Чтение онлайн

ЖАНРЫ

Фейнмановские лекции по физике. 9. Квантовая механика II
Шрифт:

§ 1. Уравнение Шредингера для атома водорода

§ 2. Сферически симметричные решения

§ 3. Состояния с угловой зависимостью

§ 4. Общее решение для водорода

§ 5. Волновые функции водорода

§ 6. Периодическая таблица

§ 1. Уравнение Шредингера для атома водорода

Самым замечательным успехом в истории квантовой механики было объяснение всех дета­лей спектров простейших атомов, а также периодичностей, обнаруженных в таблице химических элементов. В этой главе в нашем курсе кванто­вой механики мы наконец-то подойдем к этому важнейшему достижению и расскажем об объ­яснении спектра атомов водорода. Кроме того, здесь мы расскажем и о качественном объясне­нии таинственных свойств химических элемен­тов. Для этого мы подробно изучим поведение электрона в атоме водорода: в первую очередь мы рассчитаем

его распределения в простран­стве, следуя тем представлениям, которые были развиты в гл. 14.

Для полного описания атома водорода сле­довало бы учесть движения обеих частиц — как протона, так и электрона. В квантовой меха­нике в этой задаче следуют классической идее об описании движения каждой из частиц по отношению к их центру тяжести. Однако мы не будем этого делать. Мы просто используем приближение, в котором протон считается очень тяжелым, настолько тяжелым, что он как бы закреплен в центре атома.

Мы сделаем еще и другое приближение: забудем, что у электрона имеется спин и что его надлежит описывать законами релятивист­ской механики. Это потребует внесения неболь­ших поправок в наши выкладки, поскольку мы будем пользоваться нерелятивистским уравне­нием Шредингера и пренебрежем магнитными эффектами. Небольшие магнитные эффекты по­являются из-за того, что протон с точки зрения электрона есть циркулирующий по кругу заряд, который создает магнитное поле. В этом поле энергия элек­трона будет различна, смотря по тому, направлен ли его спин вверх или вниз по полю. Энергия атома должна немного сдви­нуться относительно той величины, которую мы вычислим. Но мы пренебрежем этим слабым сдвигом энергии, т. е. вообра­зим, что электрон в точности подобен волчку, движущемуся в пространстве по кругу и сохраняющему все время одинаковое направление спина. Поскольку речь будет идти о свободном атоме в пространстве, полный момент количества движения будет сохраняться. В нашем приближении будет считаться, что момент количества движения, вызываемый спином электро­на, остается неизменным, так что оставшийся момент количества движения атома (то, что обычно называют «орбитальным» момен­том количества движения) тоже не будет меняться. В очень хоро­шем приближении можно считать, что электрон движется в атоме водорода как частица без спина — его орбитальный момент ко­личества движения постоянен.

В этих приближениях амплитуда того, что электрон будет обнаружен в том или ином месте пространства, может быть пред­ставлена как функция положения электрона в пространстве и времени. Обозначим амплитуду того, что электрон будет обнаружен в точке х, у, z в момент t через y(x, у, z, t). Со­гласно квантовой механике, скорость изменения этой ампли­туды со временем дается гамильтоновым оператором, действую­щим на ту же функцию. Из гл. 14 мы знаем, что

где

Здесь m—масса электрона, а V (r)— потенциальная энергия электрона в лектростатическом поле протона. Считая на больших удалениях от протона V=0, можно написать

V=-e 2 /r.

Волновая функция y должна тогда удовлетворять уравнению

Мы хотим найти состояния с определенной энергией, по­этому попробуем поискать решения, которые бы имели вид

Тогда функция y(r) должна быть решением уравнения

где Е — некоторое постоянное число (энергия атома).

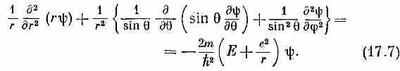
Раз потенциальная энергия зависит только от радиуса, то это уравнение лучше решать в полярных координатах.

Лапласиан в прямоугольных координатах определялся так:

Вместо этого мы хотим воспользоваться координатами r,q, j, изображенными на фиг. 17.1.

Фиг. 17.1. Сферические ко­ординаты r, q, j точки Р.

Они связаны с х, у, z форму­лами

х=rsinqcosj; у=rsinqsinj; z=rcosq.

Вас ждут довольно нудные алгебраические выкладки, но в конце концов вы должны будете прийти к тому, что для произвольной функции f(r) = f(r, q, j):

Итак,

в полярных координатах уравнение, которому должна удовлетворять функция y(r, q, j), принимает вид

§ 2. Сферически симметричные решения

Попробуем сперва отыскать какую-нибудь функцию попроще, чтобы она удовлетворяла уравнению (17.7). Хотя волновая функция y в общем случае будет зависеть как от q и j, так и от r, можно все же поискать, не бывает ли такого особого случая, когда y не зависит от углов. Если волновая функция от углов не зависит, то при поворотах системы координат ни одна из амплитуд никак не будет меняться. Это означает, что все ком­поненты момента количества движения равны нулю. Такая функция y должна соответствовать состоянию с равным нулю полным моментом количества движения. (На самом деле, ко­нечно, равен нулю только орбитальный момент количества дви­жения, потому что остается еще спин электрона, но мы на эту часть момента не обращаем внимания.) Состояние с нулевым орбитальным моментом количества движения имеет особое на­звание. Его называют «s-состоянием» (можете считать, что s от слова «сферически симметричный»).

Раз y не собирается зависеть от q и j, то в полном лапласиане останется только один первый член и (17.7) сильно упростится:

· Прежде чем заняться решением подобного уравнения, хорошо

; бы, изменив масштаб, убрать из него все лишние константы

вроде е2, m, h. От этого выкладки станут легче. Если сделать подстановки

то уравнение (17.8) обратится (после умножения на r) в

Эти изменения масштаба означают, что мы измеряем расстояние r и энергию Е в «естественных» атомных единицах. Например, r=r/rB, где rB=h2/me2, называется «боровским радиусом» и равно примерно 0,528 Е. Точно так же e=E/ER, где ER=me4/2h2. Эта энергия называется «ридбергом» и равна примерно 13,6 эв. Раз произведение ry встречается в обеих частях уравнения, то лучше работать с ним, чем с самим y. Обозначив

ry=f, (17.12)

мы получим уравнение, которое выглядит проще:

Теперь нам предстоит найти функцию f, которая удовлет­воряет уравнению (17.13), иными словами, просто решить диф­ференциальное уравнение. К сожалению, не существует ника­ких общих, годных во всех случаях жизни методов решения любого дифференциального уравнения. Вы должны просто по­крутить его то так, то этак. Хоть уравнение не из легких, но лю­ди все же нашли, что его можно решить при помощи следующей процедуры. Первым делом вы заменяете f, которое является некоторой функцией от r, произведением двух функций:

Это просто означает, что вы выносите из f(r) множитель еar. Для любого f(r) это можно сделать. Задача теперь просто све­лась к отысканию подходящей функции g(r).

Подставив (17.14) в (17.13), мы получим следующее уравне­ние для g:

Поделиться с друзьями: