Чтение онлайн

ЖАНРЫ

Шрифт:

Если техническая работа имеет место в процессе, то для газового потока первое начало термодинамики будет иметь вид:

где dlTEK– полезная работа (элементарная).

50. Располагаемая работа при истечении газа

Исследуем процесс перемещения (истечения) газового потока.

Предположим наличие некоторой емкости, в ней содержится пар или газ (т. е. рабочее тело), имеющий параметры состояния в виде величин f1, v1, p1. Из данного сосуда, в стенке которого находится отверстие, газ вытекает в окружающую среду. Это происходит

вследствие разницы в давлениях (p1– p2), газ на выходе имеет давление p1 < p2 Соответственно температура газа при этом равна t2, а удельный объем – v2 Для того чтобы струя вытекающего газа получила заданное направление, с наружной стороны сосуда к поверхности, где расположено отверстие, приставляют насадки цилиндрической формы (так называемые сопла). Чаще всего они имеют форму усеченного конуса, суживающегося к наружному краю. Такие сопла называются кон-фузорами. В случае канала, работающего по обратному процессу, такое сопло является диффузором. Устьем называют внешнее (т. е. на выходе) сечение сопла.

Обозначим скорость газовой струи на выходе из устья величиной а на входе в сосуд – величиной W1 (втекающий газ), при этом сопло имеет устье, поперечное сечение которого определяется площадью f. На практике w1намного меньше w2,при вычислениях ею пренебрегают и принимают: w1= 0, w2= w.

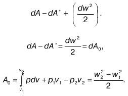
dq = du + dA,

где dA = pdv – работа по расширению, или совершаемая самим газом элементарная работа. Отсюда:

Таким образом, в результате истечения газа мы располагаем работой, равной A0.Численно она равна либо увеличению кинетической энергии в ходе истечения, либо сумме работ проталкивания и против внешних сил.

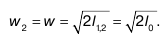
51. Скорость истечения в сужающемся канале, массовая скорость перемещения потока

Скорость истечения в сужающемся канале

Рассмотрим процесс адиабатного истечения вещества. Предположим, что рабочее тело с некоторым удельным объемом (v1) находится в резервуаре под определенным давлением (p1).Процесс истечения заключается в перемещении газа (или пара) из среды, имеющей давление p1(резервуар) в окружающую среду, давление в которой p2 < p1.При этом за время процесса истечения рабочего вещества из сопла давление внутри резервуара практически не уменьшается, это допустимо в случае очень большого объема резервуара. При перемещении потока газа (пара) через сопло его потенциальная энергия очень мала и ее изменением обычно пренебрегают. Кинетическая энергия в этом случае возрастает.

где w1– скорость перемещения потока вещества во входном сечении насадки;

w2– скорость на выходе сопла.

скорость истечения газа (пара)из сопла.

Чаще всего скорость w1 намного меньше скорости w2 (W1 << W2), поэтому ею пренебрегают и считают W1 = 0.

Тогда:

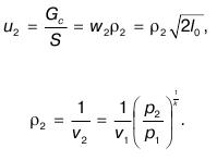
Массовой скоростью перемещения потока называется отношение:

где Gc– секундный расход пара (газа);

S –

площадь сечения потока;

r– плотность рабочего тела.

52. Истечение капельной жидкости. Массовый расход

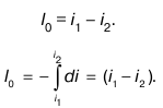
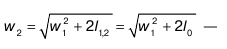
Располагаемая работа для любого вещества, являющегося рабочим телом, определяется по формуле:

I0 = q + (i1 – i2).

Если течение адиабатное (при q = 0)

где i– энтальпия (Дж/кг);

W2 = w– скорость истечения (м/с).

Величину Di = i1 – i2, равную разности энтальпий, называют теплопадением газа (пара).

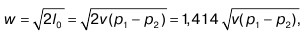
а для капельной жидкости справедливо равенство:

где w– скорость истечения жидкости из сопла.

Массовым расходом называется количество вещества, которое за секунду вытекает через насадки. Оно равно отношению секундного объема истечения вещества (газа) У2 к удельному объемутого же вещества соответствующего давлению p2:

массовый расход (его также определяют из уравнения неразрывности: Gv = Sw).

53. Критическая скорость

Анализ формулы для скорости истечения показывает, что при уменьшении значения p2/p1 увеличивается скорость потока. Это возможно, например, если pi = const, а давление p2 уменьшается.

Из опытов известно, что уменьшение давления на выходе суживающегося сопла (или сопла постоянного сечения) p2 может осуществляться лишь до некоторого предельного значения, так называемого критического давления (pкритич). При этом критическим отношением давлений называется величина b= pкритич/p1, отсюда Pк = bp1

В результате уменьшения давления p0 (внешней среды) при p1= const возможны два случая:

1) po >= Pк, т. е. пока давление po уменьшается до критического значения, соблюдается равенство p2= po где p2 – давление вещества на выходе суживающегося сопла, po – давление внешней среды;

2) po < Pк, т. е. дальнейшее падение давления po среды ниже критического значения определяется равенством p2 = pk,причем давление p2 вытекающего вещества является постоянным (p2= const).

Таким образом, явление, при котором в устье насадки давление постоянно и не понижается, называется запиранием сопла. Поэтому такое давление на выходе сопла, которое невозможно понизить путем уменьшения давления внешней среды, в которую осуществляется истечение рабочего тела, называют критическим(P).

Независимо от падения давления внешней среды po в устье суживающегося сопла при bk устанавливается давление P=const, которому соответствует Gmax = const (массовый расход), wk = const (скорость истечения), Tk = const (температура), и v2k = const (удельный объем), т. е. постоянство всех параметров на выходе сопла (так называемые выходные параметры).

Поделиться с друзьями: