Чтение онлайн

ЖАНРЫ

Фейнмановские лекции по физике. 6. Электродинамика
Шрифт:

и, кроме того, условию

(21.6)

Найдем теперь решение уравнений (21.4) и (21.5). Для этого надо уметь решать уравнение

(21.7)

где величина s (которая называется источником) известна. Ясно, что для уравнения (21.4) s соответствует r/e0, a ш—это j, а для уравнения (21.5) s соответствует jx/e0с2, если ш — это Ах, и т. д. Но нас интересует

чисто математическая задача решения (21.7) безотносительно к тому, каков физический смысл ш и s. Там, где r и j равны нулю (это место называется «пустотой»), там потенциалы j и А и поля Е и В удовлетворяют трехмерному волновому уравнению без источников; математическая форма этого уравнения такова:

(21.8)

В гл. 20 мы видели, что решения этого уравнения могут пред­ставлять волны разных сортов: плоские волны, бегущие в x-направлении я|;=f(t-x/с); плоские волны, бегущие вдоль у или вдоль z или в любом другом направлении; сферические

(21.9)

(Решения можно записать иначе — например в виде цилиндри­ческих волн, разбегающихся от оси.)

Мы тогда заметили, что физически формула (21.9) отно­сится не совсем к пустоте: в начале координат должны быть какие-то заряды, иначе расходящаяся волна не получилась бы. Иными словами, формула (21.9) есть решение уравнения (21.8) всюду, кроме непосредственной окрестности точки r=0, где (21.9) представляет собой решение полного уравнения (21.7), в правой части которого стоят источники. Давайте те­перь посмотрим, что это за уравнение, т. е. какого рода источ­ник s в уравнении (21.7) должен вызвать волну типа (21.9).

Предположим, что имеется сферическая волна (21.9) и по­глядим, во что она превращается при очень малых r. Тогда запаздыванием -rв f(t-r/с) можно пренебречь, и посколь­ку функция f плавная, ш превращается в

(21.10)

Итак, ш в точности похоже на кулоново поле заряда, располо­женного в начале координат. Мы знаем, что для небольшого сгустка заряда, ограниченного очень малой областью близ на­чала координат и имеющего плотность r,

где Q=rdV. Такой потенциал j удовлетворяет уравнению

Следуя тем же расчетам, мы должны были бы сказать, что ш из выражения (21.10) удовлетворяет уравнению

(21.11)

где s связано с f формулой

при

Единственная разница в том, что в общем случае s, а, стало быть, и S может оказаться функцией времени.

Далее очень важно то, что если ш удовлетворяет (21.11) при малых r, то оно удовлетворяет также и (21.7). По мере приближения к началу координат зависимость шот r типа 1/r приводит к тому, что пространственные производные ста­новятся очень большими. А производные по времени остаются теми же. [Это просто производные f(t) по времени.] Так что, когда r стремится к нулю, множителем d2ш/dt2в

уравнении (21.7) по сравнению с С2ш можно пренебречь, и (21.7) становится эквивалентным уравнению (21.11).

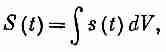
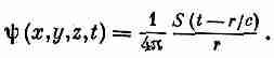
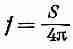
Подытоживая, можно сказать, что если функция источника s(t) из уравнения (21.7) сосредоточена в начале координат и ее общая величина равна

(21.12)

то решение уравнения (21.7) имеет вид

(21.13)

Влияние слагаемого с d2ш/dt2в (21.7) сказывается лишь на появ­лении запаздывания (t-r/с) в потенциале кулонова типа.

§ 3. Общее peшeниe уравнений Максвелла

Мы нашли решение уравнения (21.7) для «точечного» источ­ника. Теперь встает новый вопрос: Каков вид решения для рас­средоточенного источника? Ну, это решить легко; всякий источ­ник s(x, у, z, t) можно считать состоящим из суммы многих «точечных» источников, расположенных поодиночке в каждом элементе объема dV и имеющих силу s(x, у, z, t)dV. Поскольку (21.7) линейно, суммарное поле представляет собой суперпози­цию полей от всех таких элементов источника.

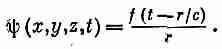
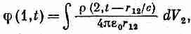
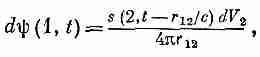
Используя результаты предыдущего параграфа [см. (21.13)], мы получим, что в момент t поле dшв точке 1, y1, z1) [или, короче, в точке (1)], создаваемое элементом источника sdV в точке 2> у2, z2) [или, короче, в точке (2)],выражается форму­лой

где r12расстояние от (2) до (1). Сложение вкладов от всех частей источника означает, конечно, интегрирование по всей области, где s№0, так что мы имеем

(21.14)

Иначе говоря, поле в точке (1) в момент времени t представляет собой сумму всех сферических волн, испускаемых в момент t-r12/c всеми элементами источника, расположенного в точке (2). Выражение (21.14) является решением нашего волнового уравнения для любой системы источников.

Теперь мы видим, как получать общее решение уравнений Максвелла. Если подразумевать под шскалярный потенциал j, то функция источника s превращается в r/e0. А можно считать, что ш представляет одну из трех компонент векторного потен­циала А; тогда s означает соответствующую компоненту j/e0c2. Стало быть, если во всех точках известна плотность нарядов r(х, у, z, t) и плотность тока j(х, у, z, t), то решения уравнении (21.4) и (21.5) можно выписать немедленно:

Поделиться с друзьями: