Чтение онлайн

ЖАНРЫ

Шрифт:

В полученных формулах a, Y – коэффициенты, определяемые только величиной k(показателем адиабаты), их значения находят из специальных таблиц.

По определению критической скоростью называется наибольшая скорость вещества при его истечении из сопла, не превышающая скорость звука, т. е. wk =a, где а – так называемая местная скорость звука.

Полученная формула называется уравнением Лапласа.

54. Истечение идеального газа через комбинированное сопло Лаваля

Сопла Лаваля используются

для создания закрити-ческого процесса истечения рабочего тела, условием которого служит po/p1 < bk В нем выделяют три основные области.

1. Суживающаяся короткая часть, в которой скорость потока дозвуковая.

2. Узкое сечение, в котором вещество движется со скоростью звука.

3. Расширяющаяся конусообразная насадка (сверхзвуковая скорость потока).

Главным условием выбора размеров широкой части сопла Лаваля для истечения рабочего тела является безотрывность его от стенок насадки. Поэтому угол раствора конуса должен иметь предел в 12o, это помогает устранить существенные потери вследствие расширения газа (пара).

Рассмотрим процессы, происходящие при работе комбинированного сопла. В том случае, когда давление внешней среды po < pk,скорость и давление потока в узкой плоскости сопел являются критическими.

Конструкция сопла Лаваля позволяет для каждого отношения o < po/p1 < b получить полное расширение вещества в границах значения давлений [po, pi]. При этом в выходном сечении сопла энергия не теряется, а при выравнивании давления рабочего тела и внешней среды скорость потока становится сверхзвуковой, что необходимо для применения сопла на практике. В таком случае массовый расход становится максимальным, его величина зависит от площади наименьшего сечения сопла (Smin).

В узкой части сопла (называемой горловиной) устанавливаются критические значения параметров Vk,Tk, pk, wk= wзв, Gmax.(где Wзвместная скорость звука). Движение потока по расширяющейся части характеризуется тем, что газ расширяется далее в границах [ p2k, p1], повышается скорость в интервале [wk = Wзв, w > wk] (т. е. до значений w > Wзв), что ведет к уменьшению давления, но при этом удельный объем увеличивается (т. е. v >vk , p< pk).

Расширяющаяся часть насадки может выполнять функцию диффузора, если в узкой плоскости w < wзв (для po / p1> bk).

55. Дросселирование газа и уравнение процесса

Для водяного пара критическая температура составляет Тк = 647 К, соответственно, Тинв > 4400 К (температура инверсии). В процессе дросселирования всегда происходит охлаждение водяного пара, это связано с полной диссоциацией молекул пара при таких не очень высоких значениях данной температуры инверсии.

Дросселирование водяного пара характеризуется следующими свойствами, полученными из анализа диаграммы (i, s):

1) для любого состояния пара дросселирование всегда

понижает температуру водяного пара;

2) дросселирование влажных паров при небольших давлениях сопровождается переходом из увлажненного в сухое, а затем в перегретое состояние. Влажные пары при высокихдавленияхсначала еще более увлажняются, но потом такжеобразуют сухую и перегретую фазу;

3) дросселирование перегретых паров при больших давлениях (если температура перегрева невелика) сопровождается прохождением ими несколькихфаз (сухого насыщенного, влажного, сухого и наконец, перегретого). Последнее состояние пара характеризуется низкими значениями температуры и давления. В общем случае при дросселировании перегретые пары сохраняют свое перегретое состояние, если в начале процесса их давления были высокими.

Обычно на is-диаграмме процесс дросселирования i1 = i2 представляет собой горизонтальную линию, направленную в сторону возрастания энтропии (вследствие необратимости процесса).

Известно, что давление перегретого пара (и его полезная работа) в процессе мятия снижается.

аад < aдрос, где адрос температурный эффект адиабатного необратимого расширения (т. е. дросселирования), а аад– эффект адиабатного обратимого расширения. Отсюда при одном давлении dp имеем:

dTдрос < dTад на величину v/cp.

56. Передача теплоты через шаровую стенку

Пусть имеется полый шар с внутренним и внешним радиусами соответственно г1 и г2 коэффициент теплопроводности I которого постоянен. При заданных граничных условиях третьего рода будут также определены коэффициенты теплоотдачи на поверхностях шара a1 и a2 и температуры внутренней и внешней сред соответственно Tж1 и Tж2. Коэффициенты a1,a2 будут постоянными во времени, а температуры Tж1,Tж2 – постоянными и во времени, и по поверхностям.

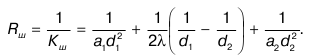
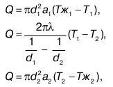
При стационарном режиме теплопередачи полный тепловой поток Q, переданный через однородную сферическую стенку от горячей среды к холодной, будет постоянным для всех изотермических поверхностей и может быть определен тремя уравнениями.

где d1,d2 – внутренний и наружный диаметры шара;

a1,a2 коэффициенты теплоотдачи от горячей среды к стенке и от стенки к холодной среде;

I– коэффициент теплопроводности материала стенки;

T12 – температуры внутренней и наружной стенок.

где DT = Тж1 – Тж2 – полный температурный напор;

Кш – коэффициент теплопередачи шаровой стенки (Вт/град).

Величина обратная Кш называется термическим сопротивлением теплопередачи шаровой стенки:

Поделиться с друзьями: