Чтение онлайн

ЖАНРЫ

Шрифт:

в общем виде, формула принимает следующий вид:

Д(Х) = Д(0)*(1+ ГД)Х

Иногда надо решать обратную задачу. Требуется посчитать не какая получиться сумма через х лет при заданной годовой процентной ставке, а какая должна быть годовая процентная ставка, чтобы через Х лет первоначальная сумма выросла до известного результата.

Например, известно, что ваша инвестиция в размере 100 тыс. руб. за три года выросла на 30 тыс. руб. – то есть у вас на счету 130 тыс. руб. Какая должна быть среднегодовая доходность, чтобы получить этот результат?

Чтобы ответить на этот вопрос, сначала необходимо определить суммарную доходность за три года. Это сделать достаточно просто. Надо просто посчитать, сколько

процентов составляет 30 тыс. руб. от 100 тыс. руб. В нашем примере суммарная доходность за три года составила 30 %.

Чтобы подсчитать среднегодовую доходность за каждый год, нельзя просто разделить 30 % суммарной доходности на 3 (года) и получить среднеарифметическую доходность в размере 10 % годовой доходности.

Если бы это было так, то, используя вышеприведённую формулу расчёта доходности, мы бы получили следующий результат:

100 тыс. руб. * (1+10,0 %)3 = 100 000 * (1 + 0,10)3 = 133 100,0 руб.

Но ведь по условиям задачи мы заработали 30 тыс. руб., а не 33,1 тыс. руб. [5]

Чтобы посчитать годовую доходность, если известен результат через Х лет, надо в формуле расчёта доходности использовать годовую доходность не в процентном формате, а изменение в разах.

• Д(0) – исходное количество денег;

• Д(Х) – количество денег через Х лет;

5

Из этого примера видно, что использование среднеарифметической доходности для сравнения начальной и конечной стоимости инвестиций приводит к завышению конечной стоимости.

• Р – ежегодное изменение в разах.

Через 1 год: Д(1) = Д(0)*Р;

Через 2 года: Д(2) = Д(1)*Р = Д(0)*Р2;

Через 3 года: Д(3) = Д(2)*Р = Д(0)*Р3;

В общем виде, формула расчёта среднегодовой доходности (в разах) принимает следующий вид:

Д(Х) = Д(0)*РХ

В нашем примере, через 3 года (Х), 100 тыс. руб. – Д(0), стали 125 тыс. руб. Д(3). Надо найти во сколько раз изменилась инвестиция, то есть найти чему равно «Р»?

(что эквивалентно росту на 7,72 % в год).

Проверяем по формуле расчёта среднегодовой доходности:

100 000 * (1+7,72 %)3 = 100 000 * (1+0,0772)3= 100 000 * 1,07723= 124 994 руб.

То, что ответ получился не ровно 125 тыс. руб. не должен вас пугать. Так получается из-за используемой точности вычисления. В нашем примере при расчёте годового процента было использовано округление до двух значащих цифр после запятой. Если бы мы использовали при расчете не 2, а 6 знаков после запятой, то есть 7,721734 % (вместо 7,72 %), то ответ был бы равен 124 999,998 руб., что даёт требуемый результат. Чем больше значащих цифр, чем точнее ответ. На практике не требуется такая точность вычислений, поэтому использование десятых или сотых долей даёт приемлемую точность вычислений.

Итак, чтобы посчитать годовую доходность в процентах, нужно конечную стоимость разделить на начальную, затем вычесть корень той степени, равный количеству периодов начисления процентов и после этого вычесть единицу. Затем полученное число не забыть перевести в процентный формат, то есть умножить на 100 и поставить знак «%».

Если не вычитать единицу, получиться изменение в разах:

< image l:href="#"/>

Проблема

с использованием среднеарифметической доходности заключается в том, что она не учитывает наращивание доходности в течении определённого периода. Например, у нас есть три значения годовой доходности:

Таблица 13. Пример годовой доходности за 2014–2016 годов

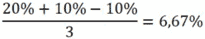
Среднеарифметическая доходность составит:

Среднегеометрическая доходность составит:

При этом среднегеометрическая доходность будет в точности ровна годовой доходности, для определения которой используются только начальная и конечная величина баланса:

Стоит особо отметить, что среднеарифметическая доходность всегда больше среднегеометрической доходности. Они равны друг другу только в случае равенства доходностей за каждый период, то есть каждый год одна и та же доходность.

Например, банковский депозит на три года с 10 %-ой ставкой, тогда:

Среднеарифметическая доходность составит:

Среднегеометрическая доходность составит:

Как видно, проблема заключается в том, что при среднеарифметическом способе вычисления доходности не учитывается факт реинвестирования прибыли за предыдущий период. В нашем примере 10 % дохода за 2015 год были заработаны путём реинвестирования 20 % дохода за 2014 год, но это не было учтено в формуле расчёта среднеарифметического.

Иначе говоря, среднеарифметическую доходность можно использовать только тогда, когда по окончанию периода прибыль выводится со счета (восполняется убыток) и новый период начинается точно с той же суммы, что и начальный период. Если же производится полное реинвестирование суммы прибыли (или если убыток не восполняется), то для расчёта годовой доходности следует использовать формулу среднегеометрической доходности, которая позволяет учитывать сложные проценты.

Если в случае банковского депозита (когда проценты по вкладу оговорены и неизменны на всё время действия договора), использование среднеарифметической формула не критично. Тогда как при инвестициях в активы с изменчивой доходностью, это имеет огромное значение.

Например, ваши активы в размере 100 тыс. руб. за 2015 год выросли на +100 %, а за 2016 год упали на -50 %. Сколько у вас теперь денег? Первое желание сказать – 125 тыс. руб., ведь среднеарифметическое есть 25 %:

Но на самом деле это не так. Для наглядности, давайте запишем все известные факты и посчитаем все изменения с инвестицией.

Таблица 14. Пример изменения инвестиции в размере 100 тыс. руб.

Поделиться с друзьями: