Чтение онлайн

ЖАНРЫ

Шрифт:

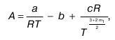
где а и b – для реальных газов постоянные величины в уравнениях состояния;

R – универсальная газовая постоянная; r, c, k, m1, m2 – коэффициенты, выражающие степень ассоциации.

Иначе уравнение Вукаловича-Новикова можно представить в виде:

где а и b

постоянные величины в уравнении Ван-дер-Ваальса; m, c – постоянные, рассчитываемые опытным путем.

В общем случае основными для перегретого пара (аналогично газу) являются такие параметры состояния, как температура, давление и удельный объем. Перегретый пар близок по свойствам к идеальному газу, так как его параметры расположены далеко от критической точки и от пограничной кривой (верхняя кривая на диаграммах). Если давление перегретого пара не очень велико, то его уравнение состояния можно получить, используя уравнение Ван-дер-Ваальса для случая реального газа, путем введения в него поправок.

Для водяного пара уравнение состояния М. Н. Вукаловича и И. И. Новикова в современной термодинамике является наиболее точным уравнением. Причем его можно использовать и для расчета состояний перегретого пара (при условии и для расчета давления), если добавить к нему несколько последующих членов уравнения.

43. Частные производные параметров состояния. Термические коэффициенты

Свойства реальных веществ описываются термическими коэффициентами.

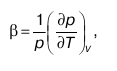
Определение 1. Коэффициентом объемного расширенияaназывается изменение объема вещества при повышении его температуры на один градус.

частная производная параметров состояния.

Она характеризует изменение объема вещества с определенной массой, если его температура повышается на один градус, а внешнее давление остается постоянным.

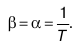
Определение 2. Термическим коэффициентом давления b называется изменение давления в зависимости от изменения температуры вещества. Эта величина также относительная и рассчитывается как:

где

частная производная,характеризующая изменения давления p,если температура вещества повышается на один градус, а объем остается постоянным, давление pявляется функцией температуры.

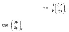
Определение 3. Изотермическим коэффициентом сжимаемостиgназывается изменение объема в зависимости от изменения давления.

– частная

производная, характеризует изменение объема вещества, если давление меняется на одну единицу.

44. Свойства характеристических функций

Функции, описывающие любые термодинамические свойства, называются характеристическими функциями или термодинамическими потенциалами системы. Наиболее важными характеристическими функциями являются: энтальпия

i= i(S,p),

внутренняя энергия

U= U(S,v),

изобарно-изотермический потенциал, или свободная энтальпия,

Z= Z(T,p),

изохорно-изотермическтий потенциал, или свободная энергия,

F= F (T,v).

К основным свойствам характеристических функций относятся следующие.

1. Термодинамические потенциалы отличаются от других функций тем, что имеют более простую структуру и определенное физическое значение.

2. Параметры состояния системы равны частным производным от термодинамического потенциала, взятым по тем же параметрам.

3. В результате дифференцирования термодинамического потенциала получается полный дифференциал данной функции.

4. Используя характеристические функции, записанные в дифференциальном виде, можно получить любые термодинамические параметры системы.

5. Термодинамический потенциал всей системы складывается из значений потенциала ее частей, т. е. обладает свойством аддитивности.

6. Характеристические функции устанавливают зависимость между различными термодинамическими свойствами вещества. Так, например, первые производные от потенциала характеризуют термические свойства (т. е. величины, измеряемые непосредственно приборами – объем, температура, давление), а вторые производные соответствуют калорическим свойствам системы (это величины, выраженные в единицах теплоты – теплоемкость, энтропия, энтальпия, внутренняя энергия).

7. Частные производные характеристических функций позволяютсоставлять уравнения теплоемкостей Cv и Cp, уравнения состояния и другие термодинамические зависимости.

8. Функция является характеристической только при определенных параметрах. При выборе других переменных она утрачиваетсвои свойства, потому что в этом случае частные производные не выражают термодинамические свойства системы.

45. Химический потенциал

Химической энергией называется такая энергия, которая образуется в результате химических взаимодействий и входит в состав внутренней энергии вещества. Химические реакции делятся на экзотермические (проходящие с выделением энергии) и эндотермические (сопровождающиеся ее поглощением).

В случае химической реакции меняется внутренняя энергия системы, так как меняется поглощение атомов в веществах-реагентах. Для таких процессов, можно применить первое начало термодинамики в виде:

U1– U2 =U=Q+A,

где Q– количество теплоты;

DU – изменение внутренней энергии вещества;

А – полезная работа, включающая работу по преодолению также различных электромагнитных сил.

Работа, совершенная в процессе обратимой химической реакции, является максимальной. Ее выражают с помощью уравнения Гиббса-Гельмгольца:

Поделиться с друзьями: