Чтение онлайн

ЖАНРЫ

Фейнмановские лекции по физике. 9. Квантовая механика II
Шрифт:

Теперь, чтобы найти Br', остается немного: лишь про­биться через алгебру.

Сравнивая (16.67) с (16.65) и вспоминая, что r'+s'=r+s, мы видим, что Br' — это просто коэффициент при ar'bs'в

вы­ражении

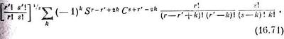
Осталась лишь нудная работа разложить скобки по биному Ньютона и собрать члены с данными степенями а и b. Если вы все это проделаете, то увидите, что коэффициент при аr'bs' в (16.70) имеет вид

Сумма берется по всем целым k, при которых аргументы факто­риалов больше или в крайнем случае равны нулю. Это выраже­ние и есть искомый матричный элемент.

В конце надо вернуться к нашим первоначальным обозначе­ниям j, m и m', пользуясь формулами

r=j+-m, r'=j+m', s=j-m, s'=j-m'. Проделав эти подстановки, получим уравнение (16.34) из § 4.

Добавление 2. Сохранение четности при испускании фотона

В § 1 мы рассмотрели испускание света атомом, который переходит из возбужденного состояния со спином 1 в основное состояние со спином 0. Если спин возбужденного состояния на­правлен вверх (m=+1), то атом может излучить вверх вдоль оси +z правый фотон или вдоль оси -z левый. Обозначим эти два состояния фотона |Rвв> и |Lвн>. Ни одно из них не обладает определенной четностью. Если оператор четности обозначить

Что же тогда будет с нашим прежним доказательством, что атом в состоянии с определенной энергией должен иметь опре­деленную четность, и с нашим утверждением, что четность в атомных процессах сохраняется? Разве не должно конечное состояние в этой задаче (состояние после излучения фотона) иметь определенную четность? Да, должно, если только мы рас­смотрим полное конечное состояние, в которое входят амплитуды излучения фотонов под всевозможными углами. А в § 1 мы рассматривали только часть полного конечного состояния.

Если вы хотите, можно рассмотреть только конечные состоя­ния, у которых действительно определенная четность. Напри­мер, рассмотрим конечное состояние |yk>, у которого есть некоторая амплитуда а оказаться правым фотоном, движу­щимся вдоль оси +z, и некоторая амплитуда b оказаться левым фотоном, движущимся вдоль оси -z. Можно написать

Оператор четности, действуя на это состояние, дает

Это состояние совпадает с ±|yк> либо при b=a, либо при b=-a. Так что конечное состояние с положительной чет­ностью таково:

а состояние с отрицательной четностью

Далее, мы хотим рассмотреть распад

возбужденного состоя­ния с отрицательной четностью на основное состояние с положительной четностью и на фотон. Если четность должна сохра­ниться, то конечное состояние фотона должно иметь отрица­тельную четность. Оно обязано быть состоянием (16.75). Если амплитуда того, что будет обнаружено | Rвв>, есть a, то ампли­туда того, что будет обнаружено | Lвн>, есть -a.

Теперь обратите внимание на то, что получается, если мы проводим поворот на 180° вокруг оси у. Начальное возбужден­ное состояние атома становится состоянием с m=-1 (соглас­но табл. 15.2, стр. 129, знак не меняется). А поворот конечного состояния дает

Сравнивая это с (16.75), мы увидим, что при выбранной нами четности конечного состояния амплитуда того, что при началь­ном состоянии с m=-1 будет получен левый фотон, идущий в направлении +z, равна со знаком минус амплитуде того, что при начальном состоянии с m=+1 будет получен правый фотон, идущий в направлении -z. Это согласуется с результатами, полученными в § 1.

* Первоначально материал этого добавления входил в текст лекции, но потом мы поняли, что не стоит включать в нее такое подробное изложе­ние общего случая.

* Тем более, что большая часть работы уже проделана, раз у нас есть общая матрица поворота (16.35).

* Отдачей, которую испытал Ne 20* в первой реакции, можно пренеб­речь. Или, еще лучше, подсчитать и сделать поправку на нее.

* Детали вы найдете в добавлении, стр. 165.

* Мы не нормировали наши амплитуды и не умножали их на амплитуду распада в то или иное конечное состояние, но легко видеть, что наш результат верен, ибо, рассчитывая вторую из взаимоисключающих воз­можностей [см. (16.23)], мы получаем вероятность нуль.

* Заметьте, что мы всегда анализируем момент количества движения относительно направления движения частицы. Если бы мы стали интере­соваться моментом количества движения относительно других осей, нам пришлось бы учесть возможность «орбитального» момента количества движения — от члена pXr. Так, мы не вправе говорить, что фотоны вы­летают прямо из центра позитрония. Они могли вылететь, как два комка с обода вертящегося колеса. О таких подробностях не приходится заду­мываться, если проводить ось вдоль направления движения.

* При нашем нынешнем глубоком понимании мира нелегко ответить на вопрос—менее ли «материальна» энергия фотона, чем энергия элек­трона, ведь, как вы помните, все частицы ведут себя очень похоже. Един­ственное различие в том, что у фотона масса покоя равна нулю.

* Кое-кто может возразить, что все эти рассуждения неверны, по­тому что наши конечные состояния не обладают определенной четностью. В добавлении 2 в конце этой главы вы найдете другое доказательство, которое вас удовлетворит.

* Когда мы переводим х, у, z в -х, -у, -z, то можно подумать, что все векторы перевернутся. Это верно для полярных векторов, таких, как смещения и скорости, но не для аксиальных векторов наподобие момента количества движения, да и любых векторов, представляющих собой век­торное произведение двух полярных векторов. Компоненты аксиальных векторов при инверсии не меняются.

Глава 17

АТОМ ВОДОРОДА И ПЕРИОДИЧЕСКАЯ ТАБЛИЦА

Поделиться с друзьями: