Чтение онлайн

ЖАНРЫ

Фейнмановские лекции по физике. 9. Квантовая механика II
Шрифт:

В этом опыте мы измерили момент количества движения двух возбужденных состояний Ne20*. Этой информацией можно воспользоваться, чтобы понять, как ведут себя протоны и нейтроны внутри этого ядра, и это принесет нам добавочные сведения о таинственных ядерных силах.

§ 6. Сложение моментов количества движения

Когда мы изучали сверхтонкую структуру атома водорода в гл. 10 (вып. 8), нам пришлось рассчитывать внутренние состоя­ния системы, составленной из двух частиц — электрона и протона — со спинами 1/2. Мы нашли, что четверка возможных спиновых состояний такой системы может быть разбита на две группы — на тройку состояний с одной энергией, которая во внешнем поле выглядела как частица со спином 1, и на одно ос­тавшееся состояние, которое вело себя как частица со спином 0. Иначе говоря, объединяя две частицы со спином 1/2, можно образовать систему, «полный спин» которой равен либо единице, либо нулю. В этом параграфе мы хотим рассмотреть на более общем уровне спиновые состояния системы, составленной из двух частиц с произвольными спинами. Это другая важная проблема, связанная с моментами количества движения квантовомеханической системы.

Перепишем сперва результаты гл. 10 для атома водорода в

форме, которая позволит распространить их на более общий случай. Мы начали с двух частиц, которые теперь обозначим так: частица а (электрон) и частица b (протон). Спин частицы а был равен ja(=1/2), a z-компонента момента количества движе­ния mамогла принимать одно из нескольких значений (на са­мом деле два, а именно mа=+1/2 или mа=-1/2). Точно так же спиновое состояние частицы b описывалось ее спином jb и z-компонентой момента количества движения mb. Из всего этого можно было составить несколько комбинаций спиновых состояний двух частиц. Например, из частицы а с mа= 1/2 и частицы b с mb=-1/2 можно было образовать состояние | а, +1/2; b, -1/2>. Вообще, объединенные состояния образовы­вали систему, у которой «спин системы», или «полный спин», или «полный момент количества движения» J мог быть равен либо единице, либо нулю, а z-компонента момента количества движения М могла равняться +1, 0 или -1 при J=1 и нулю при J=0. На этом новом языке формулы (10.41) и (10.42) можно переписать так, как показано в табл. 16.3.

Левый столбец таблицы описывает составное состояние через его полный момент количества движения J и z– компоненту М.

Таблица 16.3 · СОСТАВЛЕНИЕ МОМЕНТОВ КОЛИЧЕСТВА ДВИЖЕНИЯ ДВУХ ЧАСТИЦ СО СПИНОМ 1/2,

Правый столбец показывает, как составляются эти состояния из значений т двух частиц а и b.

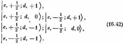
Мы хотим обобщить этот результат на состояния, составлен­ные из двух объектов а и b с произвольными спинами jа и jb. Начнем с разбора примера, когда jа=1/2 и jb=1, а именно с атома дейтерия, в котором частица а — это электрон е, а части­ца b — ядро, т. е. дейтрон d. Тогда ja=je=1/2. Дейтрон обра­зован из одного протона и одного нейтрона в состоянии с пол­ным спином 1, так что jb=jd=1. Мы хотим рассмотреть сверхтонкие состояния дейтерия, как мы сделали это для водо­рода. Поскольку у дейтрона может быть три состояния, mb= md=+1, 0, -1, а у электрона — два, mа=mе=+1/2, -1/2, то всего имеется шесть возможных состояний, а именно (используется обозначение

| е, me; d, md>):

Обратите внимание, что мы разверстали состояния согласно значениям суммы meи mdв порядке ее убывания.

Спросим теперь: что случится с этими состояниями, если спроецировать их в другую систему координат? Если эту новую систему просто повернуть вокруг оси z на угол j, то состояние | е, me; d, md>умножается

на

(Состояние можно считать произведением |е, mе>|d, md>, и каждый вектор состояния независимо привнесет свой собст­венный экспоненциальный множитель.) Множитель (16.43) имеет форму еiMj, поэтому z-компонента момента количества движения у состояния | е, mе; d, md>окажется равной

M=me+md. (16.44)

Иначе говоря, z-компонента полного момента количества движения есть сумма z-компонент моментов количества движе­ния отдельных частей.

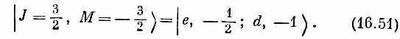
Значит, в перечне состояний (16.42) верхнее состояние имеет М=+3/2, Два следующих М=+1/2, затем два М=-1/2и последнее состояние М=-3/2. Мы сразу же видим, что одной из возможностей для спина J объединенного состояния (для полного момента количества движения) должно быть 3/2, это потребует четырех состояний с М= +3/2, +1/2,1/2 и - 3/2. На М=+3/2 есть только один кандидат, и мы сразу видим, что

Но что является состоянием |J=3/2, М=+1/2>? Кандидатов здесь два, они стоят во второй строчке (16.42), и всякая их ли­нейная комбинация тоже даст М=+1/2. Значит, в общем случае можно ожидать, что

где a и b — два числа. Их именуют коэффициенты Клебша — Гордона. Найти их и будет нашей очередной задачей.

И мы их легко найдем, если просто вспомним, что дейтрон состоит из нейтрона и протона, и в явном виде распишем со­стояния дейтрона, пользуясь правилами табл. 16.3. Если это проделать, то перечисленные в (16.42) состояния будут выгля­деть так, как показано в табл. 16.4.

Пользуясь состояниями из этой таблицы, мы хотим образо­вать четверку состояний с J=3/2. Но ответ нам уже известен, потому что в табл. 16.1 уже стоят состояния со спином 3/2, образованные из трех частиц со спином 1/2. Первое состояние в табл. 16.1 имеет |J=3/2, М=+3/2>, это |+++>, а в наших нынешних обозначениях это |e, +1/2; n, + 1/2; p, +1/2>, или первое состояние из табл. 16.4. Но это состояние — то же самое, что первое по списку в (16.42), так что наше выражение (16.45) подтверждается. Вторая строчка в табл. 16.1 утверждает, если воспользоваться нашими теперешними обозначениями, что

То, что стоит в правой части, можно, очевидно, составить из двух членов во второй строчке табл. 16.4, взяв Ц2/3 от пер­вого члена и Ц1/3от второго. Иначе говоря, (16.47) эквива­лентно

Таблица 16.4 · СОСТОЯНИЯ МОМЕНТА КОЛИЧЕСТВА ДВИЖЕНИЯ АТОМА ДЕЙТЕРИЯ

Мы нашли два наших первых коэффициента Клебша — Гор­дона a, и b [см. (16.46)]:

Повторяя ту же процедуру, найдем

а также, конечно,

Это и есть правила составления из спина 1 и спина 1/2 полного спина J=3/2. Мы свели (16.45) и (16.50) в табл. 16.5.

Таблица 16.5 · СОСТОЯНИЯ С J=3/2 АТОМА ДЕЙТЕРИЯ

Поделиться с друзьями: