Штатах (85 баллов). В строках 4-7 приведены результаты компиляции всех американских исследований, выполненной Шу. В строке 4 дан IQ 87, по­лученный по данным 17 исследований среди дошкольников. В строке 5 пред­ставлен IQ 85, определённый по результатам 26 исследований среди уча­щихся начальной школы с использованием индивидуальных тестов, таких как тест Стенфорд-Бине. В строке 6 приведён IQ 85 для учащихся начальной школы, полученный по 103 исследованиям с применением тестов вербаль­ной способности и 41 исследованию с помощью тестов невербальной спо­собности. В строке 7 дан IQ 85 для студентов высшей школы. В строках 8,9 и 10 представлены результаты Осборна и Мак-Гурка (Osbome, McGurk, 1982), дополнивших суммарные данные американских исследований резуль­татами работ, опубликованных в период 1976-1980 гг. В строке 8 дан IQ 80, полученный из результатов 66 исследований среди дошкольников 3-5 лет. В строке 9 приведён IQ 87, полученный по данным 126 исследований среди учащихся начальной школы, а в строке 10 — IQ 82, полученный по данным 17 исследований среди учащихся средней школы.

В строках 11,12 и 13 (Broman и др., 1975) даны результаты тестирова­ния трёх больших выборок испытуемых, не представленных в обзоре Ос­борна и Мак-Гурка. В строке 11 приведён IQ в 85 баллов для африканских матерей, тестировавшихся в ходе выполнения Национального Коллабо- ративного Перинатального проекта, а в строках 12 и 13 — IQ их детей в возрасте 4 и 7 лет, составивший 87 баллов. В строке 14 представлен IQ общего интеллекта африканцев в 86 баллов по данным выборки теста стан­дартизации теста WISC-R. В строке 15 дан IQ в 81 балл для общего интел­лекта, в 86 баллов для вербального интеллекта и в 84 балла для способности к визуализации среди работающих по найму (данные собраны Службой за­нятости Соединенных Штатов). В строке 16 дан IQ 85 для общего интеллек­та афроамериканцев, 87 для вербального и 86 для способности к визуализа­ции по выборке из Калифорнии. В строке 17 приведён IQ 85 для общего интеллекта, 87 для вербальной способности и 86 для способности к визуали­зации (по данным выборки стандартизации теста WAIS-R). В строке 18 пред­ставлен IQ 82, полученный с помощью теста AFQT. В строке 19 дан IQ 93 по данным выборки стандартизации теста К-АВС. В строке 20 даётся словар­ный IQ в 85 баллов по данным выборки стандартизации словарного теста Пибоди в картинках. В строке 21 представлен IQ в 83 балла, полученный по данным выборки стандартизации теста Стенфорд-Бине-4. Афроамерикан­цы из этой выборки получили IQ для кратковременной памяти в 89 баллов, что согласуется с результатами многих других исследователей, согласно

60

Ричард Линн

которым афроамериканцы сравнительно успешно выполняют тесты на кратковременную память. В строке 22 дан IQ 86 для 3-летних детей по дан­ным выборки стандартизации теста Стенфорд-Бине – LM. В строке 23 при­ведён IQ 83, вычисленный из значений первого главного фактора как меры общего интеллекта, полученных у военнослужащих. В строке 24 представ­лен IQ 85 по данным выборки стандартизации теста WISC-3. В строке 25 дан IQ 88 по данным выборки стандартизации теста интеллекта Кауфма­на для подростков и взрослых. В строке 26 дан IQ 81 для выборки работа­ющих по найму (данные собраны Службой занятости Соединенных Шта­тов). В строке 27 приведён IQ 85 для способности к визуализации из оценок субтеста упорядочивания блоков теста WISC-R (по данным националь­ной выборки NHANES III).

Приведённый в строке 28 IQ в 85 баллов получен у детей в возрасте от 3,0 до 3,4 лет по данным выборки стандартизации теста Стенфорд-Бине-4. В строке 29 дан IQ 85 для репрезентативной выборки испытуемых возрас­та 70 лет и старше из континентальных Соединенных Штатов (т. е., ис­ключая Аляску и Гавайи). В строке 30 дан словарный IQ взрослых афроа­мериканцев в 90 баллов, полученный в исследованиях NORC за 1990-96 гг. на репрезентативной выборке из континентальных

Соединенных Шта­тах. Это необычно высокое значение можно приписать краткости теста, состоящего в определении значений десяти слов. В строке 31 приведён IQ в 86 баллов по данным Национального исследования грамотности взрос­лых 1992 года, тест состоял в оценке понимания вербального материала и выполнении арифметических заданий испытуемыми репрезентативной выборки из континентальных Соединенных Штатов.

Из результатов исследований интеллекта афроамериканцев можно сделать пять выводов. Во-первых, медиана IQ составляет 85 баллов, это значение многими считается наилучшей оценкой IQ афроамериканцев. Эта оценка близка к значению в 83,5 балла, полученному в итоге мета-анализа данных 105 исследований, проведённых в общей сложности среди 6.246.729 испытуемых (Roth, Bevier, Bobko, Switzer, Tyler, 2001). Вариации средних значений, полученных в разных исследованиях, вызваны, вероятно, раз­личиями выборок, ошибками измерения и различиями способностей ис­пытуемых, измеряемых разными тестами. Во многих исследованиях было показано, что африканцы относительно хорошо справляются с тестами памяти, таким образом, величина африканско-европейского различия от­ражает в некоторой мере степень, в которой тесты памяти представлены в показателях интеллекта. Например, одно из наиболее высоких значений IQ в таблице (88 баллов) было получено по тесту KAIT Кауфмана. Этот тест содержит семь субтестов, из которых один оценивает память на лица, в нём требуется опознать лица известных людей. По этому субтесту афри­канцы получили средний IQ в 92,5 балла.

Расовые различия в интеллекте

61

Во-вторых, как можно видеть в строках 22 и 28, коэффициент интел­лекта около 85 баллов наблюдается у 3-летних афроамериканцев. Эти ре­зультаты противоречат утверждению, часто высказываемому сторонни­ками средовой теории, что плохое образование и расизм полностью или в определённой степени ответственны за низкий IQ африканцев. Даже у 2-лет­них африканцев IQ составляет 93 балла (строка 19). Этот показатель не так низок, как в других исследованиях, потому что африканские младен­цы созревают быстрее европейских до возраста двух лет (Lynn, 1998d; Rushton, 2000). Только на третьем году их IQ падает ниже европейского, и лишь на четвертом достигает величины порядка 85 баллов, как показано в строках 22 и 28.

В-третьих, характерный для афроамериканцев IQ около 85 баллов существенно выше среднего значения IQ африканцев в Африке южнее Сахары, составляющего примерно 67 баллов. Это различие можно объяс­нить двумя факторами. Прежде всего, афроамериканцы по многим пара­метрам живут в гораздо лучших условиях, чем африканцы в Африке, вклю­чая намного более высокий жизненный уровень, лучшее питание и здравоохранение. Кроме того, афроамериканцы имеют в среднем около 25 процентов европейских генов и это делает их IQ выше, чем у африкан­цев в Африке (Reed, 1969; Chakraborty, Kamboh, Nwanko and Ferrell, 1992).

В-четвертых, в пяти работах, где приводятся оценки вербального и визуального IQ, визуальный IQ афроамериканцев на один или два балла выше вербального. Результаты оценки вербального IQ более подвержены влиянию культурного окружения, таким образом, это противоречит ут­верждению, часто высказываемому сторонниками средовой теории, что африканцы плохо выполняют тесты потому, что тесты ориентированы не на них. Это подтверждает выводы Мак-Гурка (McGurk, 1953а, 1953b) о том, что афроамериканцы более не испытывают отрицательного влияния того, что считается «культурно-смещёнными общими информационными проблемами», и Дженсена (Jensen, 1980) о том, что тесты не являются куль­турно-смещёнными относительно афроамериканцев.

В-пятых, представляется, что в течение двадцатого столетия не про­исходило увеличения IQ афроамериканцев. Так, по данным четырнадца­ти исследований, выполнявшихся с 1980 г. по 1998 г., средний IQ составил 85 баллов, такое же значение определялось и в более ранних исследовани­ях. В пользу такого вывода говорит отсутствие какой-либо тенденции к уменьшению разрыва между афроамериканцами и европейцами в млад­ших возрастных группах. Данные о различиях величин IQ у африканцев и европейцев разных возрастных групп были приведены в работе Рейнольд­са и соавт. (Reynolds, Chastain, Kaufman, McLean, 1987) на материале вы­борки стандартизации теста WAIS-R 1978 г. Величины IQ африканцев со­ставили 86 баллов у 16-19 летних, 85 баллов у 20-34 и у 35-54 летних, и 86

62

Ричард Линн

баллов у 55-74 летних испытуемых. Проводившиеся два раза в год тести­рования показали также, что различие в интеллекте между афроамерикан­цами и европейцами не изменялось за период 1974—1996 гг. (Lynn, 1998е). Наконец, в выборке стандартизации теста KAIT (Тест интеллекта Кауф­мана для подростков и взрослых; Kaufman и др., 1994) не было значимого различия между самой младшей и самой старшей возрастными группами. В самой младшей возрастной группе (родившиеся с 1980 по 1991 гг.) IQ был даже немного ниже (83 балла), чем в самой старшей (в среднем 1921 года рождения) — 88 баллов.

Поделиться с друзьями: